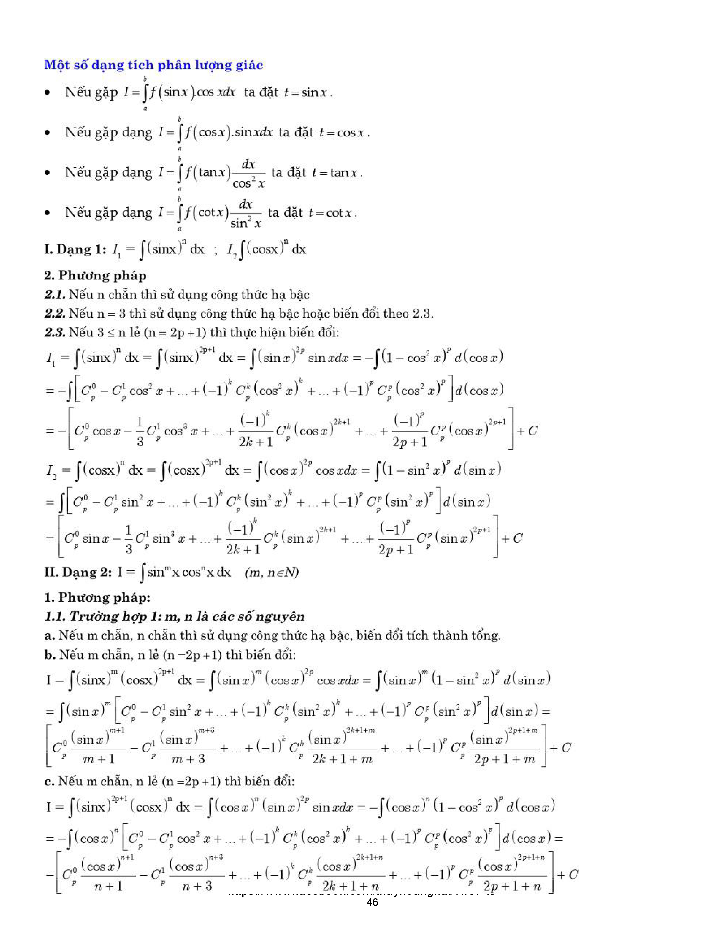
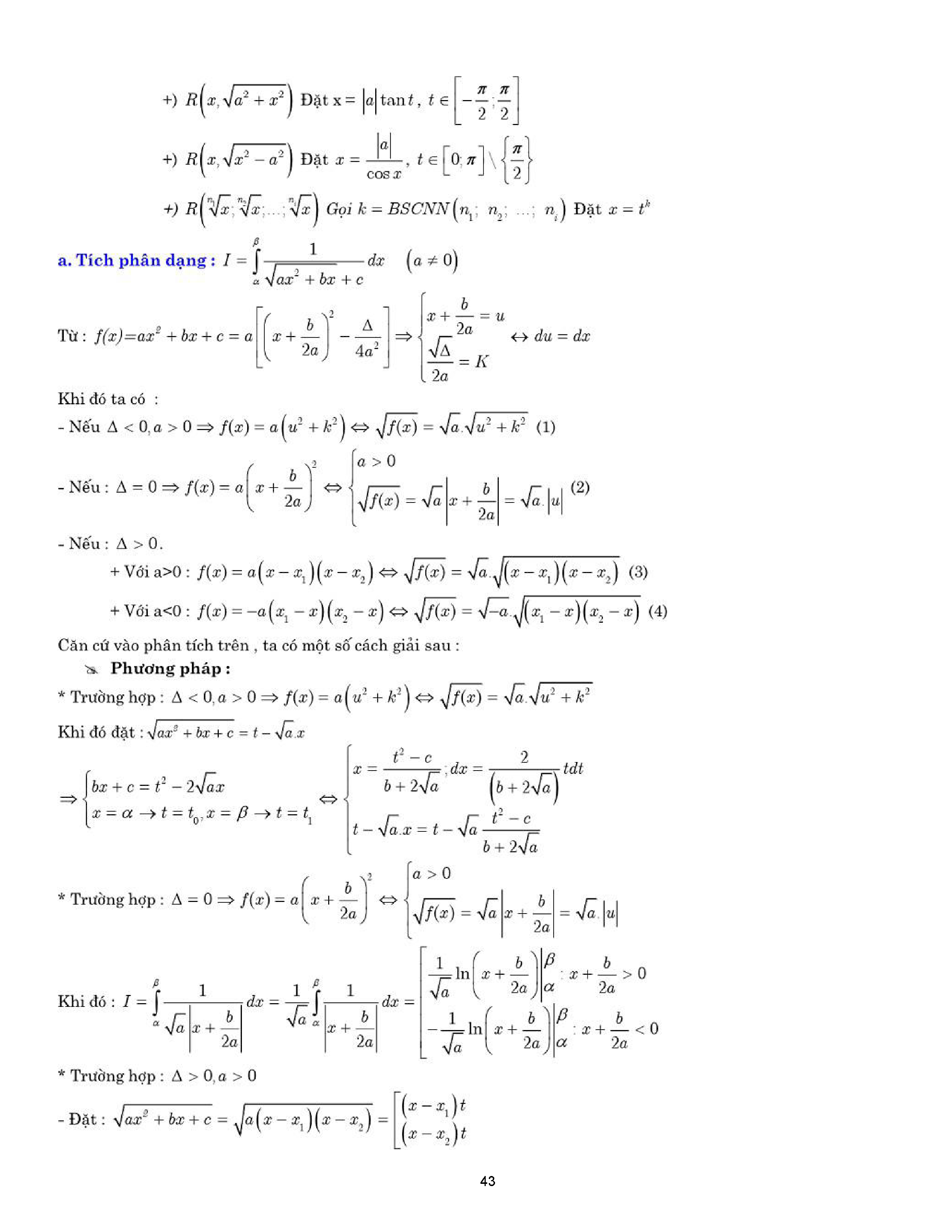
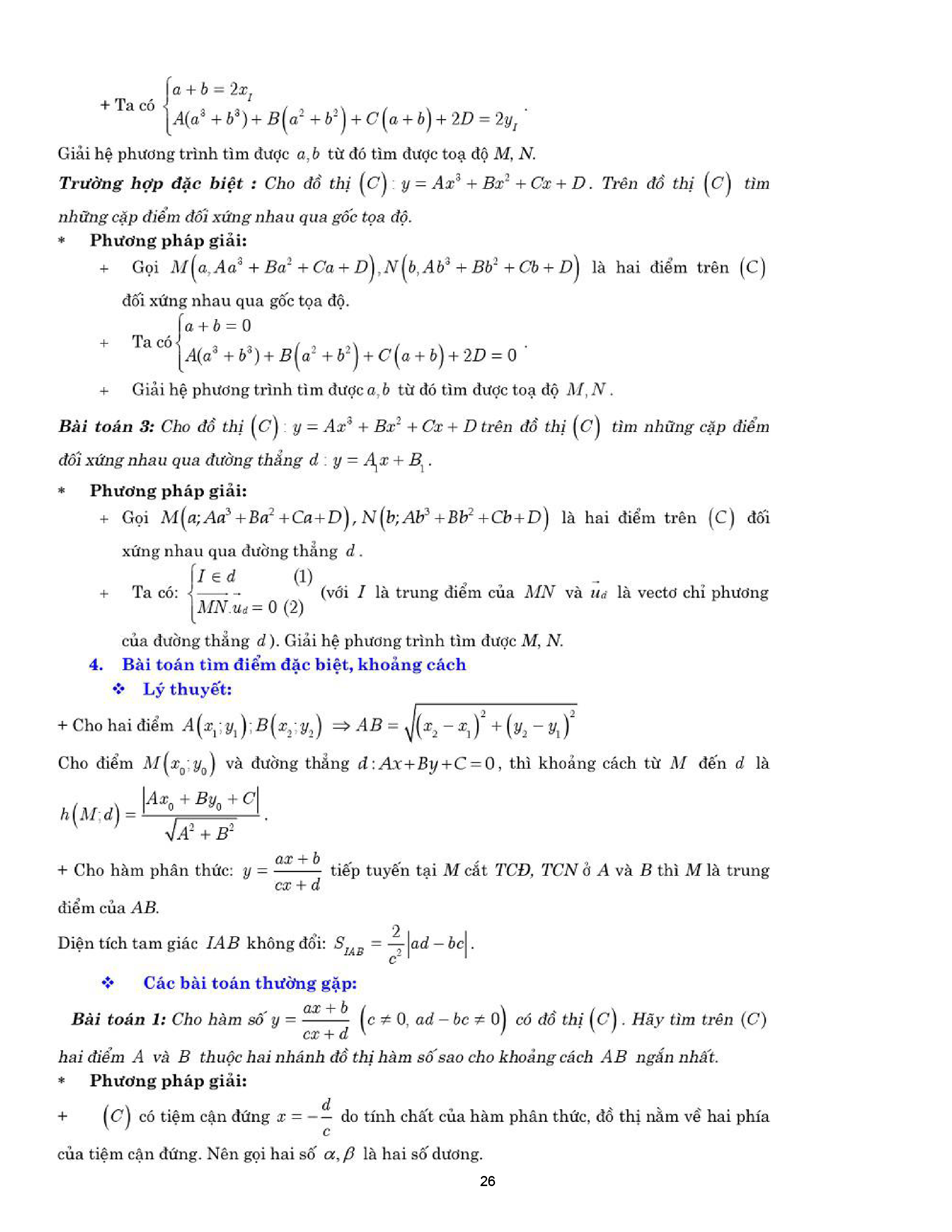
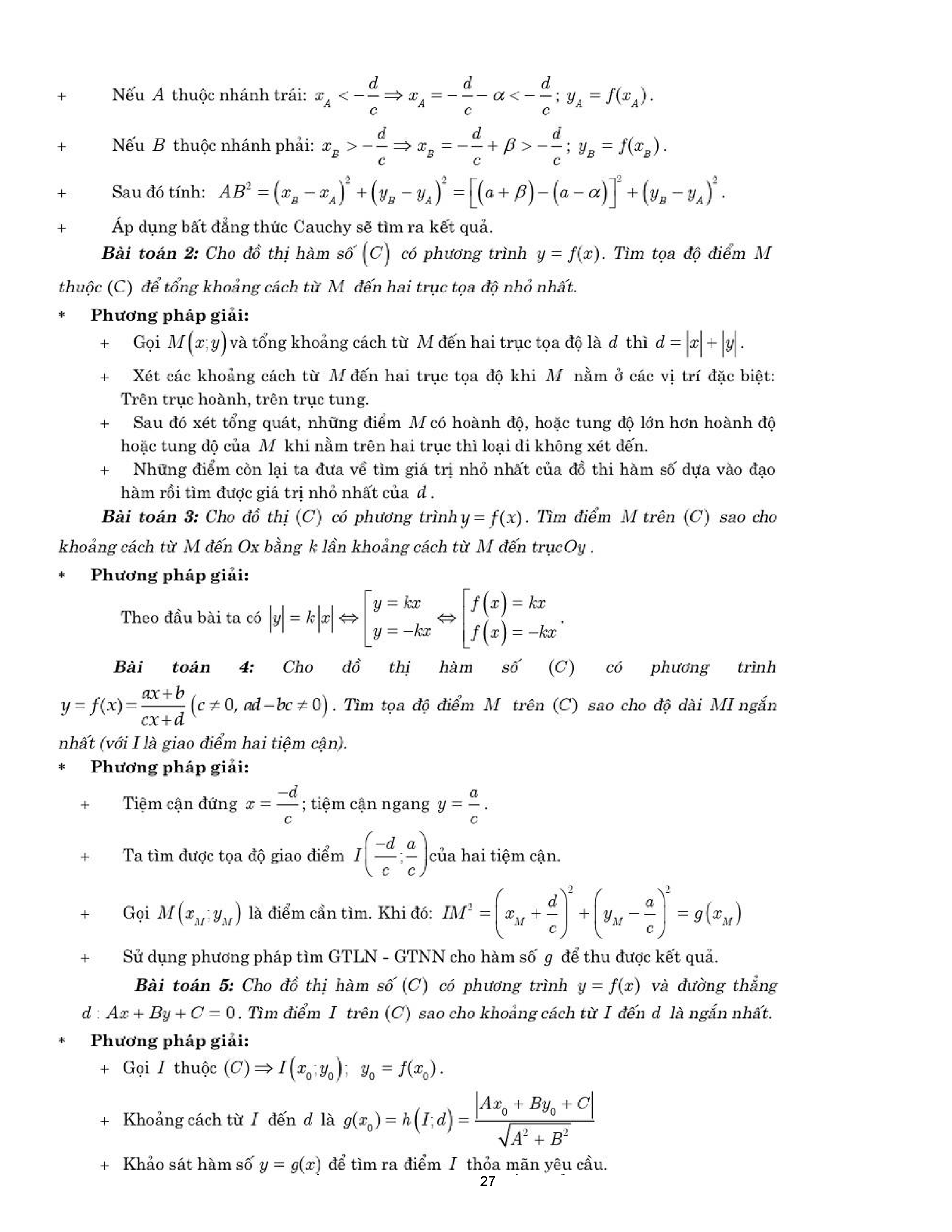
CÔNG THỨC GIẢI NHANH MÔN TOÁN ÔN THI THPT QUỐC GIA
Bài chi tiết: công thức giải nhanh toán 12
Cơ quan chủ quản: Công ty Cổ phần Đầu tư và Dịch vụ Giáo dục
MST: 0102183602 do Sở kế hoạch và Đầu tư thành phố Hà Nội cấp ngày 13 tháng 03 năm 2007
Địa chỉ:
- Văn phòng Hà Nội: Tầng 4, Tòa nhà 25T2, Đường Nguyễn Thị Thập, Phường Trung Hoà, Quận Cầu Giấy, Hà Nội.
- Văn phòng TP.HCM: Lầu 3, 51-53 Võ Văn Tần, phường Võ Thị Sáu, quận 3, Tp. Hồ Chí Minh.
Hotline: 19006933 – Email: hotro@hocmai.vn
Chịu trách nhiệm nội dung: Phạm Giang Linh
Giấy phép cung cấp dịch vụ mạng xã hội trực tuyến số 597/GP-BTTTT Bộ Thông tin và Truyền thông cấp ngày 30/12/2016.
- Ưu đãi 30% học phí PEN-I dành riêng cho bạn
- Thời gian: Chỉ đến hết 4/12/2015
Bạn đang đăng nhập. Vui lòng chờ trong giây lát.
Bạn cần ĐĂNG KÝ khóa học này để tham gia làm bài "Đánh giá năng lực"!