Danh mục tài liệu học tập
HOT

Tải APP để nhận nhiều khóa học bổ trợ miễn phí

Zalo OA Hocmai

Hãy "Đăng ký" kênh để xem bài giảng HOCMAI

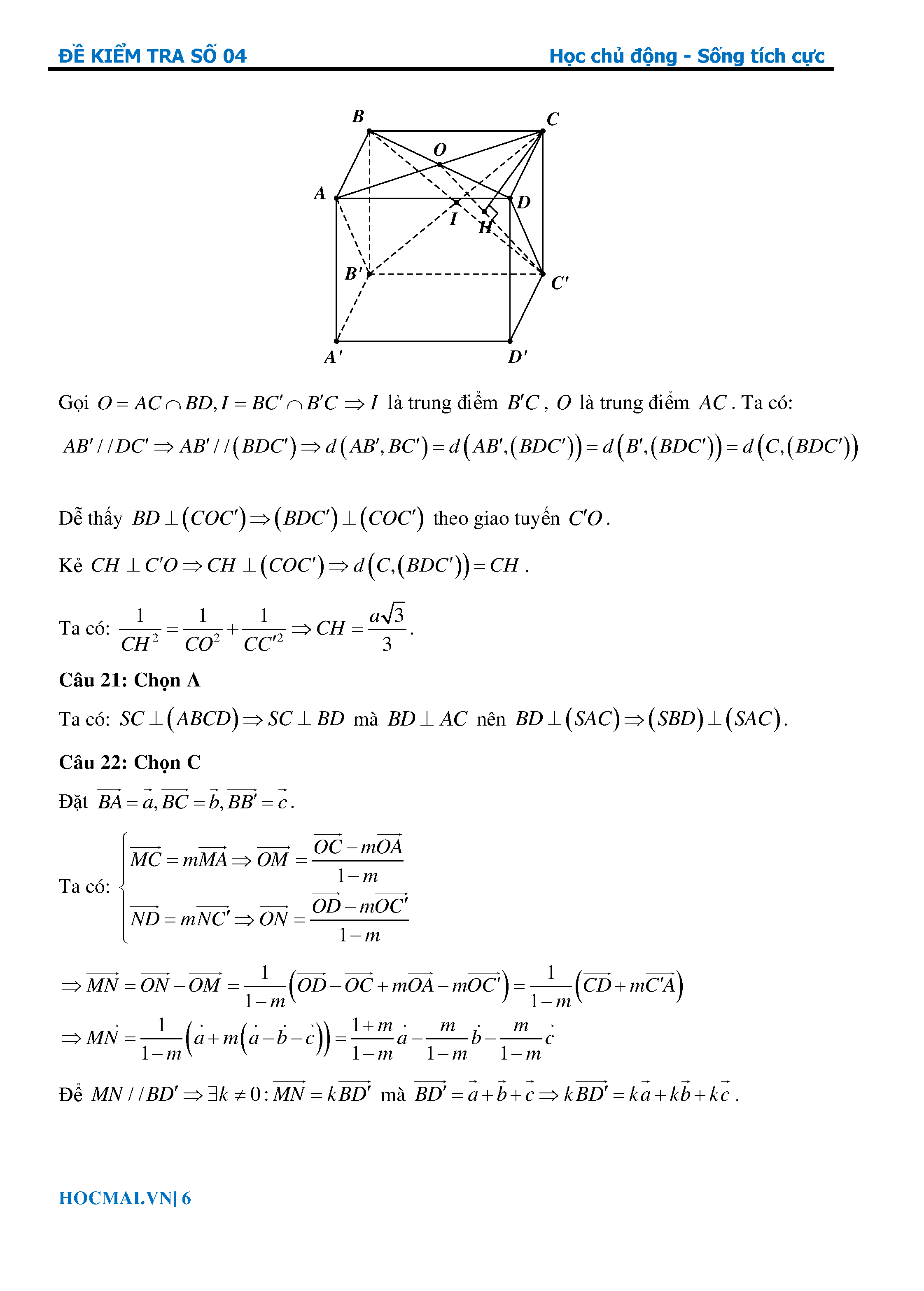
Bứt phá 9+ môn Toán 11 Lời giải bài kiểm tra 1 tiết số 04

  • Số trang: 12
  • Lượt đọc: 6907
  • Lượt tải: 349
  • Tác giả: HOCMAI
  • 14:03 22/06/2021
Bứt phá 9+ môn Toán 11 Lời giải bài kiểm tra 1 tiết số 04