Danh mục tài liệu học tập
HOT

Tải APP để nhận nhiều khóa học bổ trợ miễn phí

Zalo OA Hocmai

Hãy "Đăng ký" kênh để xem bài giảng HOCMAI

176. Đề thi thử THPTQG Năm 2018 Môn Toán Chuyên Lam Sơn Lần 2

  • Số trang: 25
  • Lượt đọc: 629
  • Lượt tải: 28
  • Tác giả: Sưu tầm
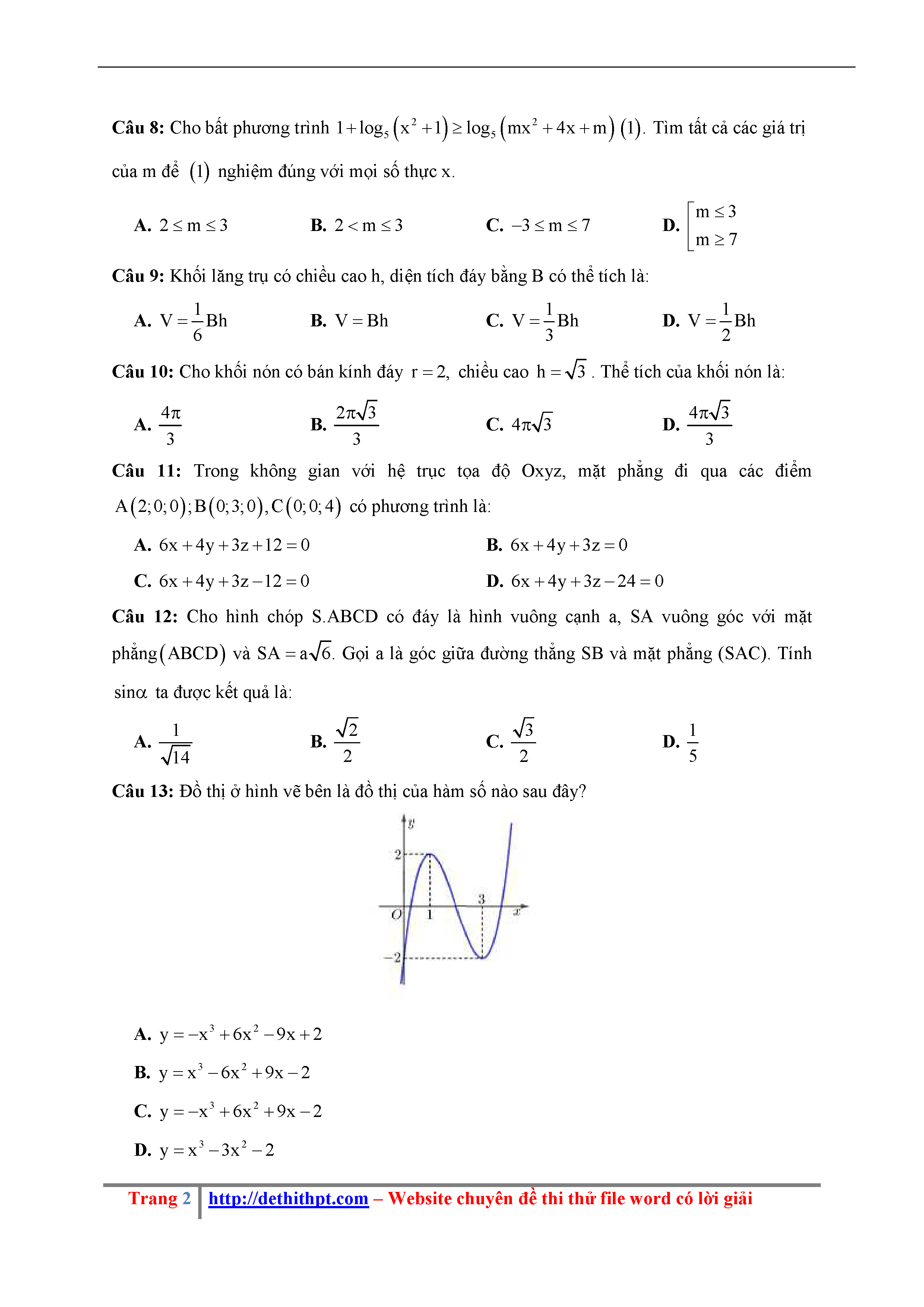
  • 10:49 11/06/2019