Danh mục tài liệu học tập
HOT

Tải APP để nhận nhiều khóa học bổ trợ miễn phí

Zalo OA Hocmai

Hãy "Đăng ký" kênh để xem bài giảng HOCMAI

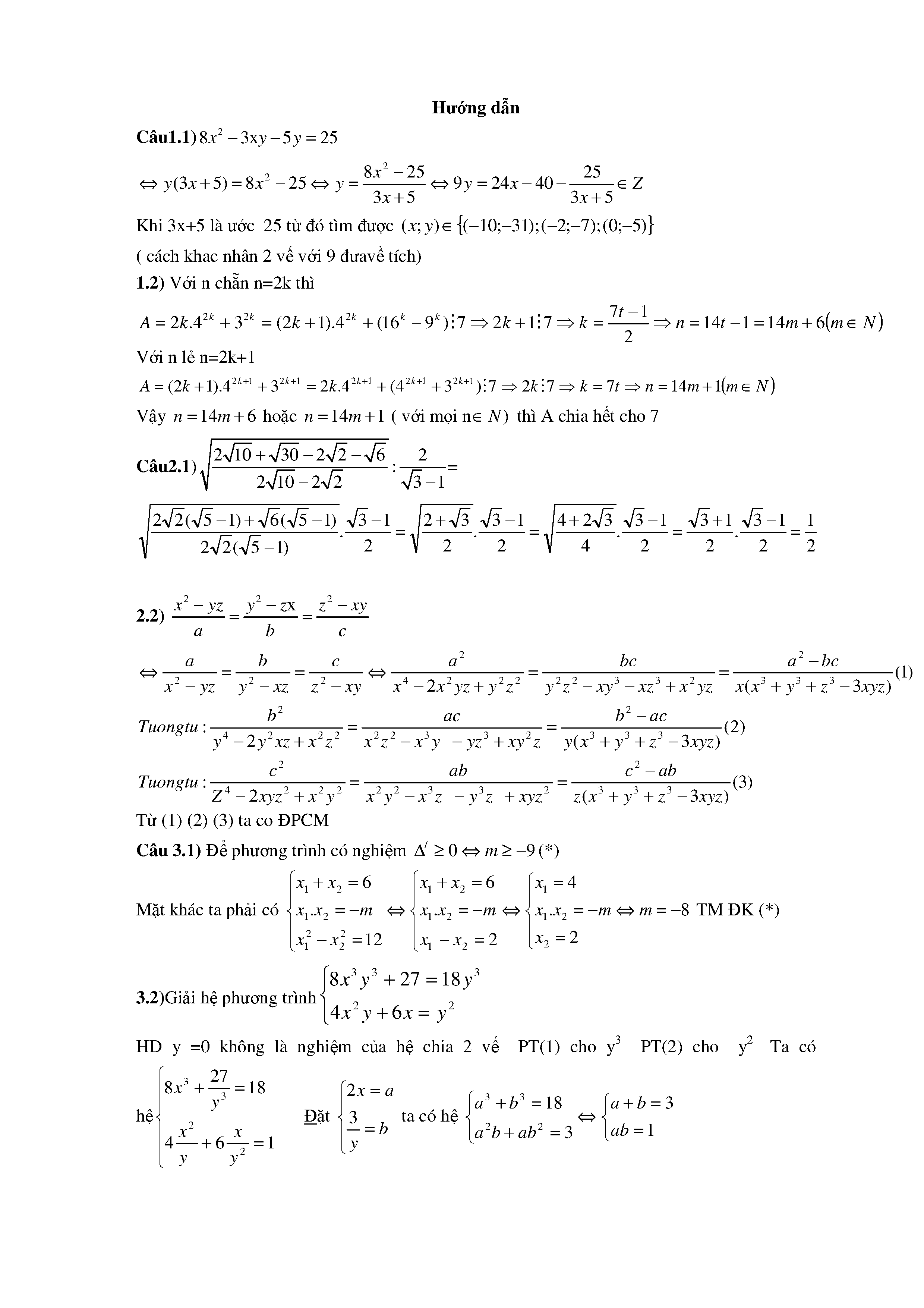
