Danh mục tài liệu học tập
HOT

Tải APP để nhận nhiều khóa học bổ trợ miễn phí

Zalo OA Hocmai

Hãy "Đăng ký" kênh để xem bài giảng HOCMAI

ĐỀ KHẢO SÁT CHẤT LƯỢNG NĂM HỌC 2019 – 2020 Môn Toán – Lớp 12 - TRƯỜNG THPT NGUYỄN TRÃI - Đà Nẵng

  • Số trang: 5
  • Lượt đọc: 1736
  • Lượt tải: 78
  • Tác giả: Sưu tầm
  • 11:44 30/06/2020
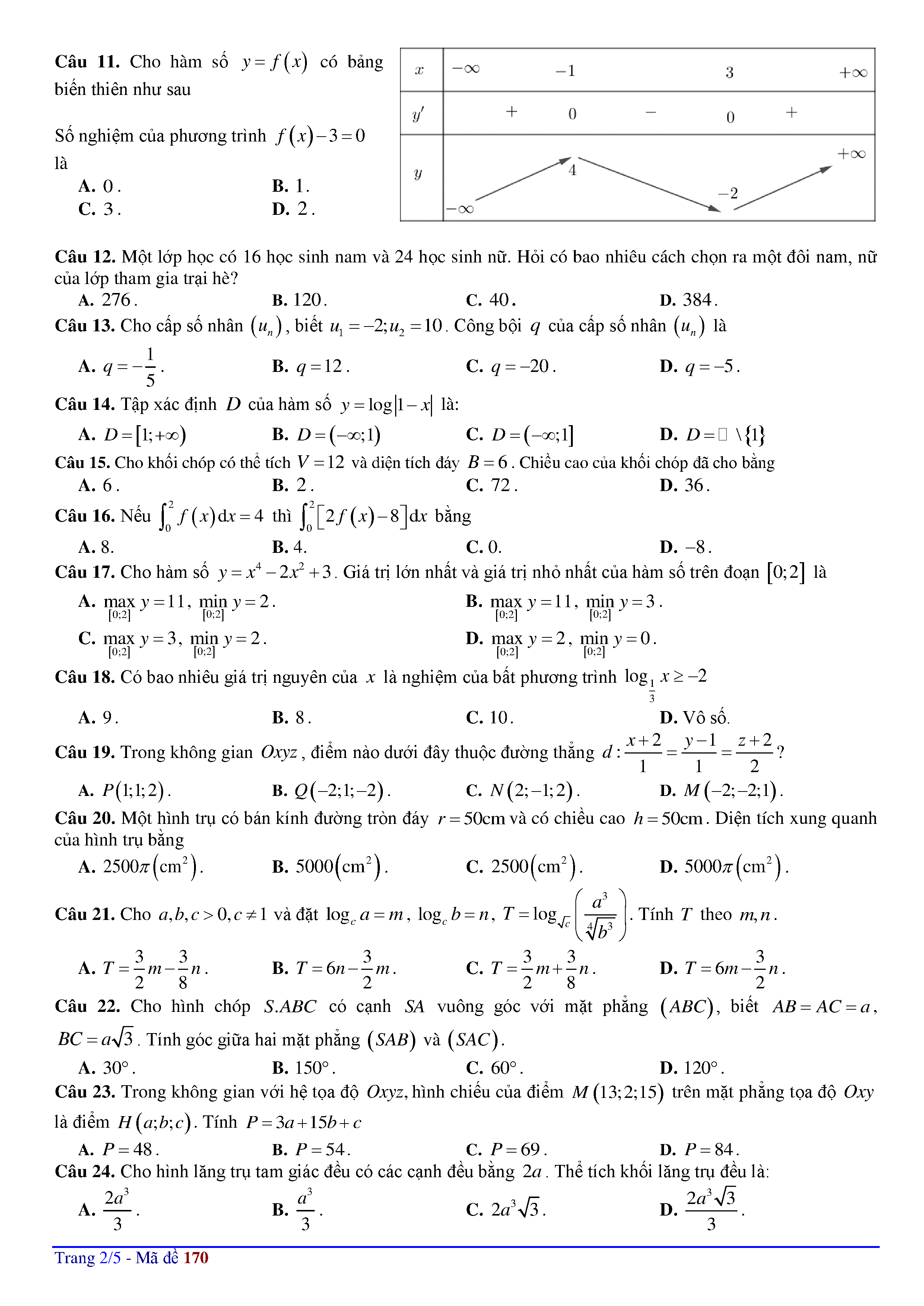
ĐỀ KHẢO SÁT CHẤT LƯỢNG NĂM HỌC 2019 – 2020 Môn Toán – Lớp 12 - TRƯỜNG THPT NGUYỄN TRÃI - Đà Nẵng