Danh mục tài liệu học tập
HOT

Tải APP để nhận nhiều khóa học bổ trợ miễn phí

Zalo OA Hocmai

Hãy "Đăng ký" kênh để xem bài giảng HOCMAI

70. Đề thi thử THPT QG 2019 - Môn Toán - Chuyên Thái Nguyên – Lần 1

  • Số trang: 27
  • Lượt đọc: 1119
  • Lượt tải: 31
  • Tác giả: Sưu tầm
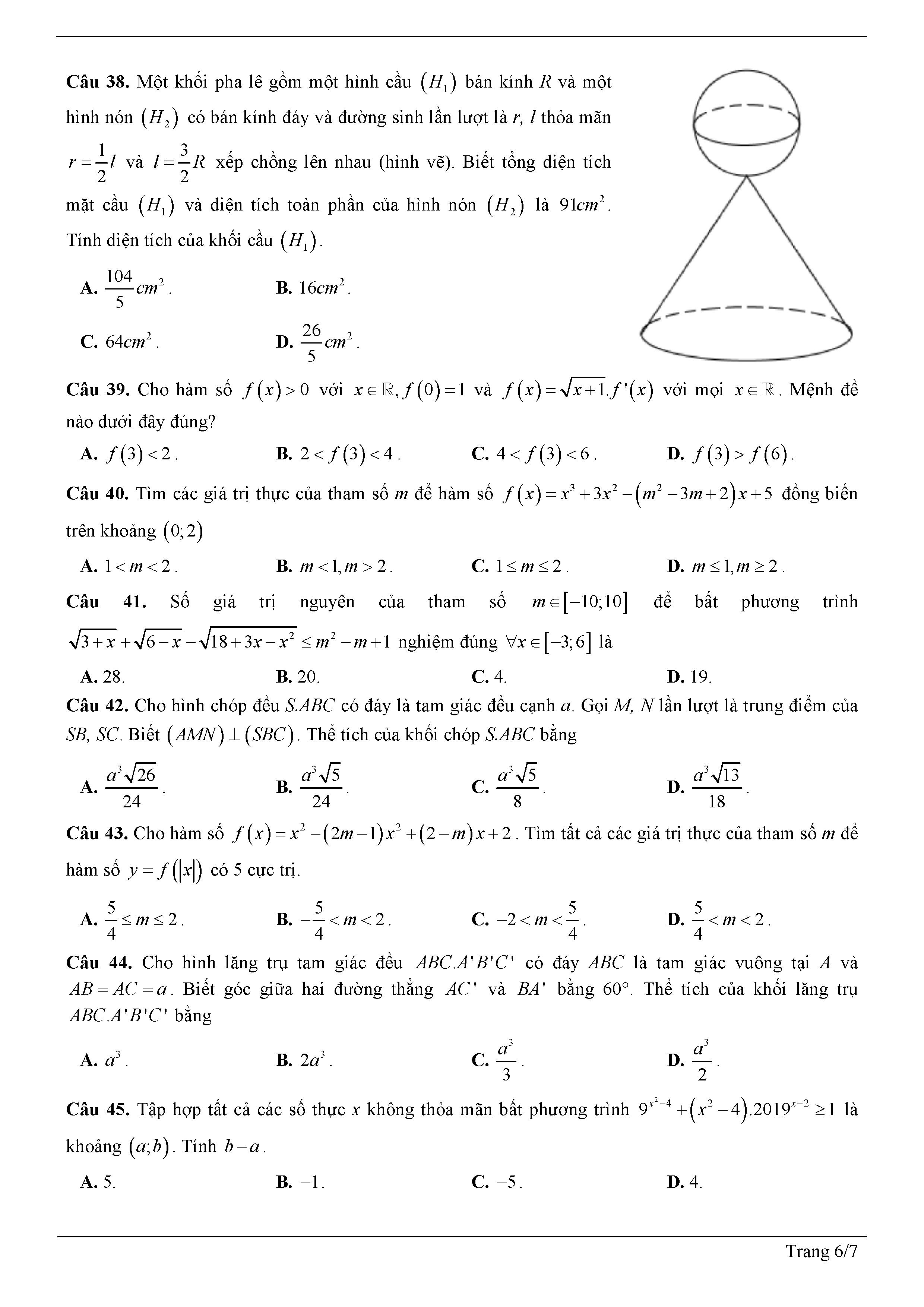
  • 17:01 17/05/2019