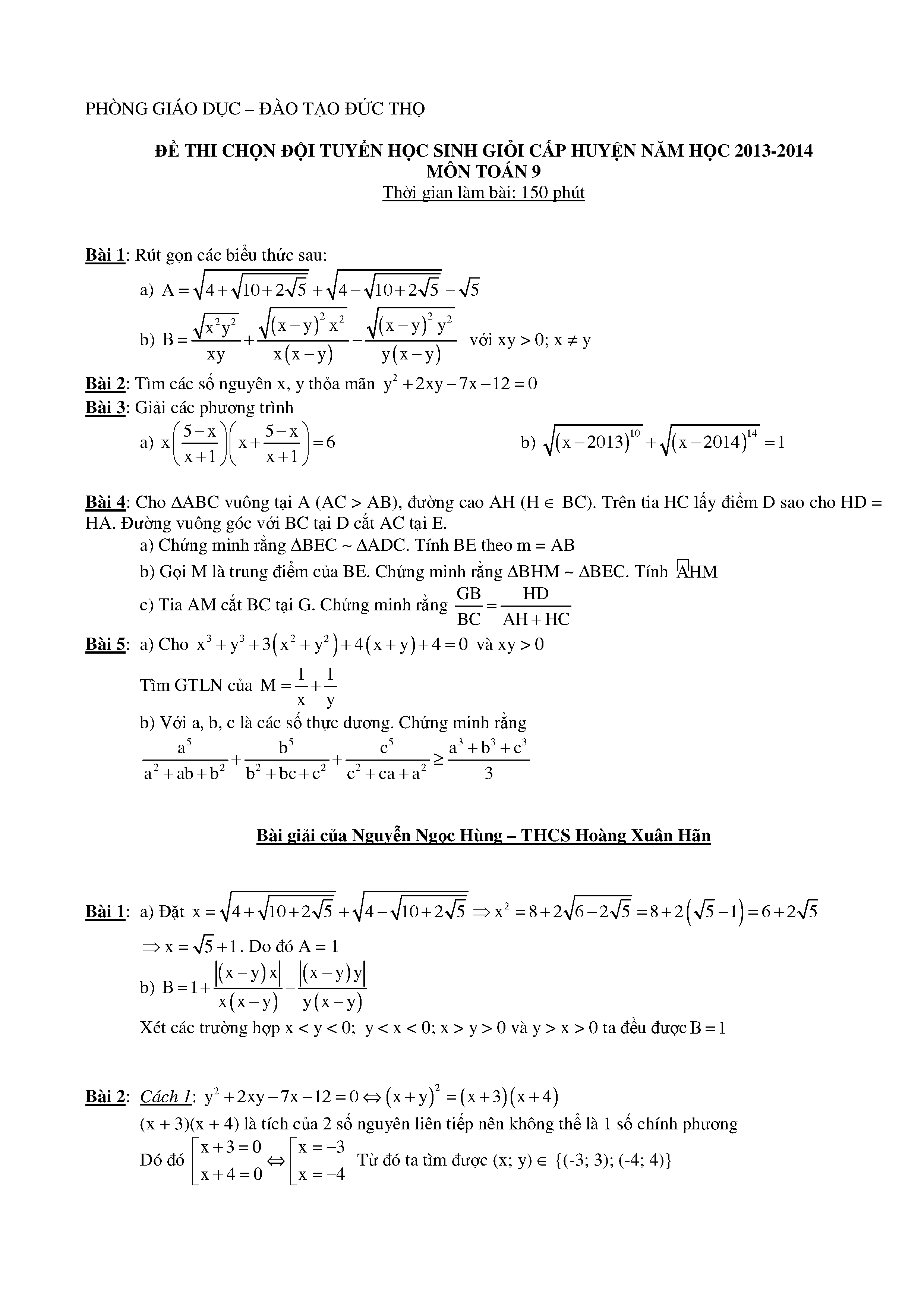
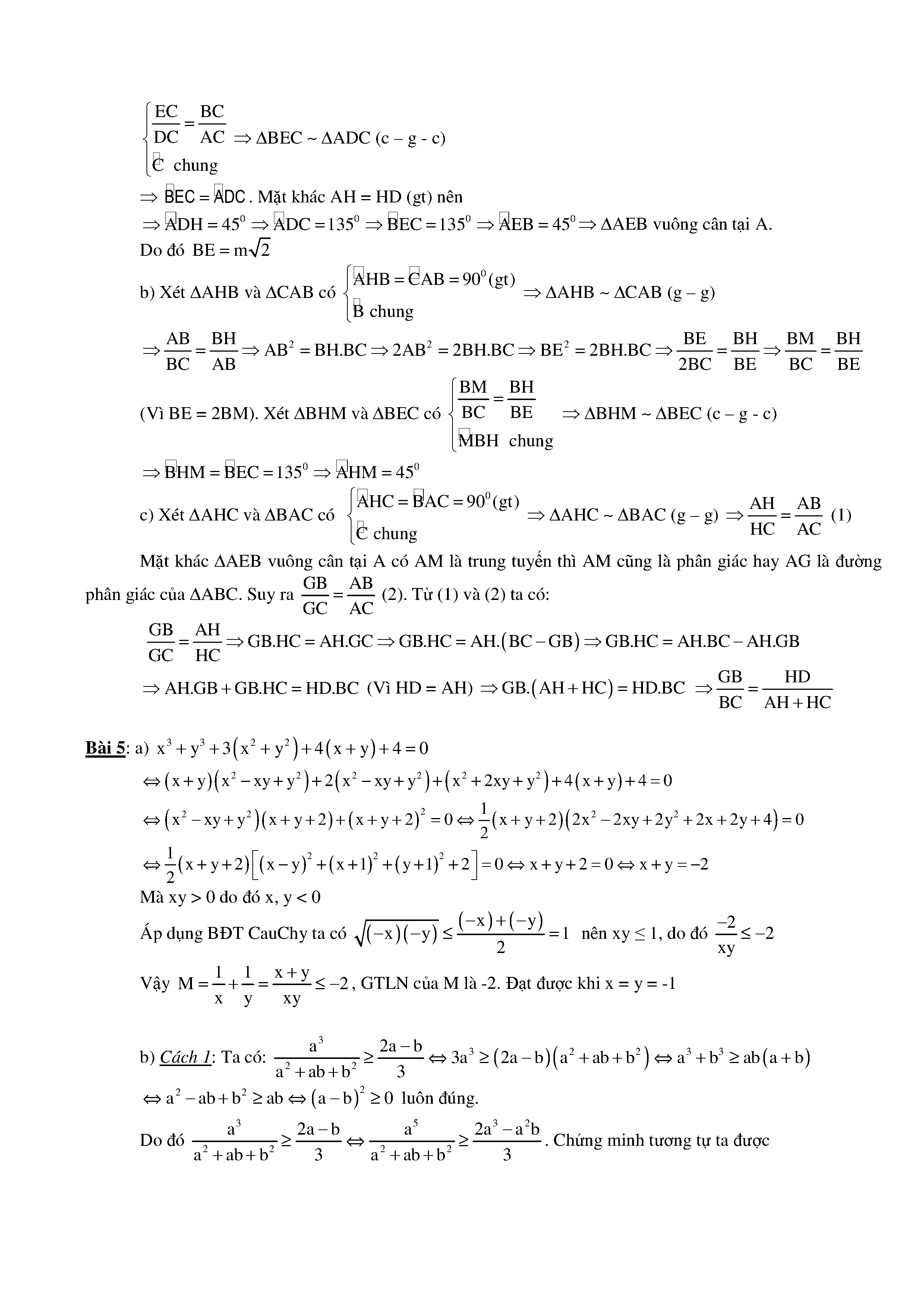
