Danh mục tài liệu học tập
HOT

Tải APP để nhận nhiều khóa học bổ trợ miễn phí

Zalo OA Hocmai

Hãy "Đăng ký" kênh để xem bài giảng HOCMAI

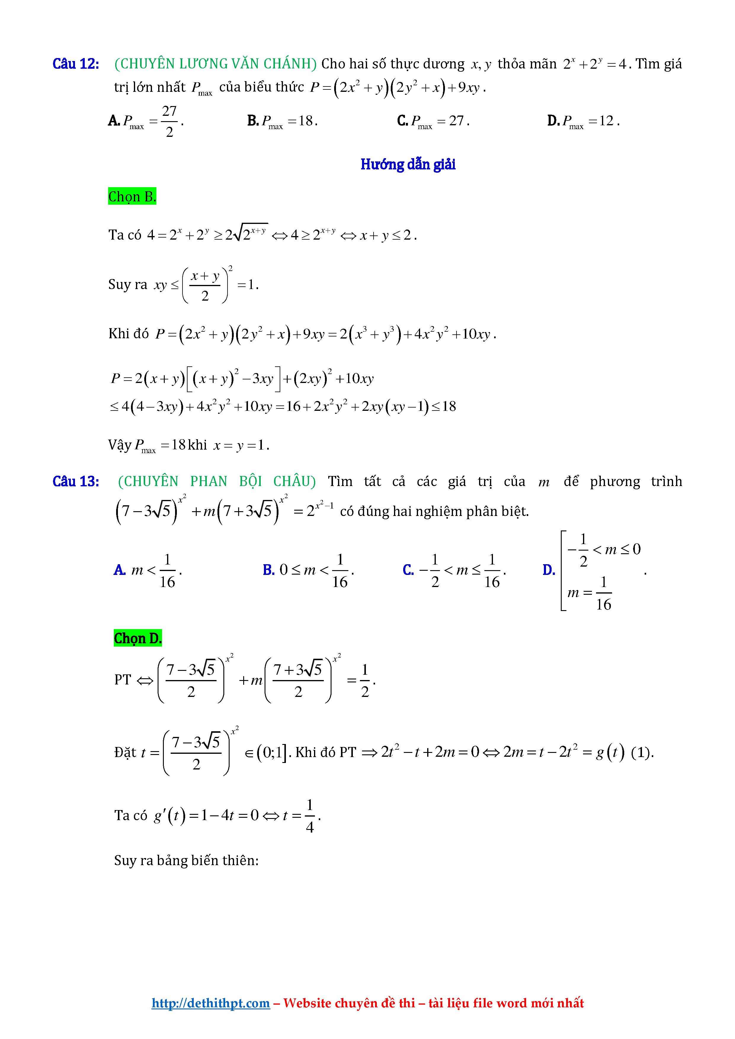
