Học Mãi chia sẻ tài liệu kiến thức Đại số - Giải tích giúp các em học sinh tổng hợp kiến thức toán 11 một cách ngắn gọn và dễ hiểu nhất
1. Độ và Radian
2. Các hệ thức lượng giác cơ bản
3. Các hệ quả cần nhớ
4. Các cung liên kết lượng giác
5. Các công thức lượng giác biến đổi
1. Các hàm số lượng giác
2. Tập xác định của hàm số
3. Tìm giá trị nhỏ nhất, giá trị lớn nhất của hàm số
4. Xác định tính chẵn lẻ của hàm số
Đăng ký ngay khóa Học Tốt Toán 11 để được các thầy cô ôn tập kiến thức một cách khoa học, dễ hiểu nhất và nhận được rất nhiều ưu đãi cực kỳ hấp dẫn từ Học Mãi
1. Phương trình lượng giác cơ bản
2. Phương trình bậc 2 đối với hàm số lượng giác
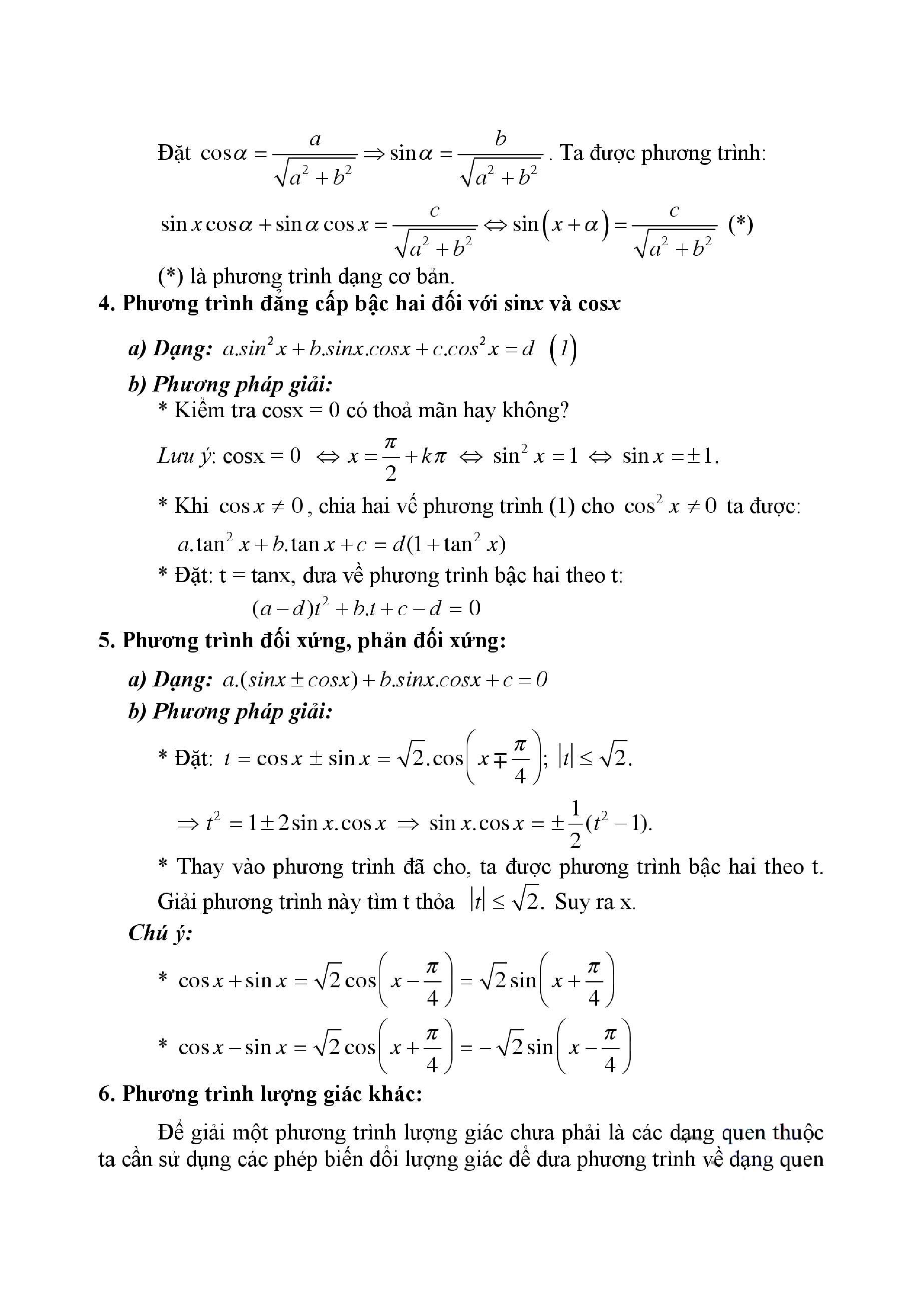
3. Phương trình bậc nhất đối với hàm sinx và cosx
4. Phương trình đẳng cấp bậc 2 đối với sinx và cosx
5. Phương trình đối xứng, phản đối xứng
6. Phương trình lượng giác khác
1. Phép đếm
2. Hoán vị
3. Chỉnh hợp
4. Tổ hợp
5. Cách phân biệt tổ hợp, chỉnh hợp
1. Khai triển nhị thức Newton
Cơ quan chủ quản: Công ty Cổ phần Đầu tư và Dịch vụ Giáo dục
MST: 0102183602 do Sở kế hoạch và Đầu tư thành phố Hà Nội cấp ngày 13 tháng 03 năm 2007
Địa chỉ:
- Văn phòng Hà Nội: Tầng 4, Tòa nhà 25T2, Đường Nguyễn Thị Thập, Phường Trung Hoà, Quận Cầu Giấy, Hà Nội.
- Văn phòng TP.HCM: Lầu 3, 51-53 Võ Văn Tần, phường Võ Thị Sáu, quận 3, Tp. Hồ Chí Minh.
Hotline: 19006933 – Email: hotro@hocmai.vn
Chịu trách nhiệm nội dung: Phạm Giang Linh
Giấy phép cung cấp dịch vụ mạng xã hội trực tuyến số 597/GP-BTTTT Bộ Thông tin và Truyền thông cấp ngày 30/12/2016.
- Ưu đãi 30% học phí PEN-I dành riêng cho bạn
- Thời gian: Chỉ đến hết 4/12/2015
Bạn đang đăng nhập. Vui lòng chờ trong giây lát.
Bạn cần ĐĂNG KÝ khóa học này để tham gia làm bài "Đánh giá năng lực"!