Danh mục tài liệu học tập
HOT

Tải APP để nhận nhiều khóa học bổ trợ miễn phí

Zalo OA Hocmai

Hãy "Đăng ký" kênh để xem bài giảng HOCMAI

38. Đề thi thử THPT năm 2019 môn Toán trường Chuyên Thoại Ngọc Hầu - An Giang - Lần 1

  • Số trang: 29
  • Lượt đọc: 943
  • Lượt tải: 67
  • Tác giả: Sưu tầm
  • 16:52 21/05/2019
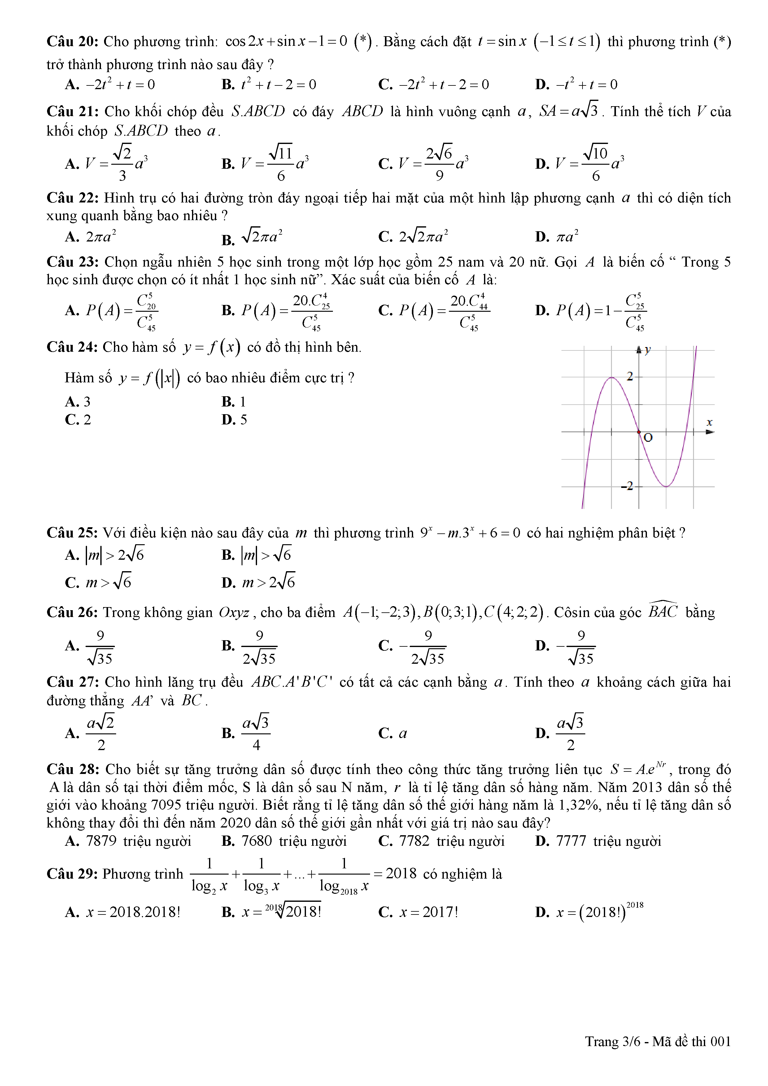
38. Đề thi thử THPT năm 2019 môn Toán trường Chuyên Thoại Ngọc Hầu - An Giang - Lần 1