Danh mục tài liệu học tập
HOT

Tải APP để nhận nhiều khóa học bổ trợ miễn phí

Zalo OA Hocmai

Hãy "Đăng ký" kênh để xem bài giảng HOCMAI

115. Đề thi thử THPT Quốc gia môn Toán năm 2017 Nguyễn Bỉnh Khiêm

  • Số trang: 21
  • Lượt đọc: 665
  • Lượt tải: 21
  • Tác giả: Sưu tầm
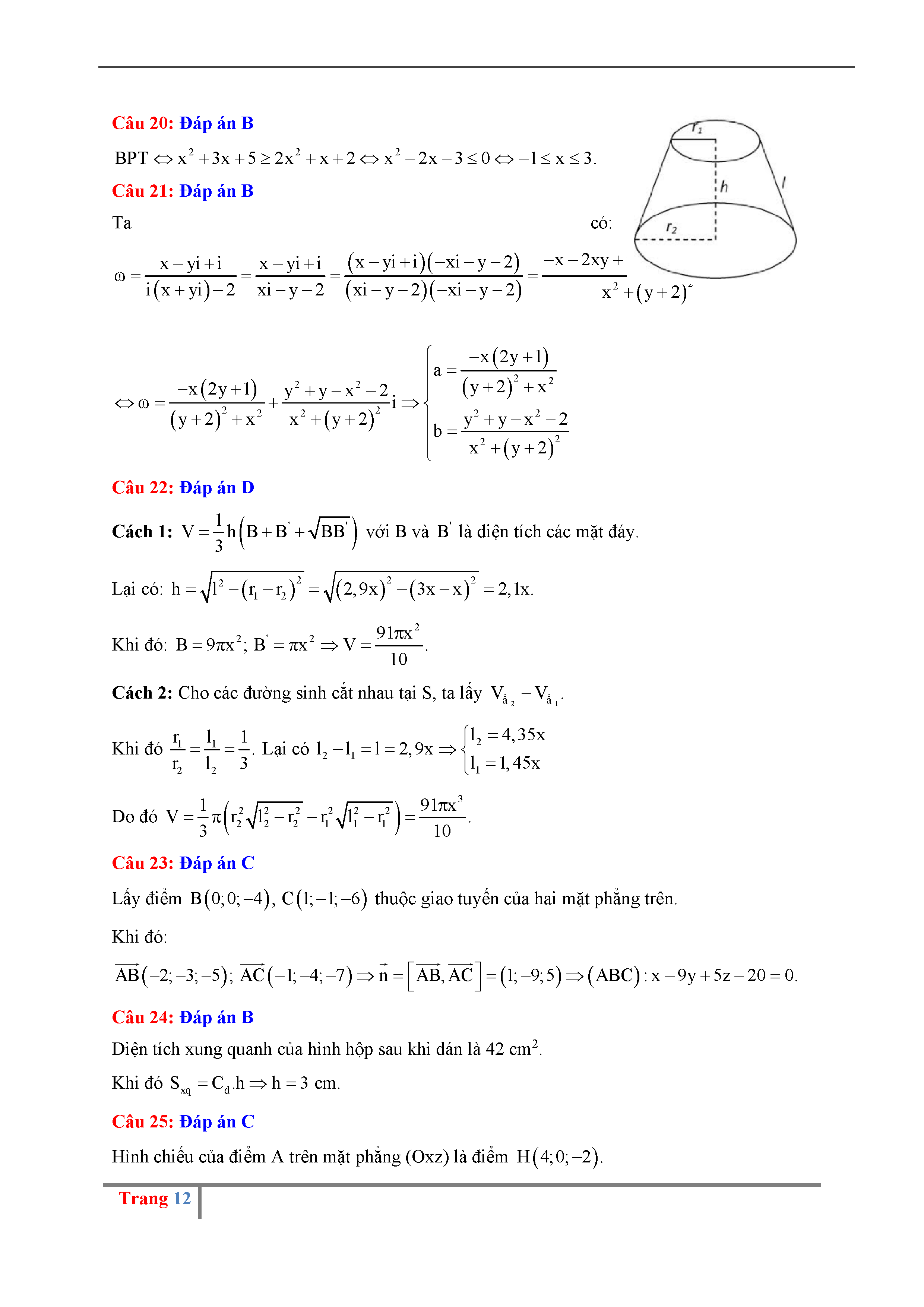
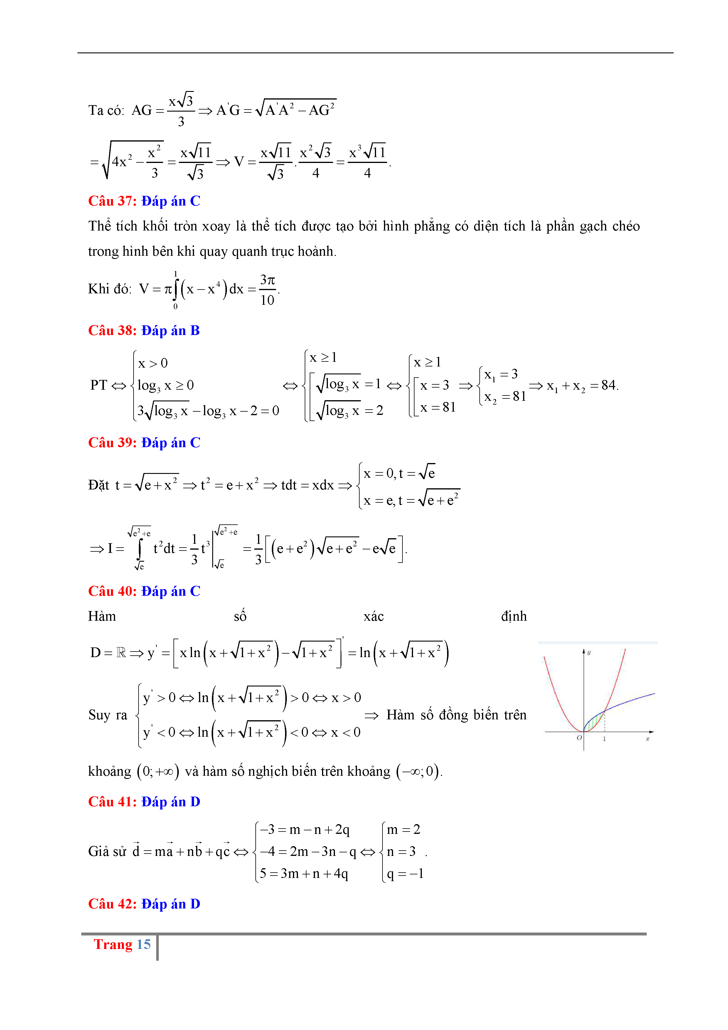
  • 16:42 09/10/2019