Danh mục tài liệu học tập
HOT

Tải APP để nhận nhiều khóa học bổ trợ miễn phí

Zalo OA Hocmai

Hãy "Đăng ký" kênh để xem bài giảng HOCMAI

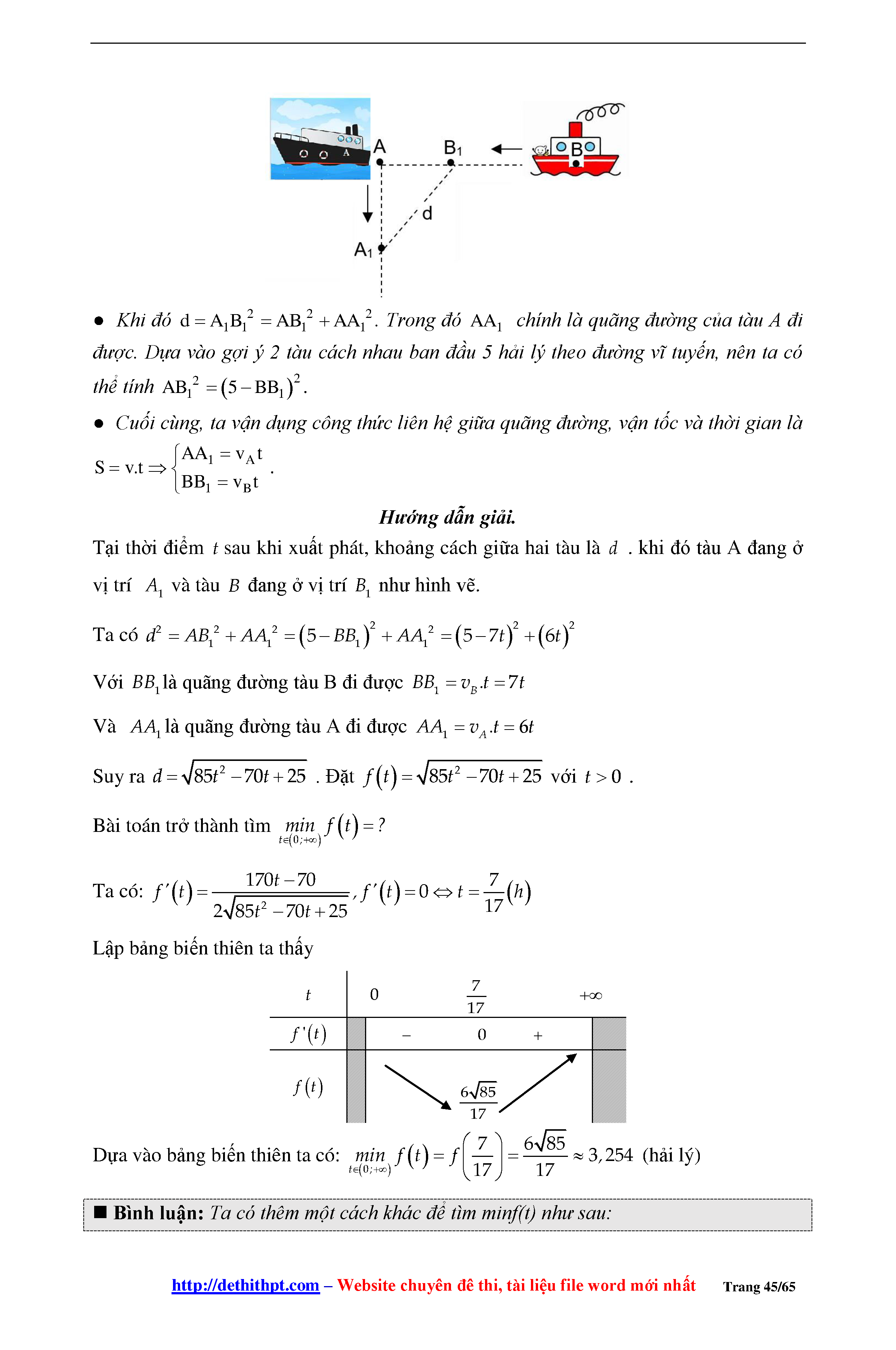
BÀI TOÁN VẬN DỤNG CAO CHUYÊN ĐỀ ỨNG DỤNG ĐẠO HÀM - CHỦ ĐỀ 1: CÁC BÀI TOÁN THỰC TẾ ỨNG DỤNG ĐẠO HÀM ĐỂ GIẢI (PHẦN 5)

  • Số trang: 64
  • Lượt đọc: 86620
  • Lượt tải: 1436
  • Tác giả: Sưu tầm
  • 14:15 05/03/2019
BÀI TOÁN VẬN DỤNG CAO CHUYÊN ĐỀ ỨNG DỤNG ĐẠO HÀM - CHỦ ĐỀ 1: CÁC BÀI TOÁN THỰC TẾ ỨNG DỤNG ĐẠO HÀM ĐỂ GIẢI (PHẦN 5)