Danh mục tài liệu học tập
HOT

Tải APP để nhận nhiều khóa học bổ trợ miễn phí

Zalo OA Hocmai

Hãy "Đăng ký" kênh để xem bài giảng HOCMAI

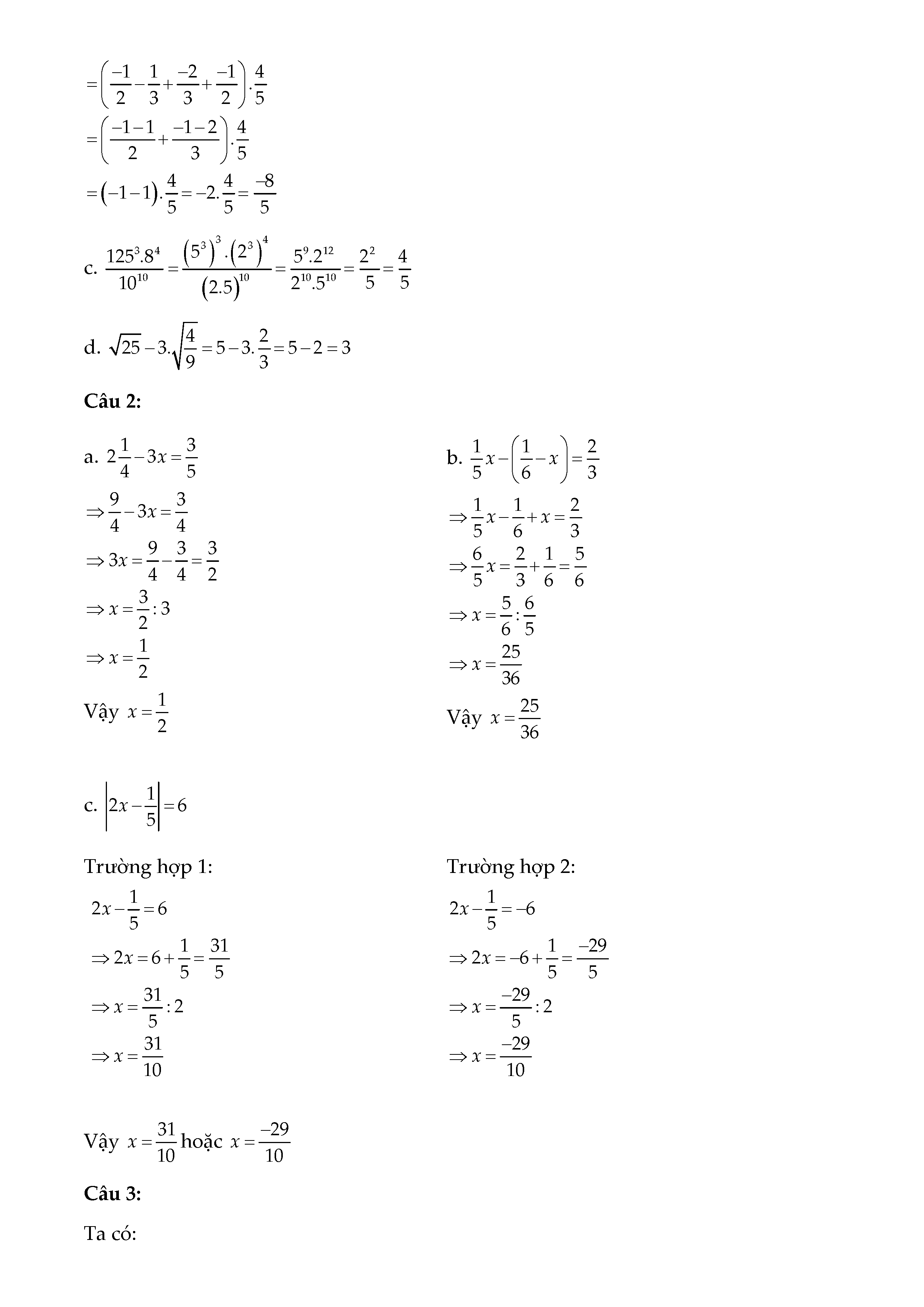
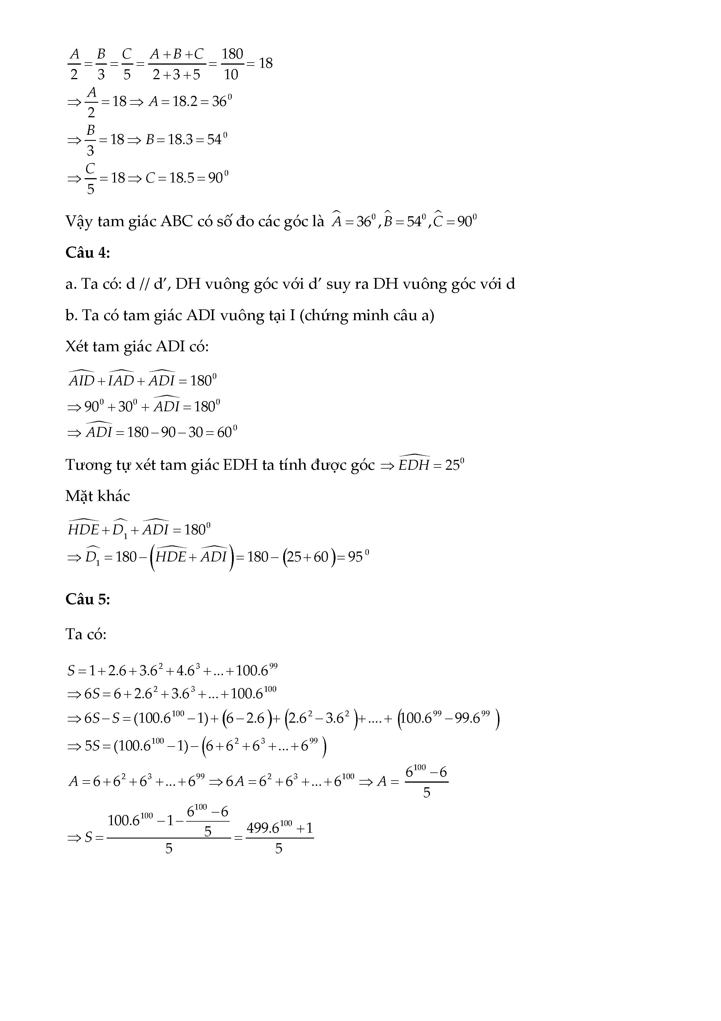
ĐỀ THI HỌC KÌ I NĂM HỌC 2020-2021

  • Số trang: 10
  • Lượt đọc: 6820
  • Lượt tải: 901
  • Tác giả: Sưu tầm
  • 14:32 18/11/2020
ĐỀ THI HỌC KÌ I NĂM HỌC 2020-2021