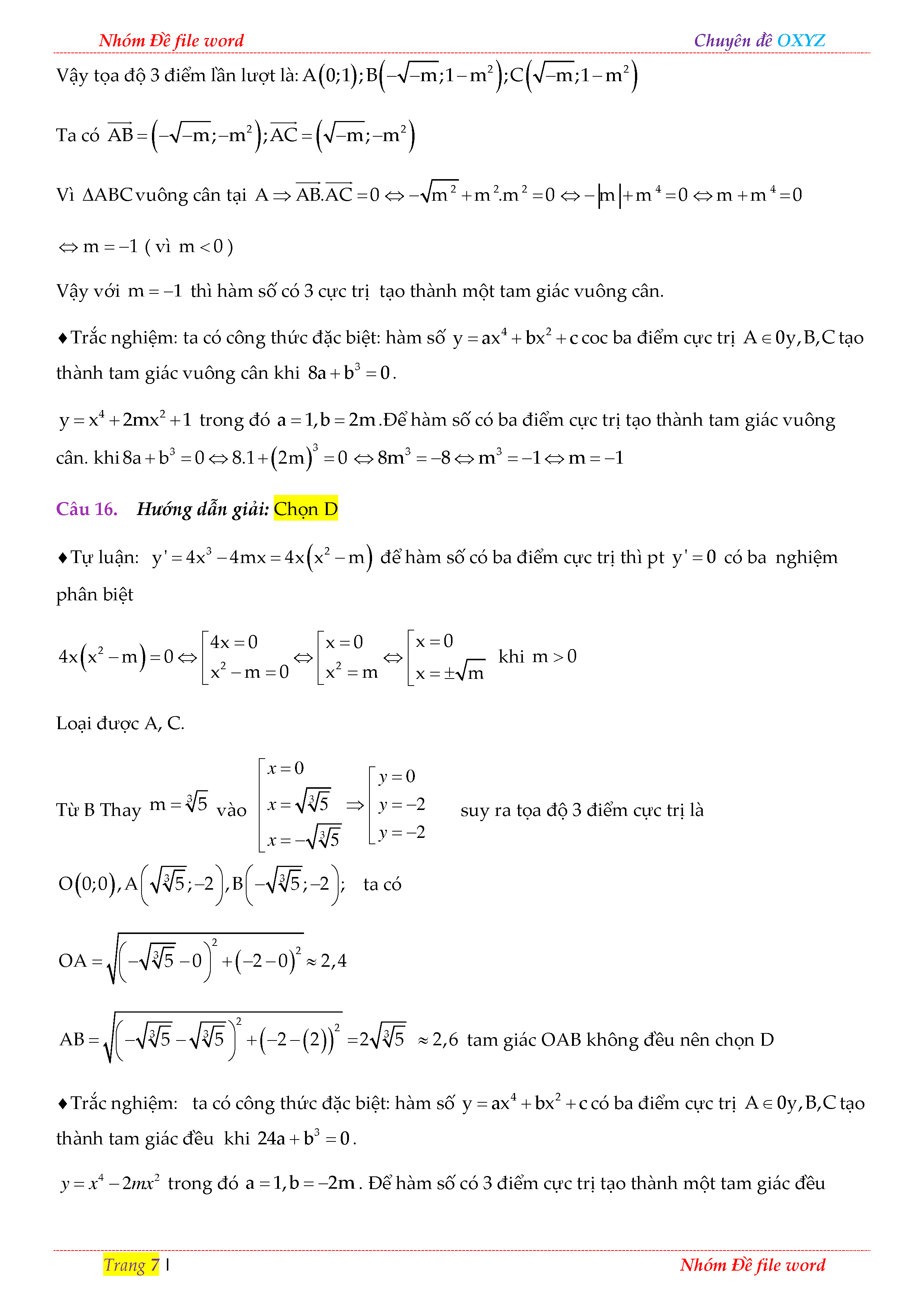
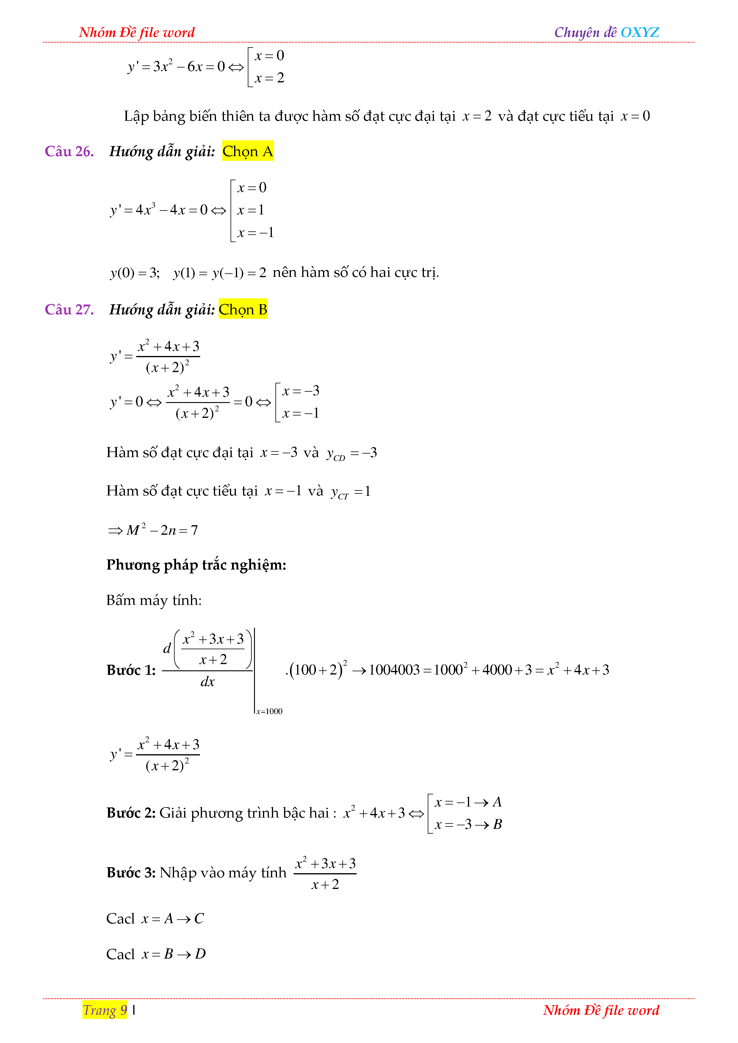
Danh mục tài liệu học tập
HOT

Tải APP để nhận nhiều khóa học bổ trợ miễn phí

Zalo OA Hocmai

Hãy "Đăng ký" kênh để xem bài giảng HOCMAI

TRẮC NGHIỆM CỰC TRỊ CỦA HÀM SỐ TRONG ĐỀ THI THPT QG 2018 - LỜI GIẢI

  • Số trang: 12
  • Lượt đọc: 1264
  • Lượt tải: 30
  • Tác giả: Sưu tầm
  • 14:56 26/11/2018
TRẮC NGHIỆM CỰC TRỊ CỦA HÀM SỐ TRONG ĐỀ THI THPT QG 2018 - LỜI GIẢI