Danh mục tài liệu học tập
HOT

Tải APP để nhận nhiều khóa học bổ trợ miễn phí

Zalo OA Hocmai

Hãy "Đăng ký" kênh để xem bài giảng HOCMAI

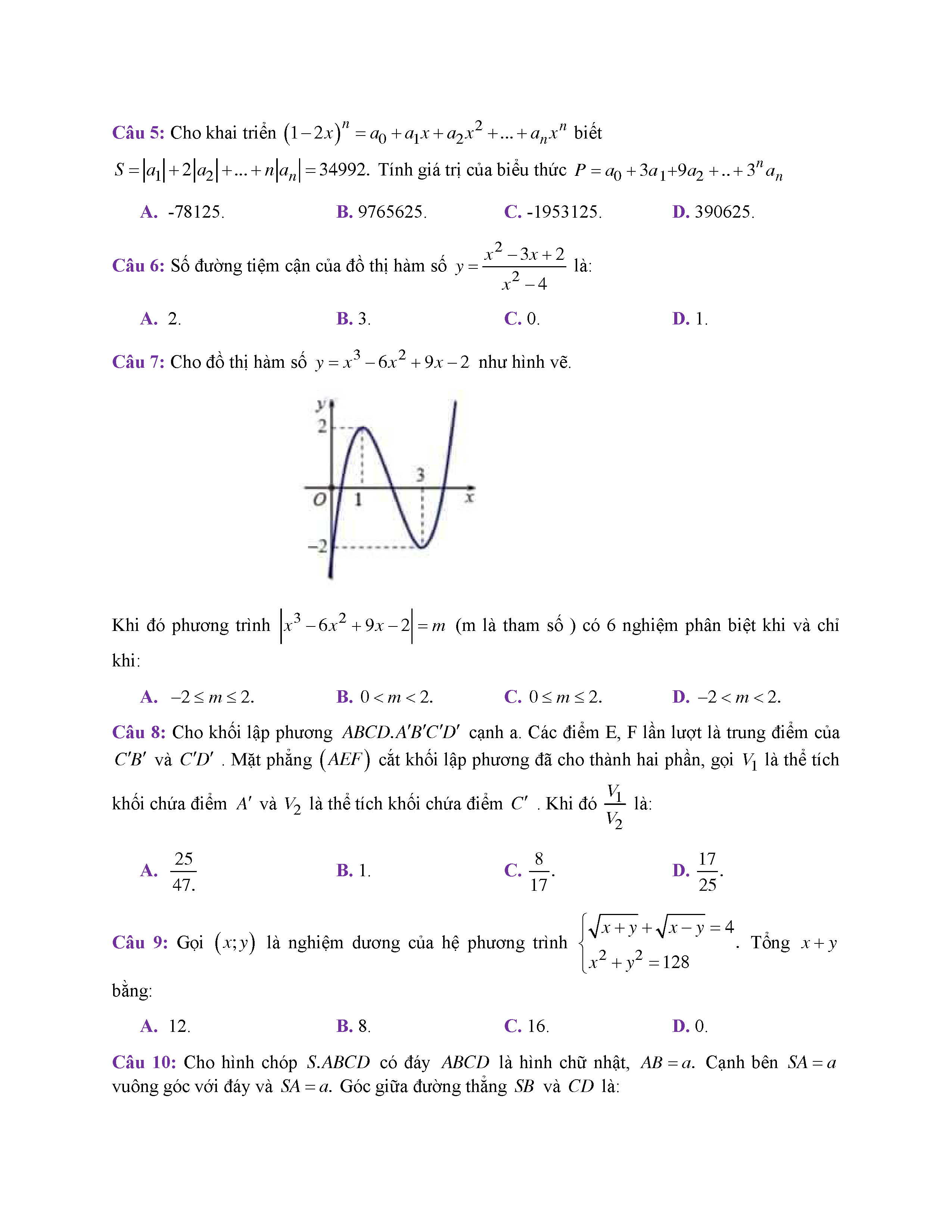
14. Đề thi thử THPT năm 2019 môn Toán Cụm chuyên môn 01 – Sở GD_ĐT Bạc Liêu - Lần 1

  • Số trang: 31
  • Lượt đọc: 562
  • Lượt tải: 23
  • Tác giả: Sưu tầm
  • 16:24 17/05/2019