Danh mục tài liệu học tập
HOT

Tải APP để nhận nhiều khóa học bổ trợ miễn phí

Zalo OA Hocmai

Hãy "Đăng ký" kênh để xem bài giảng HOCMAI

Đề thi thử THPTQG 2018 môn Toán - Có đáp án

  • Số trang: 20
  • Lượt đọc: 1546
  • Lượt tải: 316
  • Tác giả: Sưu tầm
  • 15:04 21/05/2019
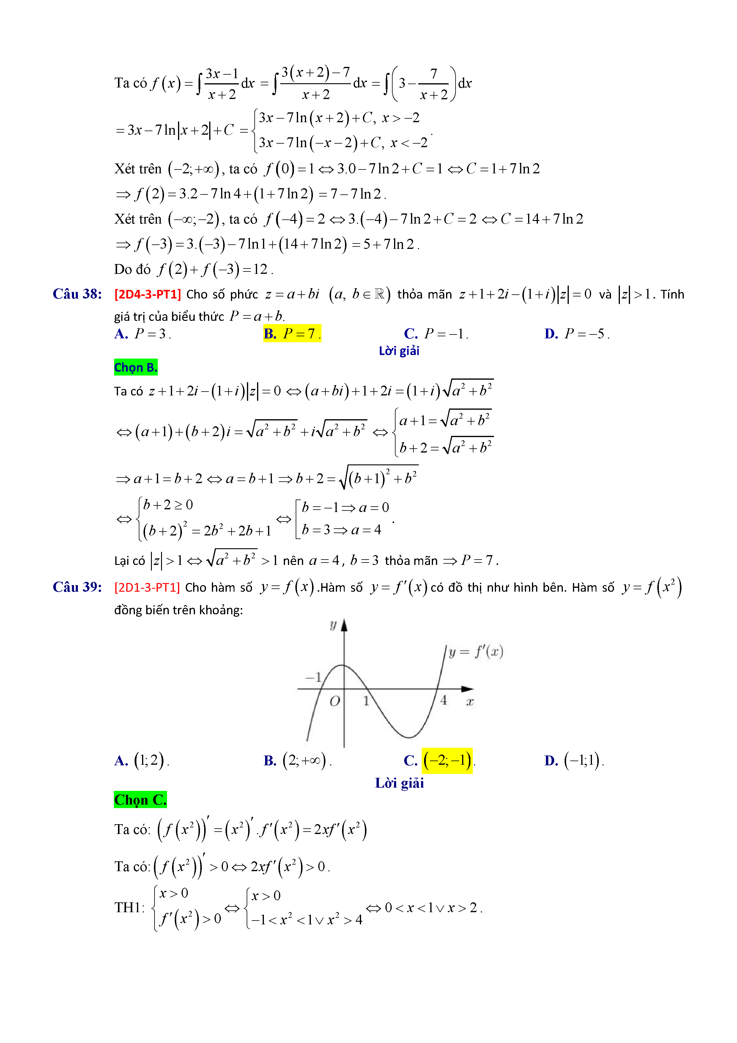
Đề thi thử THPTQG 2018 môn Toán - Có đáp án