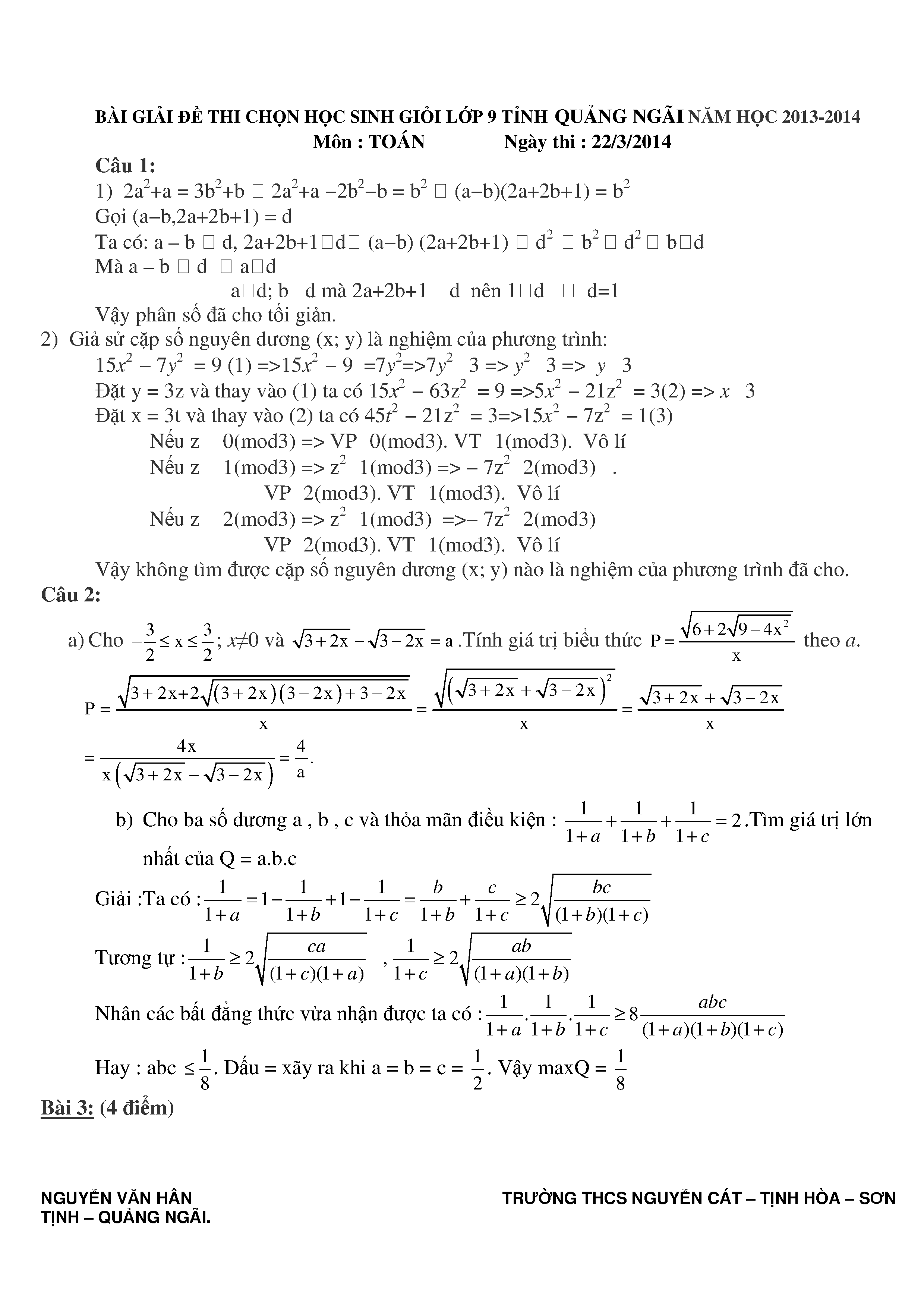
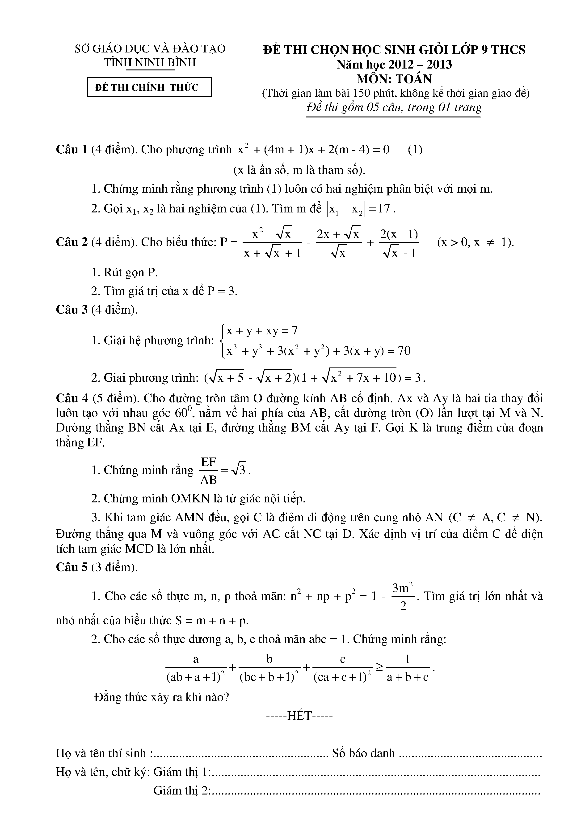
