Danh mục tài liệu học tập
HOT

Tải APP để nhận nhiều khóa học bổ trợ miễn phí

Zalo OA Hocmai

Hãy "Đăng ký" kênh để xem bài giảng HOCMAI

ĐỀ THI THỬ KỲ THI THPT QUỐC GIA LẦN 1 - MÔN TOÁN - NĂM 2019 - 2020 - TRƯỜNG THPT NGÔ SĨ LIÊN - BẮC GIANG

  • Số trang: 9
  • Lượt đọc: 3697
  • Lượt tải: 183
  • Tác giả: Sưu tầm
  • 16:40 19/06/2020
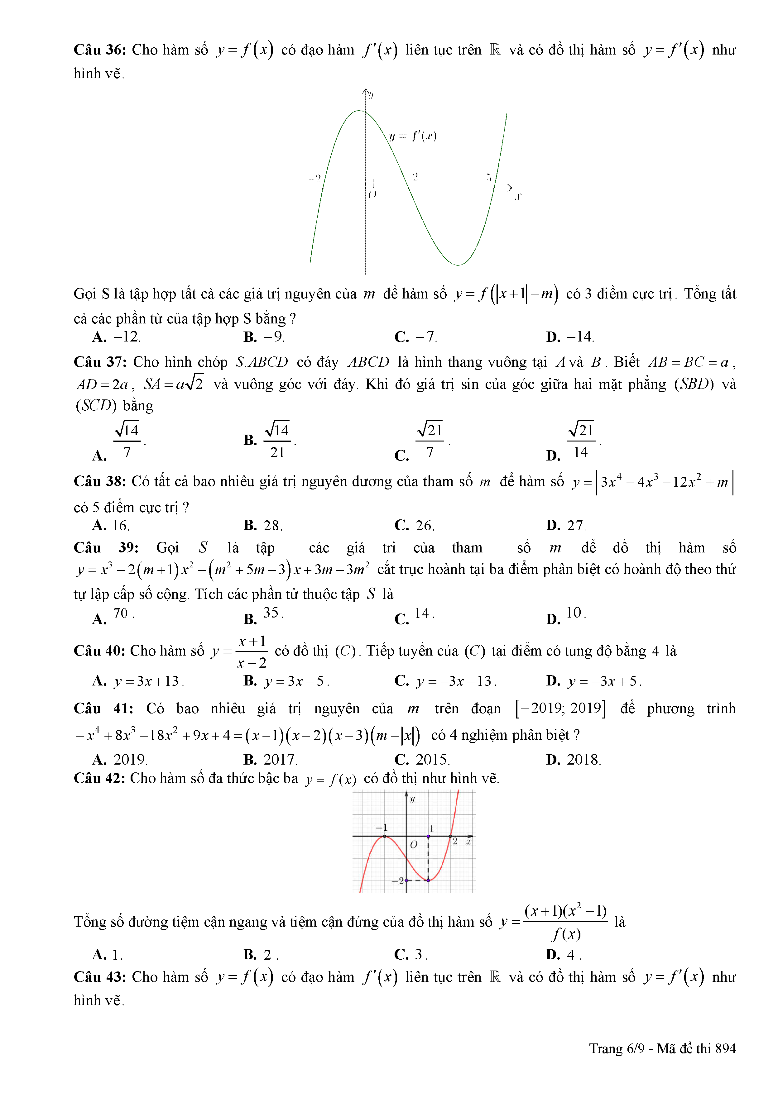
ĐỀ THI THỬ KỲ THI THPT QUỐC GIA LẦN 1 - MÔN TOÁN - NĂM 2019 - 2020 - TRƯỜNG THPT NGÔ SĨ LIÊN - BẮC GIANG