Hocmai.vn - Ngôi trường chung của học trò Việt
Luyện thi, ôn thi trực tuyến Tin tức về học hành, thi cử Diễn đàn học tập cho học sinh phổ thông Các trung tâm BDVH Liên hệ Học phí học trực tuyến tại Hocmai.vn Hướng dẫn học tập tại Hocmai.vn Đội ngũ giáo viên giỏi, nhiều kinh nghiệm luyện thi Giới thiệu về dịch vụ học trực tuyến tại Hocmai.vn Trang chủ Hocmai.vn


Tổng số bài giảng: 86987
Lọc theo học phí: 
Sắp xếp theo: 

Ôn tập chủ đề Tọa độ của vectơ trong không gian (P2)

     Số lần học: 12095
     Bình chọn:  Đánh giá bài giảng Đánh giá bài giảng Đánh giá bài giảng Đánh giá bài giảng

Ôn tập chủ đề Tọa độ của vectơ trong không gian (P2)

Bài 01. Tia số (P1)

     Số lần học: 1540
     Bình chọn:  Đánh giá bài giảng Đánh giá bài giảng Đánh giá bài giảng Đánh giá bài giảng

Bài 01. Tia số (P1)

Văn bản 2_Thiên Trường vãn vọng (Trần Nhân Tông) - Phần 1

     Số lần học: 1460
     Bình chọn:  Đánh giá bài giảng Đánh giá bài giảng Đánh giá bài giảng Đánh giá bài giảng

Văn bản 2_Thiên Trường vãn vọng (Trần Nhân Tông) - Phần 1

Ôn tập phần Văn (Tiết 3)

     Số lần học: 1030
     Bình chọn:  Đánh giá bài giảng Đánh giá bài giảng Đánh giá bài giảng Đánh giá bài giảng

Ôn tập phần Văn (Tiết 3)

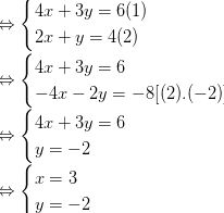
Bài 2. Hệ phương trình quy về hệ bậc nhất hai ẩn

     Số lần học: 556
     Bình chọn:  Đánh giá bài giảng Đánh giá bài giảng Đánh giá bài giảng Đánh giá bài giảng Đánh giá bài giảng

Bài 2. Hệ phương trình quy về hệ bậc nhất hai ẩn

Bài 07. Chứng minh 5 điểm nằm trên đường tròn (tiết 1).

     Số lần học: 303
     Bình chọn:  Đánh giá bài giảng Đánh giá bài giảng Đánh giá bài giảng

Bài 07. Chứng minh 5 điểm nằm trên đường tròn (tiết 1).

Chuyên đề 20.2. Bài tập tổng hợp về các chất hữu cơ (Phần 2)

     Số lần học: 195
     Bình chọn:  Đánh giá bài giảng Đánh giá bài giảng Đánh giá bài giảng

Lesson 6. Skills 2

     Số lần học: 154
     Bình chọn:  Đánh giá bài giảng Đánh giá bài giảng Đánh giá bài giảng

Lesson 6. Skills 2

Bài 5. Polime - Vật liệu Polime

     Số lần học: 131
     Bình chọn:  Đánh giá bài giảng Đánh giá bài giảng Đánh giá bài giảng

Bài 5. Polime - Vật liệu Polime

Bài 01: Chiếu dời đô

     Số lần học: 88
     Bình chọn:  Đánh giá bài giảng Đánh giá bài giảng Đánh giá bài giảng

Bài 01: Chiếu dời đô

Luyện đề theo thể loại - Nghị luận văn học

     Số lần học: 39
     Bình chọn:  Đánh giá bài giảng Đánh giá bài giảng Đánh giá bài giảng

Luyện đề theo thể loại - Nghị luận văn học

Bài 2: Chuyển Động Thẳng Đều – Tốc Độ Trung Bình (Phần 2)

     Số lần học: 0
     Bình chọn:  Đánh giá bài giảng Đánh giá bài giảng Đánh giá bài giảng

Bài 2: Chuyển Động Thẳng Đều – Tốc Độ Trung Bình (Phần 2)

Các nguyên tố hoá học trong tế bào

     Số lần học: 0
     Bình chọn:  Đánh giá bài giảng Đánh giá bài giảng Đánh giá bài giảng

Các nguyên tố hoá học trong tế bào

Unit 7: Cultural diversity - Getting started

     Số lần học: 0
     Bình chọn:  Đánh giá bài giảng Đánh giá bài giảng Đánh giá bài giảng

Unit 7: Cultural diversity - Getting started

Trang: (Trước)  1 ...  3580  3581  3582  3583  3584  3585  3586  3587  3588  3589  3590  3591  3592  3593  3594  3595  3596  3597 ...5437   (Tiếp theo)

Đóng quảng cáo