Danh mục tài liệu học tập
HOT

Tải APP để nhận nhiều khóa học bổ trợ miễn phí

Zalo OA Hocmai

Hãy "Đăng ký" kênh để xem bài giảng HOCMAI

ĐỀ THI CHÍNH THỨC THPTQG NĂM 2017 - MÔN TOÁN - MÃ ĐỀ 107

  • Số trang: 3
  • Lượt đọc: 1485
  • Lượt tải: 20
  • Tác giả: Sưu tầm
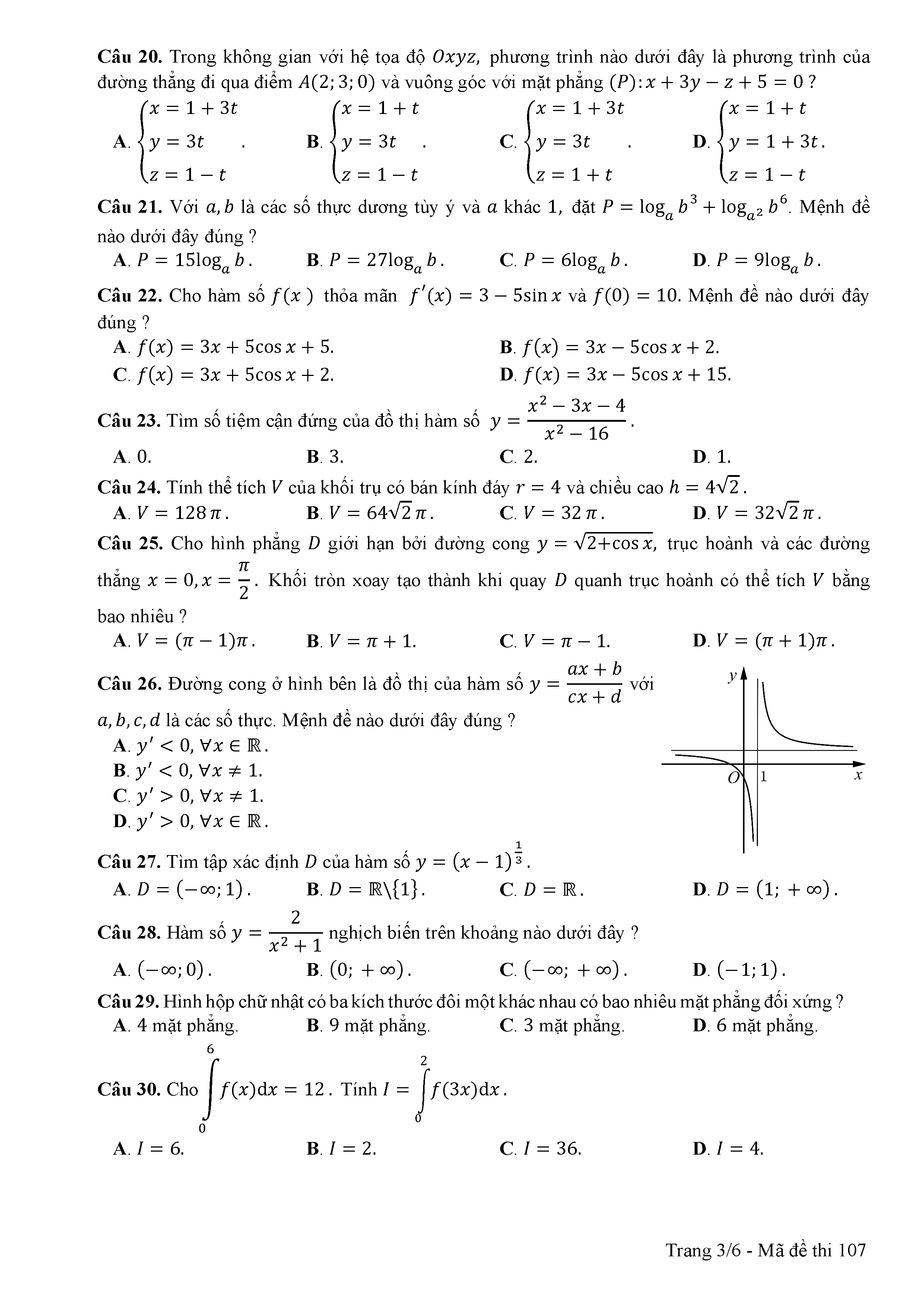
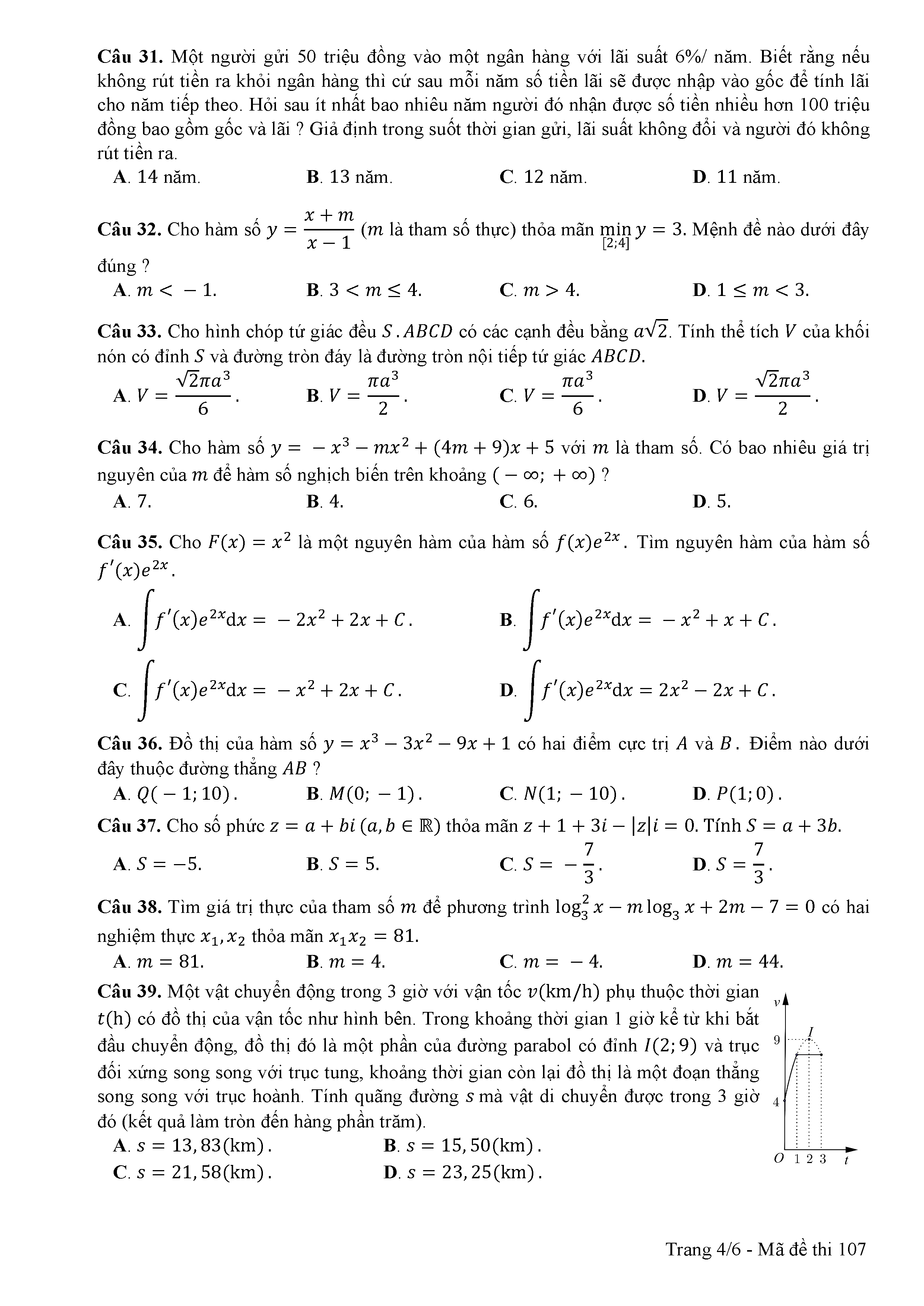
  • 16:13 21/11/2018