Danh mục tài liệu học tập
HOT

Tải APP để nhận nhiều khóa học bổ trợ miễn phí

Zalo OA Hocmai

Hãy "Đăng ký" kênh để xem bài giảng HOCMAI

Đề thi thử THPTQG môn Toán năm 2017 Chuyên ĐH VINH môn Toán - Lần 2

  • Số trang: 21
  • Lượt đọc: 597
  • Lượt tải: 19
  • Tác giả: Sưu tầm
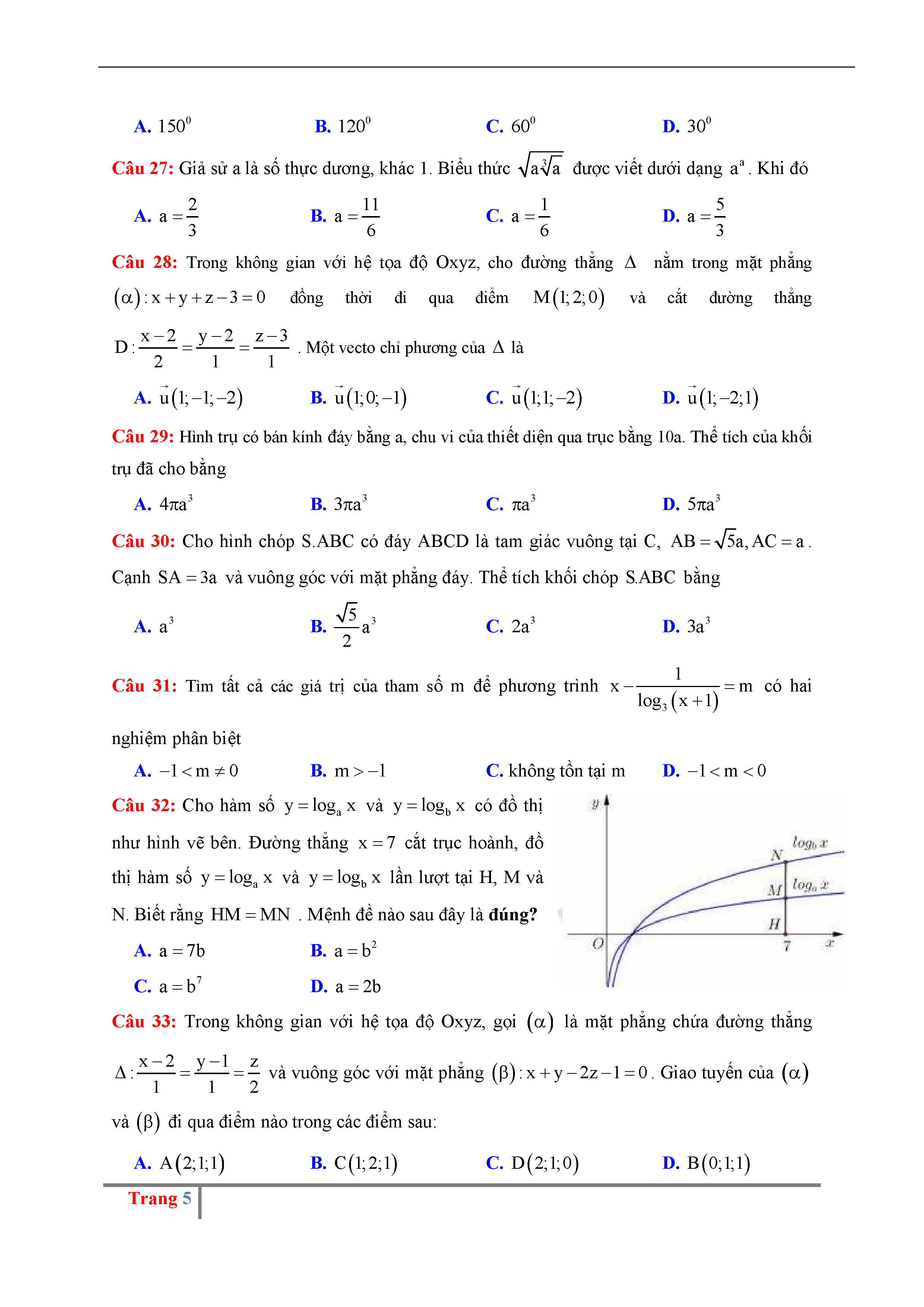
  • 17:13 14/10/2019