Danh mục tài liệu học tập
HOT

Tải APP để nhận nhiều khóa học bổ trợ miễn phí

Zalo OA Hocmai

Hãy "Đăng ký" kênh để xem bài giảng HOCMAI

ĐỀ THI THỬ THPT QUỐC GIA 2017 - MÔN TOÁN - CLB GIÁO VIÊN TRẺ - HUẾ - LẦN 2

  • Số trang: 8
  • Lượt đọc: 818
  • Lượt tải: 26
  • Tác giả: Sưu tầm
  • 09:46 26/11/2018
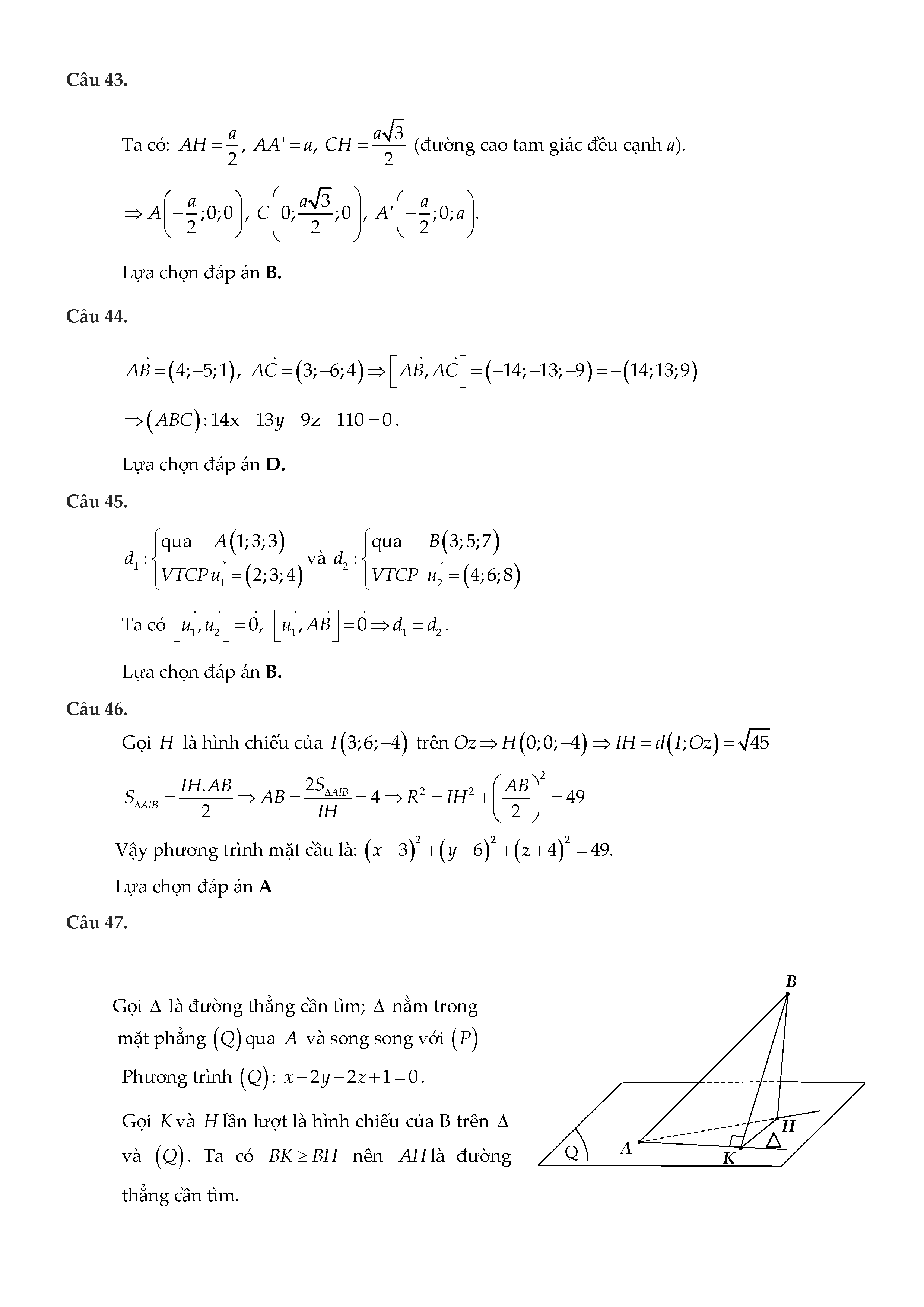
ĐỀ THI THỬ THPT QUỐC GIA 2017 - MÔN TOÁN - CLB GIÁO VIÊN TRẺ - HUẾ - LẦN 2