Danh mục tài liệu học tập
HOT

Tải APP để nhận nhiều khóa học bổ trợ miễn phí

Zalo OA Hocmai

Hãy "Đăng ký" kênh để xem bài giảng HOCMAI

79. Đề thi thử THPT năm 2019 môn Toán trường Thăng Long - Hà Nội - Lần 1

  • Số trang: 32
  • Lượt đọc: 868
  • Lượt tải: 58
  • Tác giả: Sưu tầm
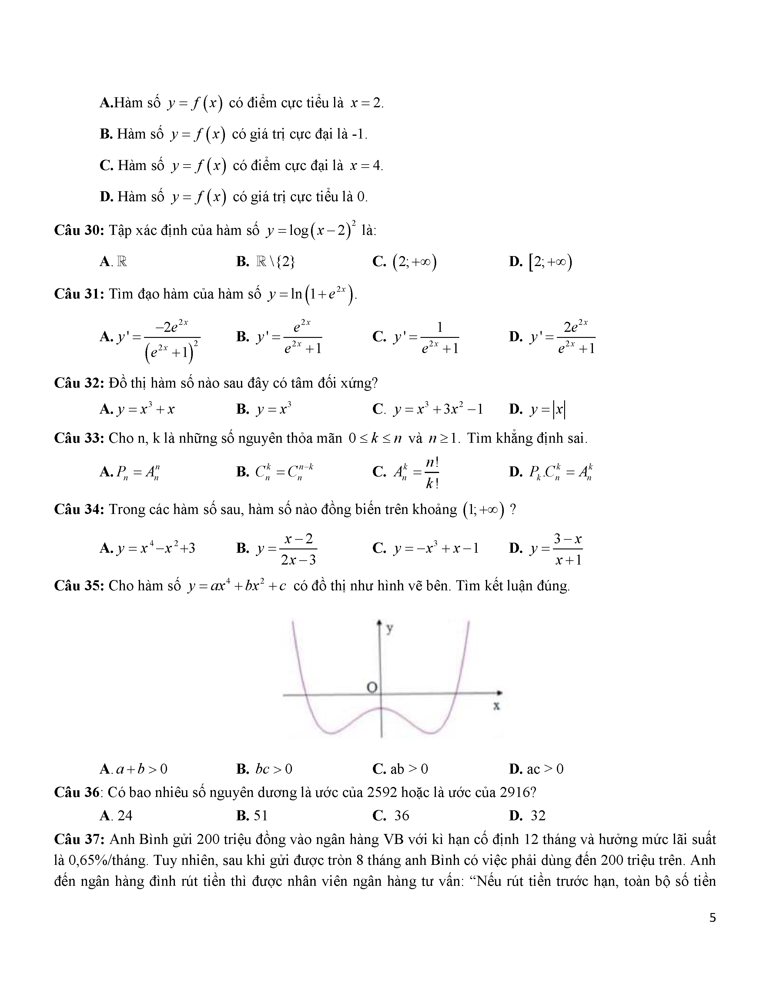
  • 17:08 17/05/2019