Danh mục tài liệu học tập
HOT

Tải APP để nhận nhiều khóa học bổ trợ miễn phí

Zalo OA Hocmai

Hãy "Đăng ký" kênh để xem bài giảng HOCMAI

Ôn tập Hàm số bậc hai (Phần 1) - Hướng dẫn giải

  • Số trang: 21
  • Lượt đọc: 223
  • Lượt tải: 19
  • Tác giả: HOCMAI
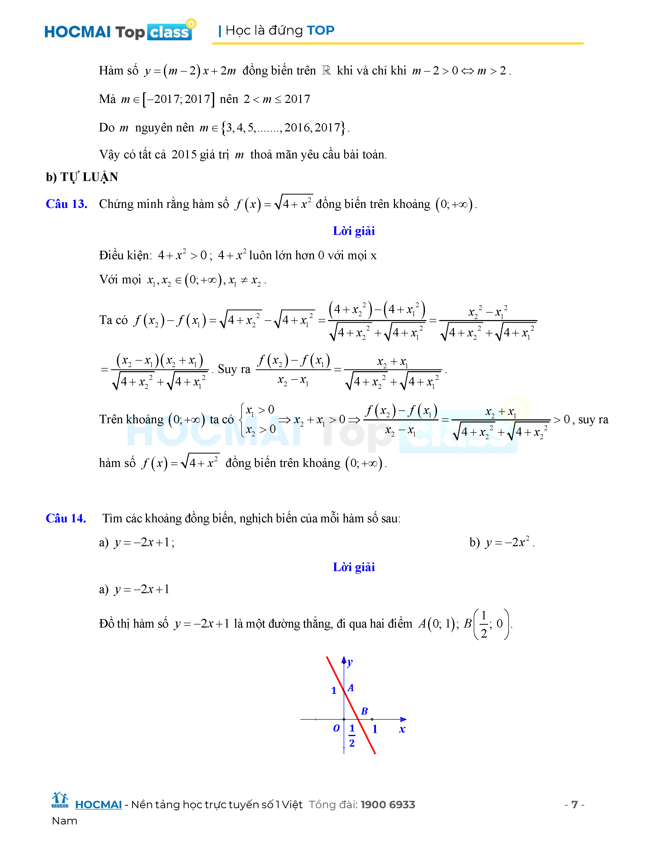
  • 13:57 21/07/2025