Danh mục tài liệu học tập
HOT

Tải APP để nhận nhiều khóa học bổ trợ miễn phí

Zalo OA Hocmai

Hãy "Đăng ký" kênh để xem bài giảng HOCMAI

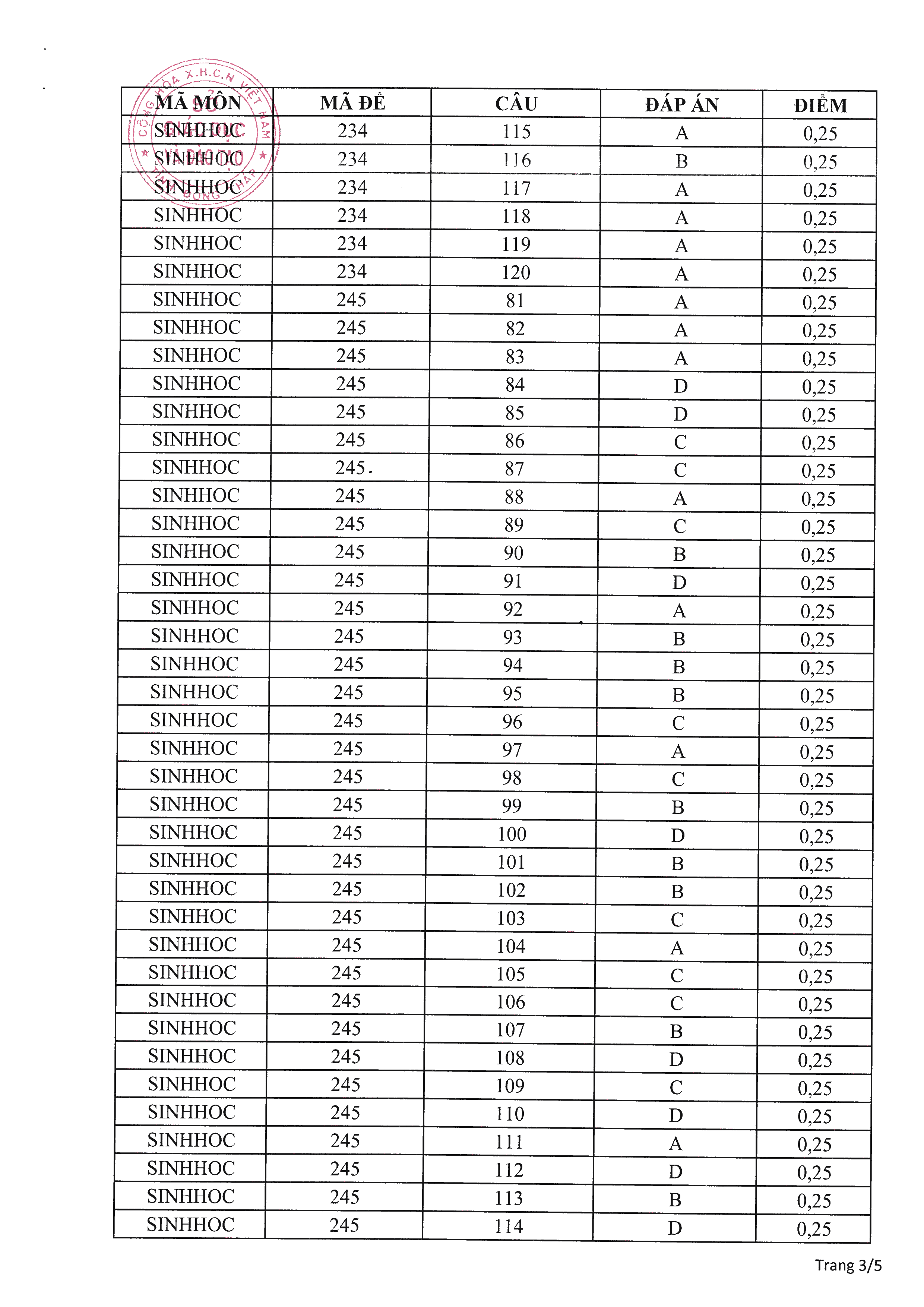
Bộ đề thi học kỳ 2 môn Sinh học 12

  • Số trang: 37
  • Lượt đọc: 6880
  • Lượt tải: 529
  • Tác giả: Sưu tầm
  • 17:58 12/04/2019