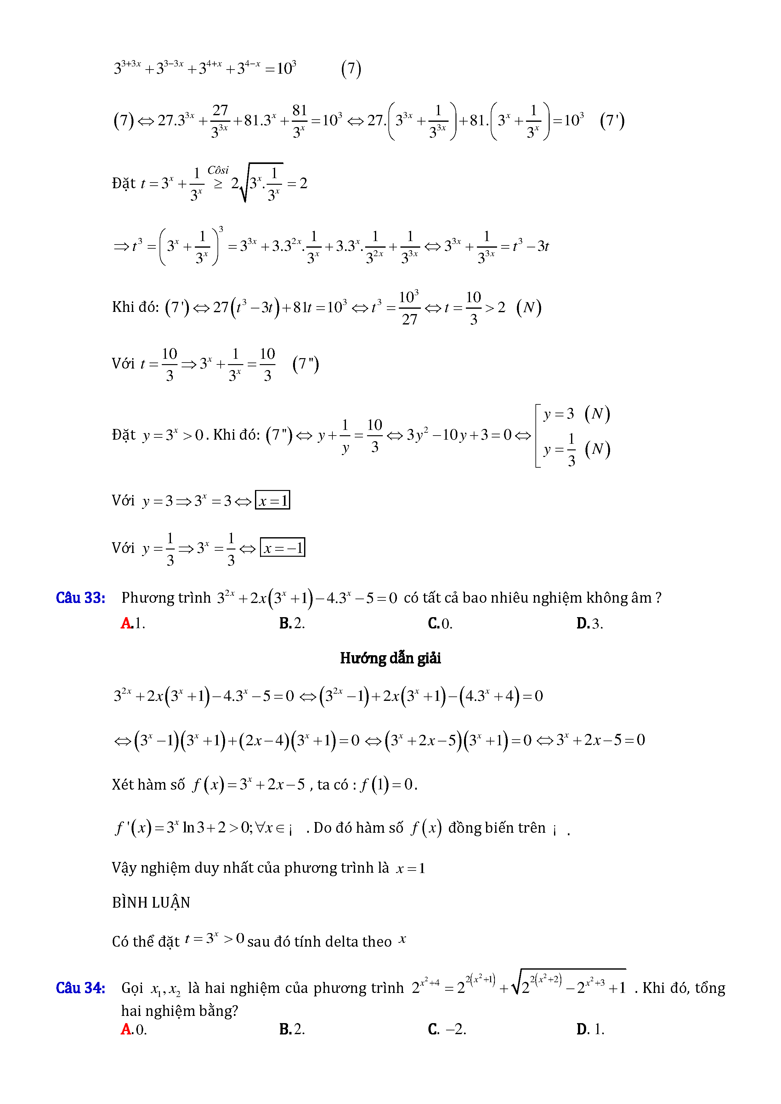
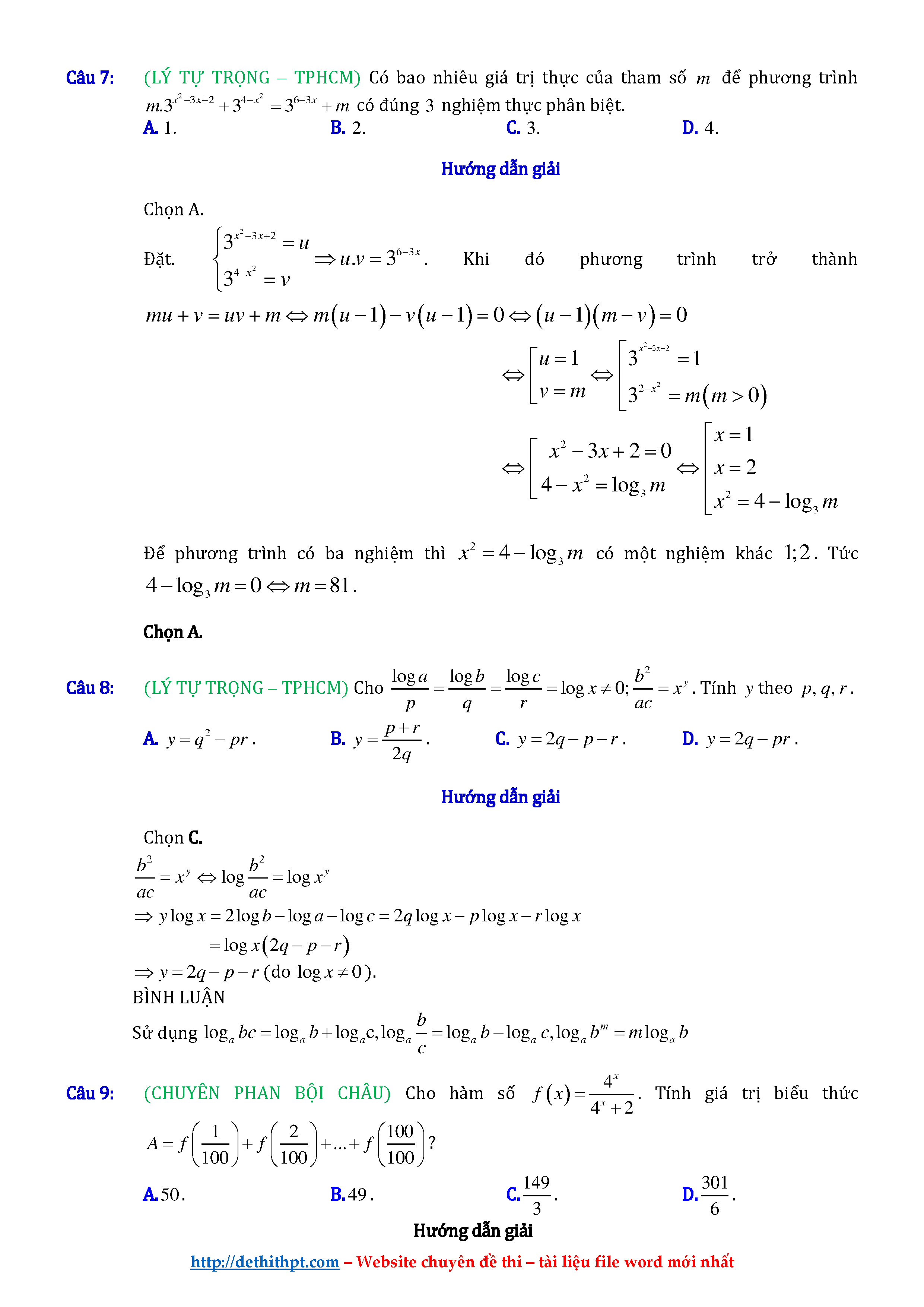
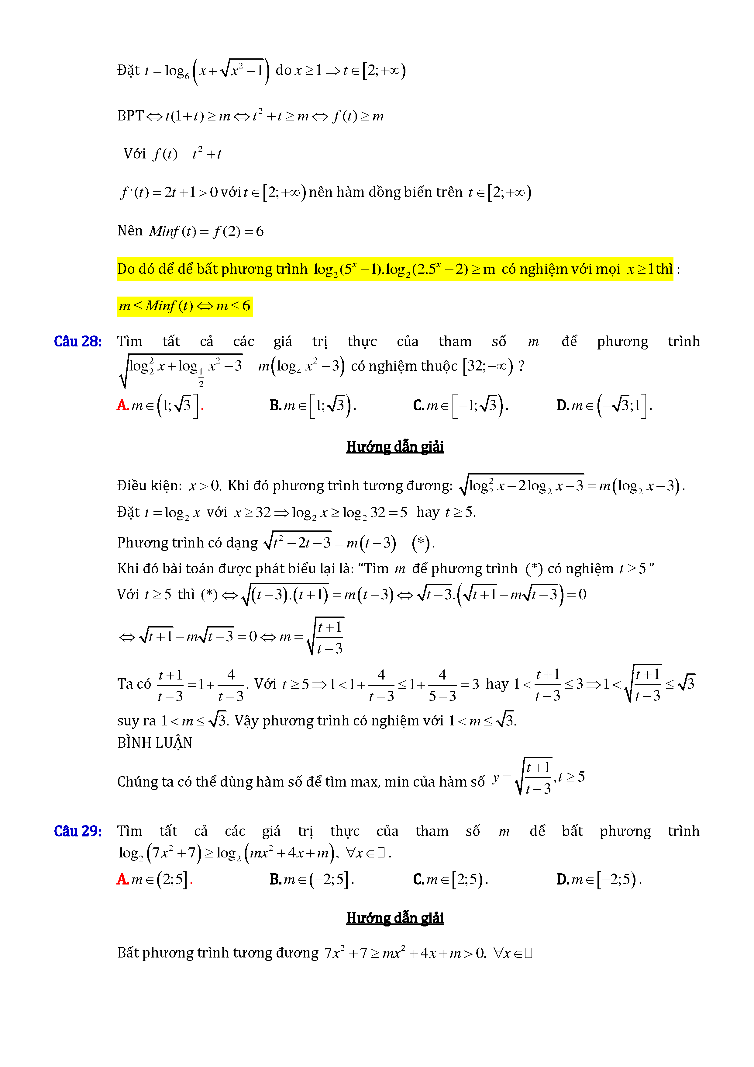
BÀI TOÁN VẬN DỤNG CAO - CHỦ ĐỀ 2: CHUYÊN ĐỀ HÀM SỐ MŨ, LÔGARIT (PHẦN CUỐI)

  • Số trang: 25
  • Lượt đọc: 2086
  • Lượt tải: 312
  • Tác giả: Sưu tầm
  • 14:08 05/03/2019
BÀI TOÁN VẬN DỤNG CAO - CHỦ ĐỀ 2: CHUYÊN ĐỀ HÀM SỐ MŨ, LÔGARIT (PHẦN CUỐI)