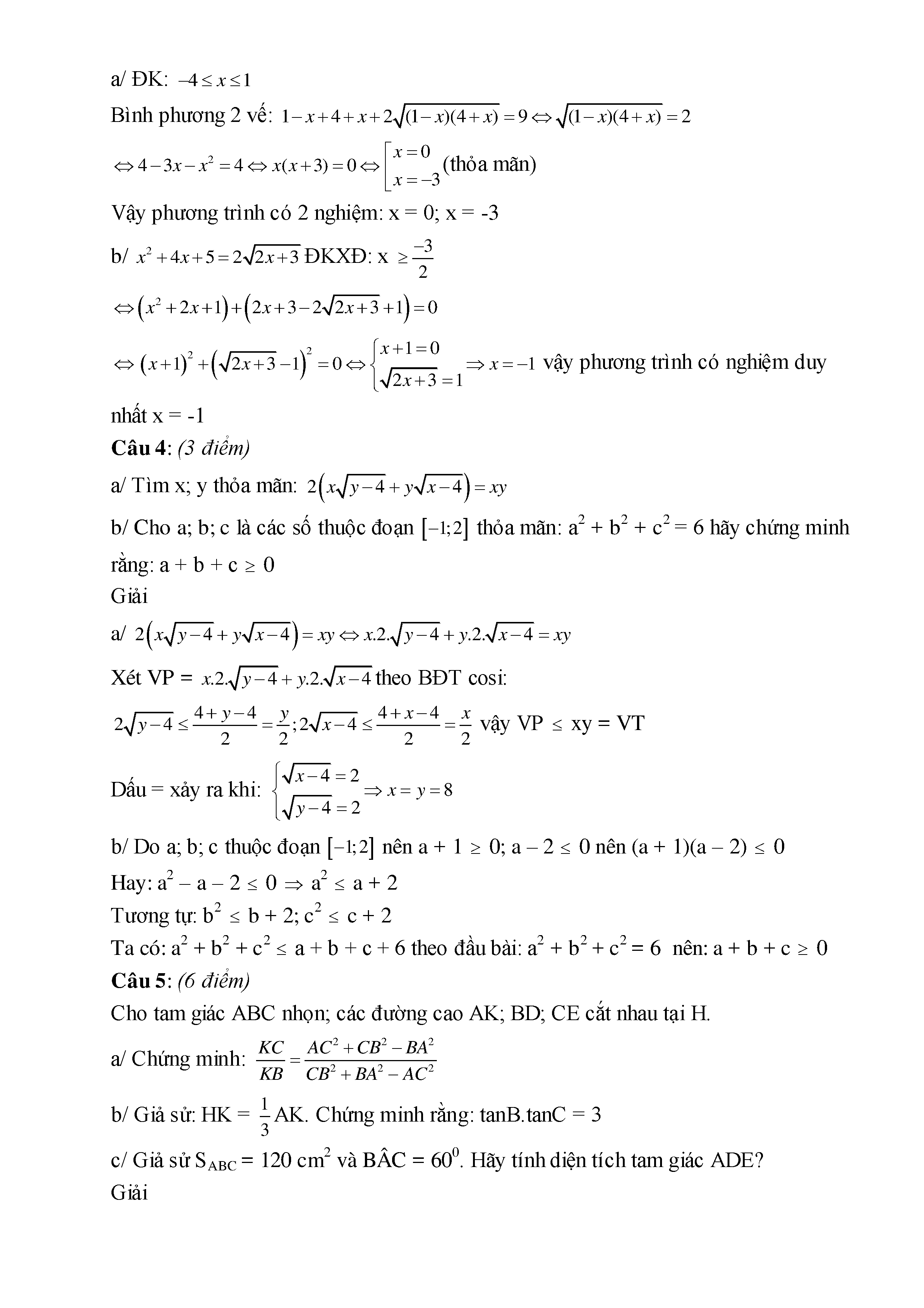
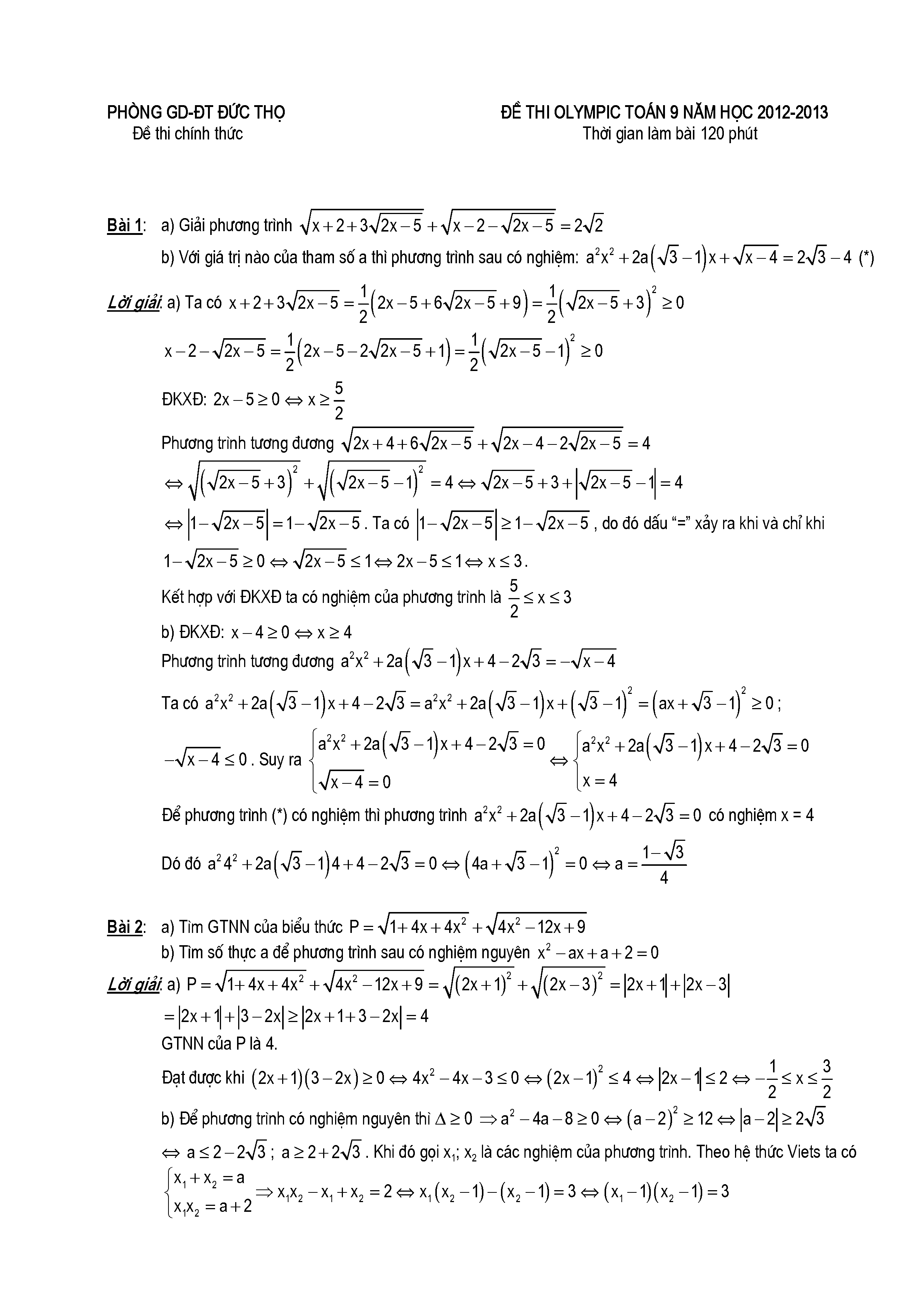
