Danh mục tài liệu học tập
HOT

Tải APP để nhận nhiều khóa học bổ trợ miễn phí

Zalo OA Hocmai

Hãy "Đăng ký" kênh để xem bài giảng HOCMAI

54. Đề tập huấn sở GD_ĐT TP Hồ Chí Minh - Đề 12 - 2019

  • Số trang: 31
  • Lượt đọc: 751
  • Lượt tải: 23
  • Tác giả: Sưu tầm
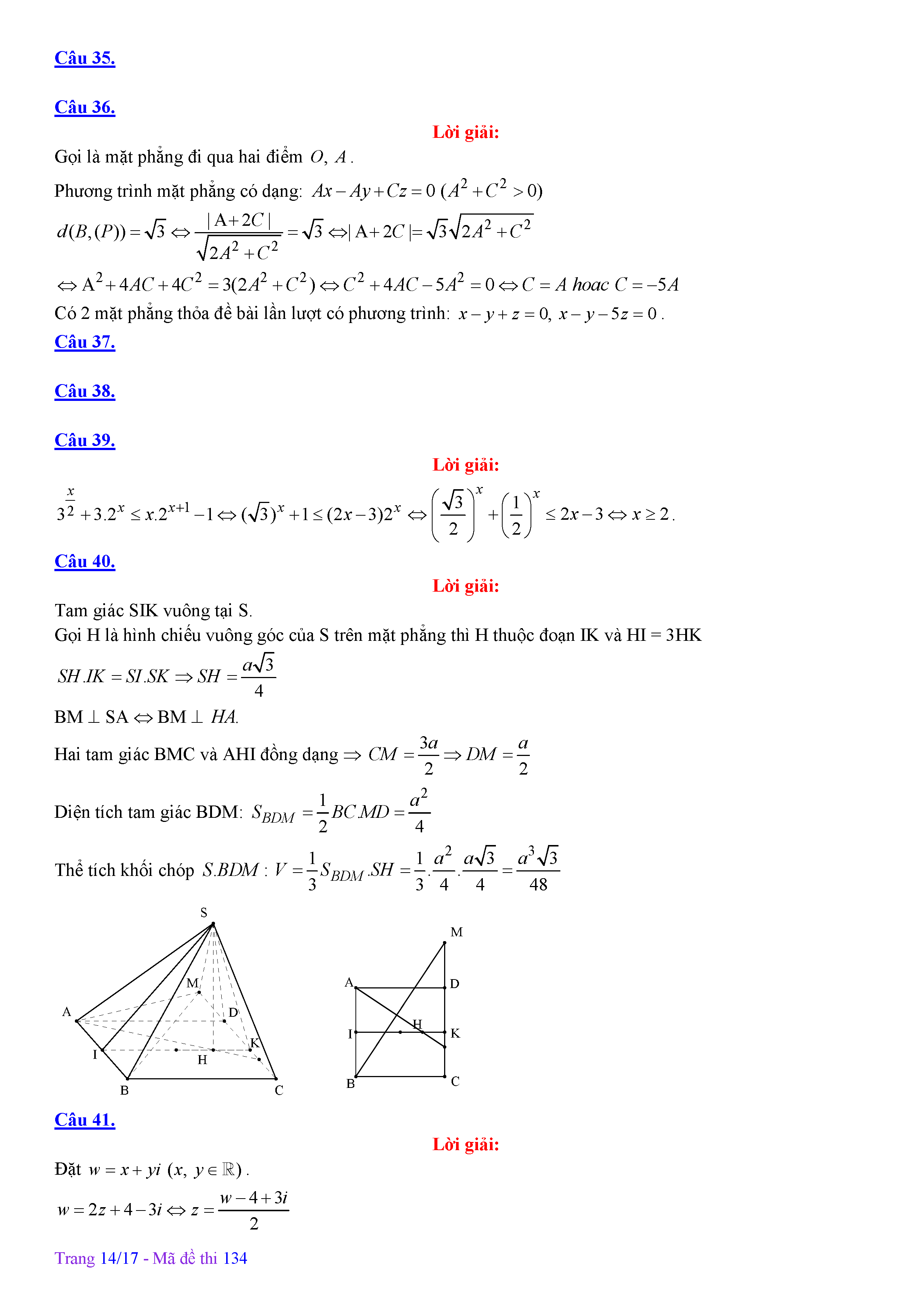
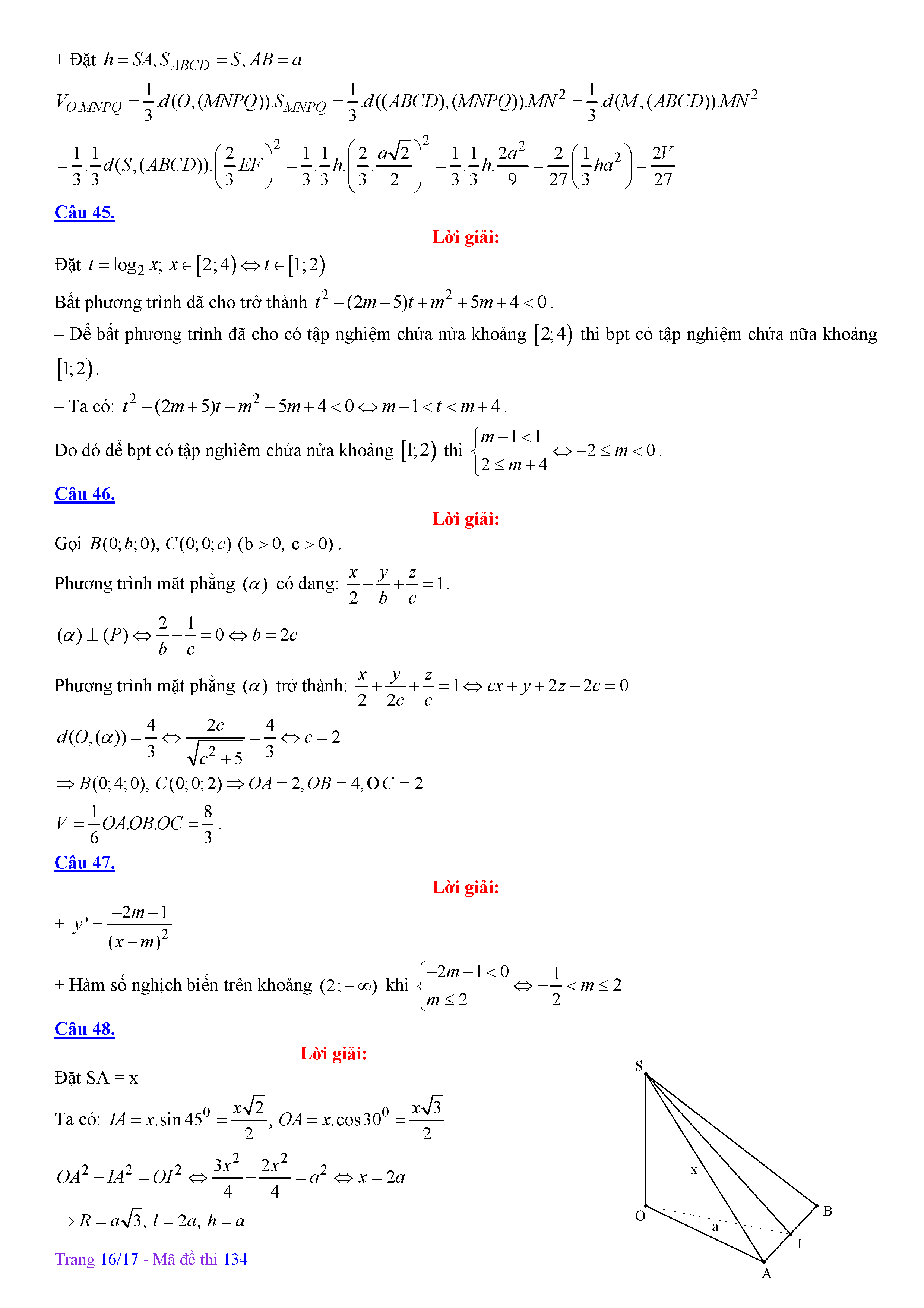
  • 16:52 17/05/2019