Danh mục tài liệu học tập
HOT

Tải APP để nhận nhiều khóa học bổ trợ miễn phí

Zalo OA Hocmai

Hãy "Đăng ký" kênh để xem bài giảng HOCMAI

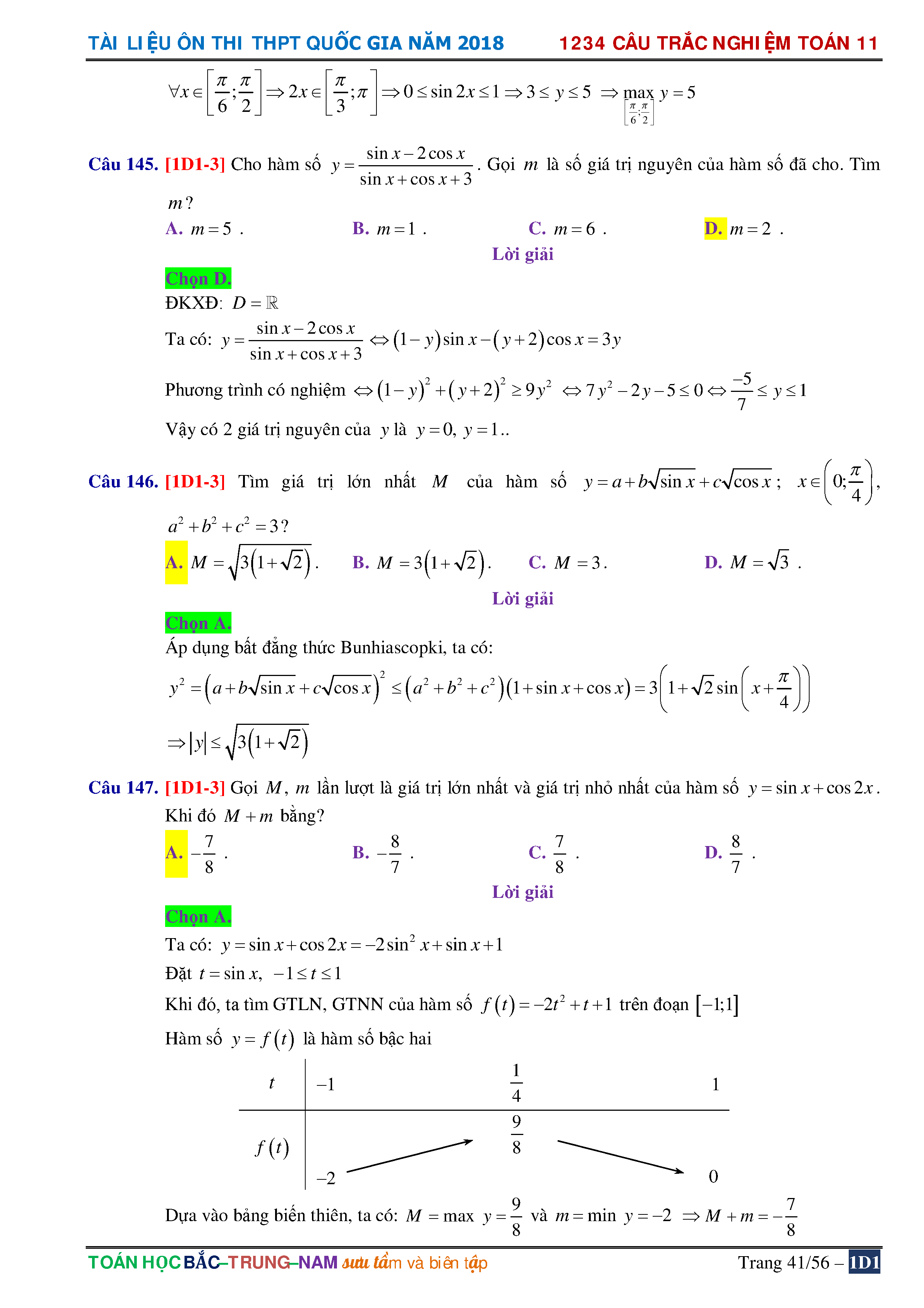
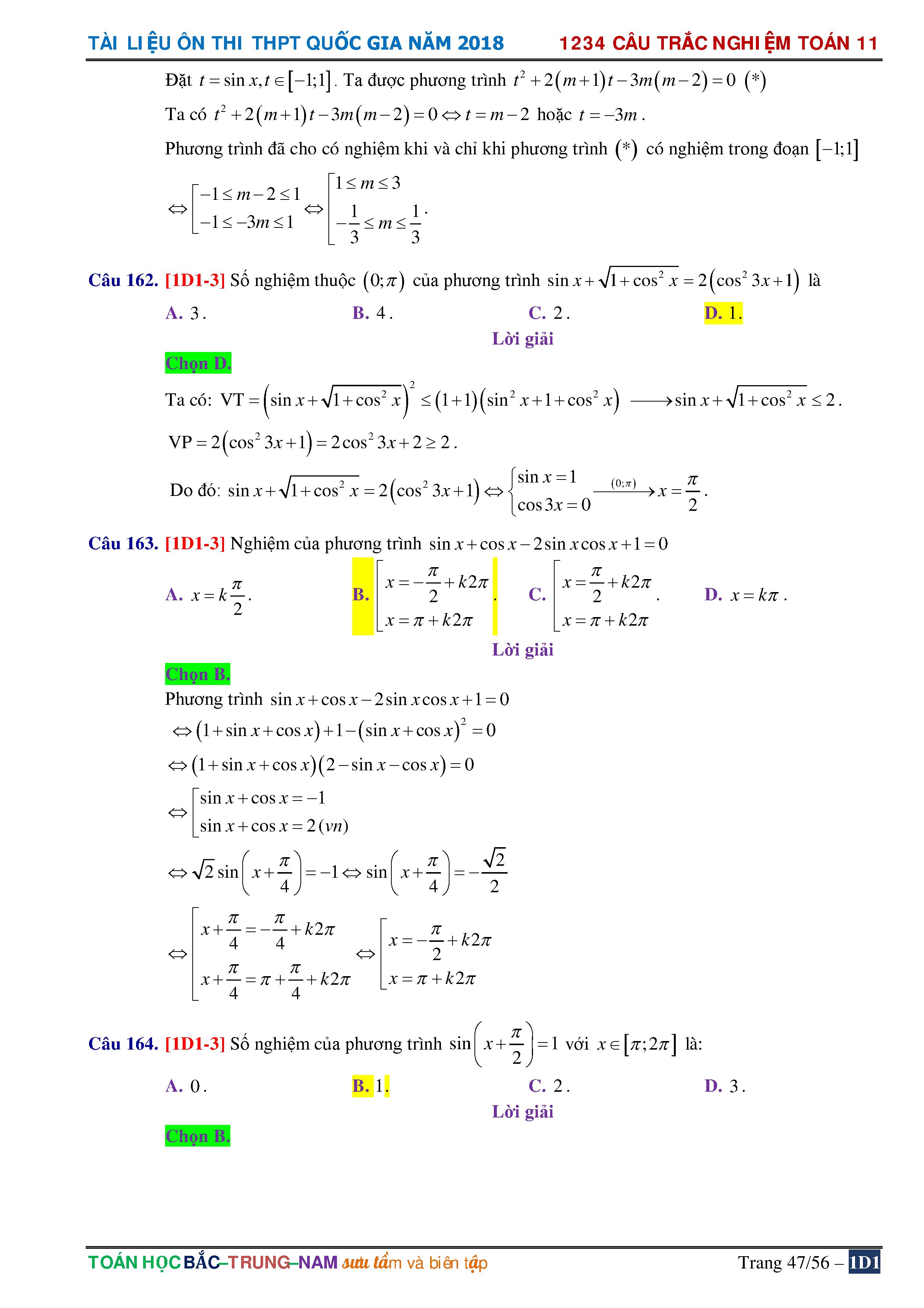
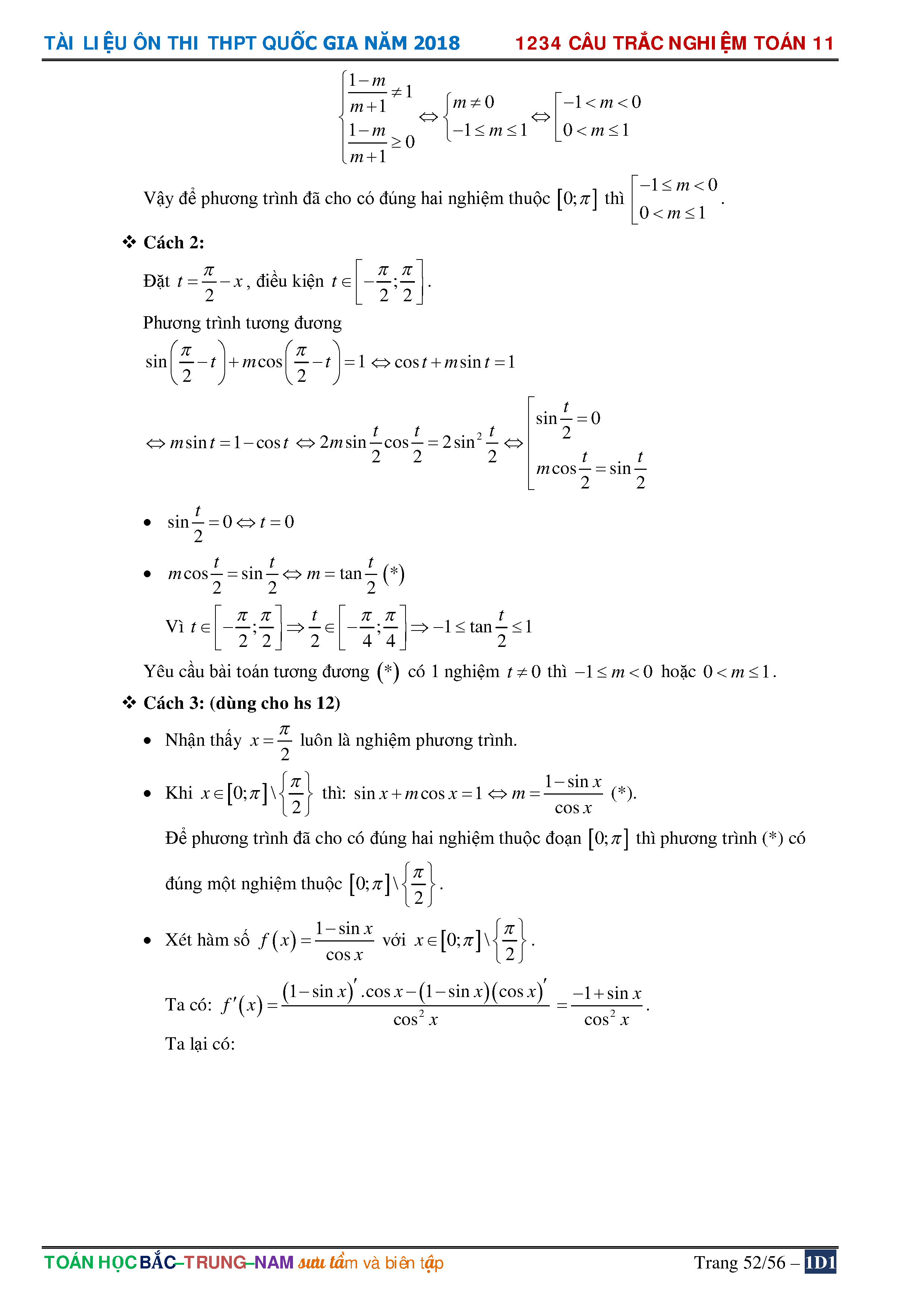
