Danh mục tài liệu học tập
HOT

Tải APP để nhận nhiều khóa học bổ trợ miễn phí

Zalo OA Hocmai

Hãy "Đăng ký" kênh để xem bài giảng HOCMAI

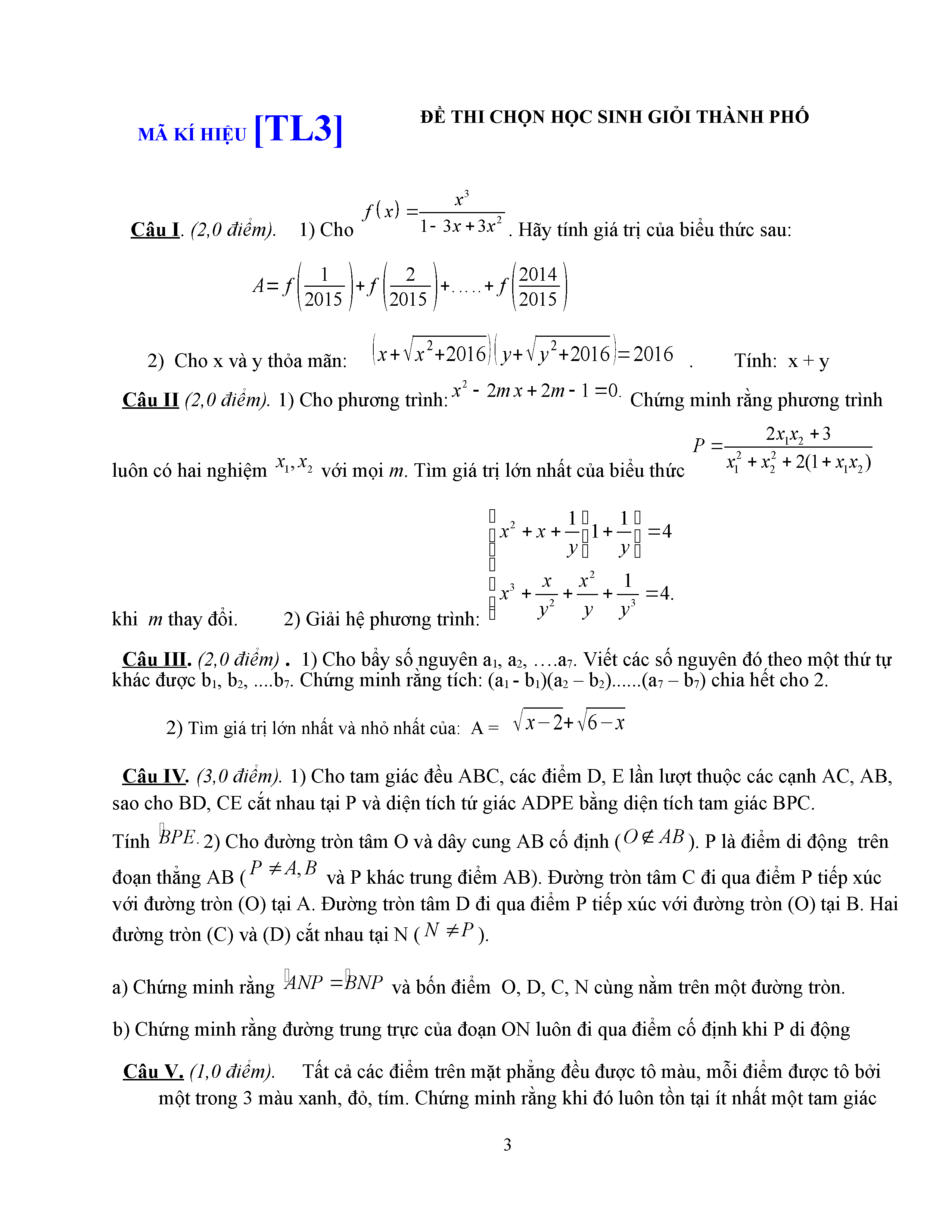
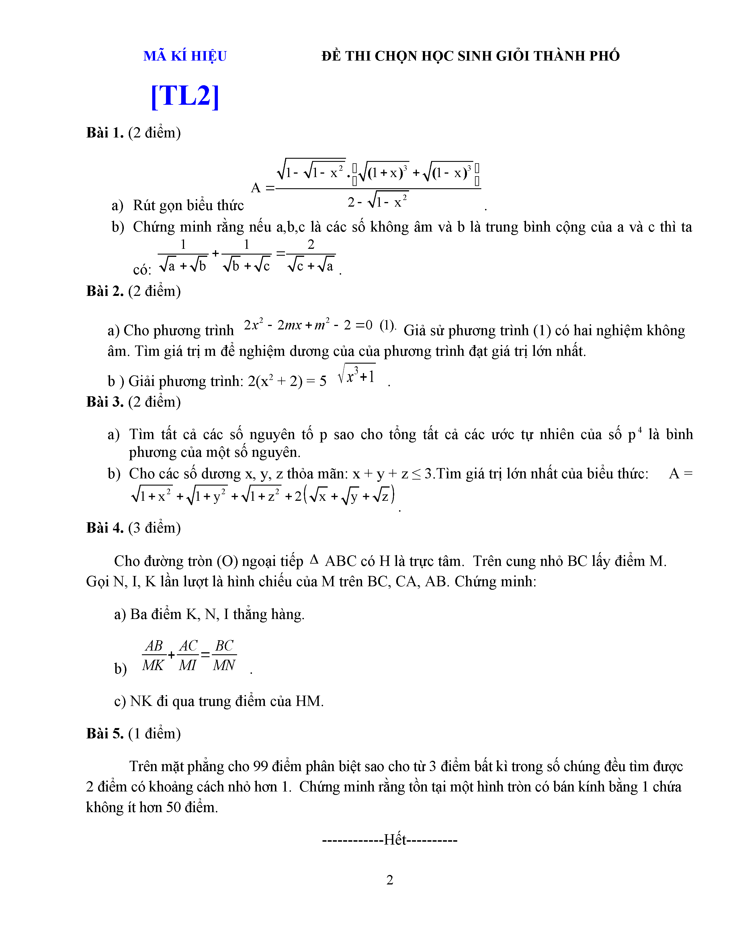
ĐỀ THI HSG LỚP 9 - MÔN TOÁN - ĐỀ 5

  • Số trang: 25
  • Lượt đọc: 1423
  • Lượt tải: 96
  • Tác giả: Sưu tầm
  • 14:31 07/03/2019
ĐỀ THI HSG LỚP 9 - MÔN TOÁN - ĐỀ 5