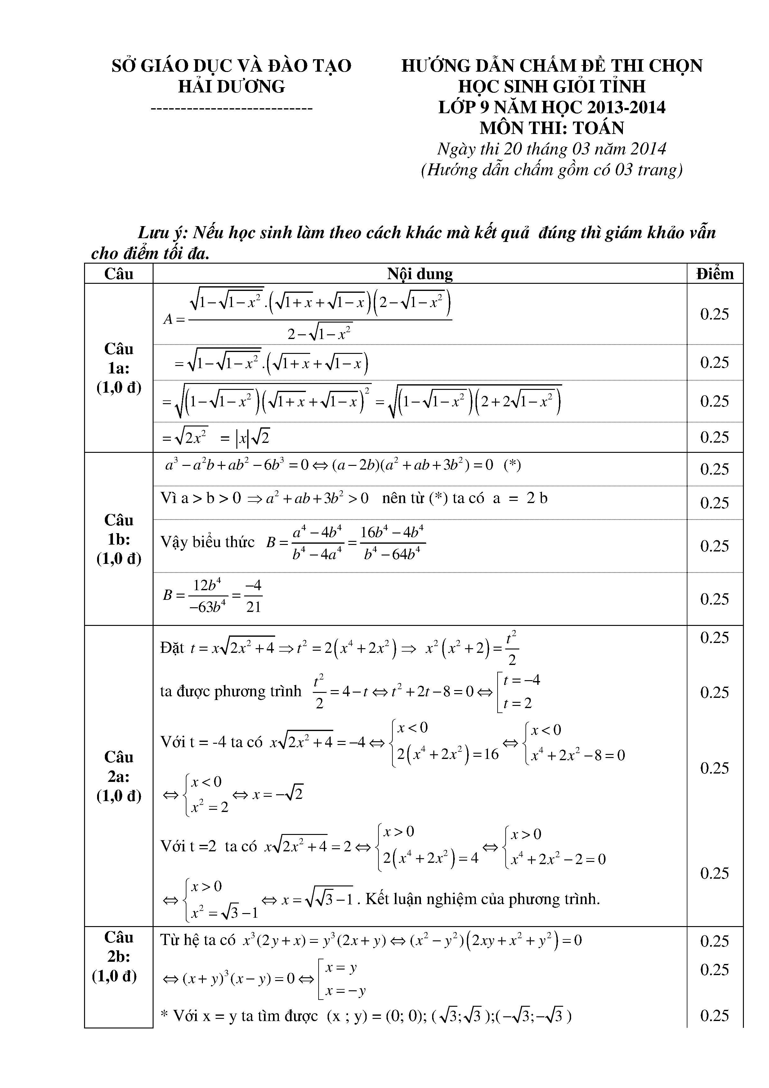
Tuyển tập đề thi học sinh giỏi môn Toán lớp 9

  • Số trang: 158
  • Lượt đọc: 4397
  • Lượt tải: 60
  • Tác giả: Sưu tầm
  • 17:08 01/11/2019