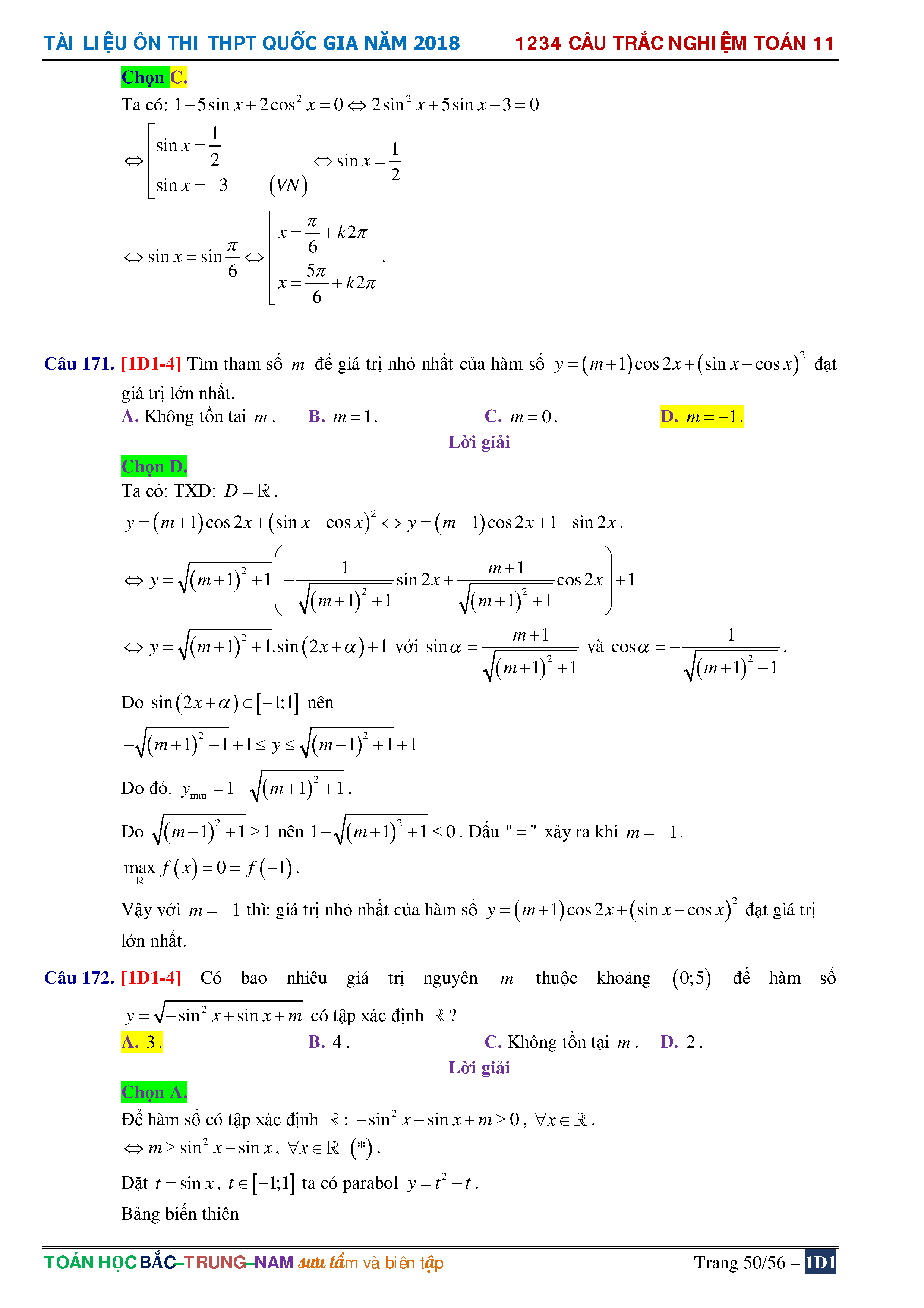
TRẮC NGHIỆM HÀM SỐ LƯỢNG GIÁC PHƯƠNG TRÌNH LƯỢNG GIÁC TOÁN LỚP 11

  • Số trang: 56
  • Lượt đọc: 3520
  • Lượt tải: 125
  • Tác giả: Sưu tầm
  • 09:13 26/11/2018
TRẮC NGHIỆM HÀM SỐ LƯỢNG GIÁC PHƯƠNG TRÌNH LƯỢNG GIÁC TOÁN LỚP 11