Danh mục tài liệu học tập
HOT

Tải APP để nhận nhiều khóa học bổ trợ miễn phí

Zalo OA Hocmai

Hãy "Đăng ký" kênh để xem bài giảng HOCMAI

Tổng hợp kiến thức và công thức giải nhanh trắc nghiệm Vật lí 12

  • Số trang: 36
  • Lượt đọc: 3417
  • Lượt tải: 257
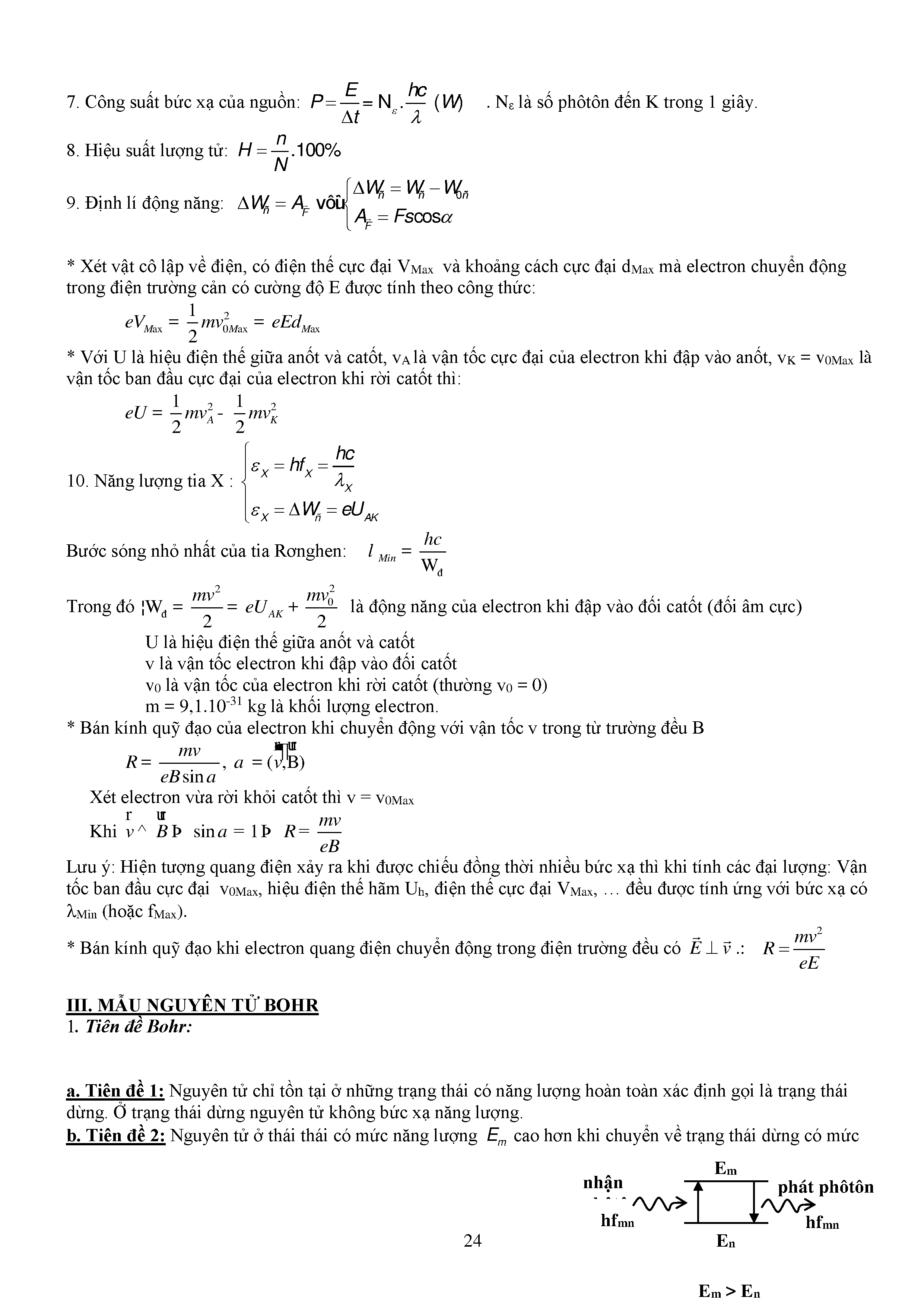
  • Tác giả: Sưu tầm
  • 17:38 19/09/2018