Danh mục tài liệu học tập
HOT

Tải APP để nhận nhiều khóa học bổ trợ miễn phí

Zalo OA Hocmai

Hãy "Đăng ký" kênh để xem bài giảng HOCMAI

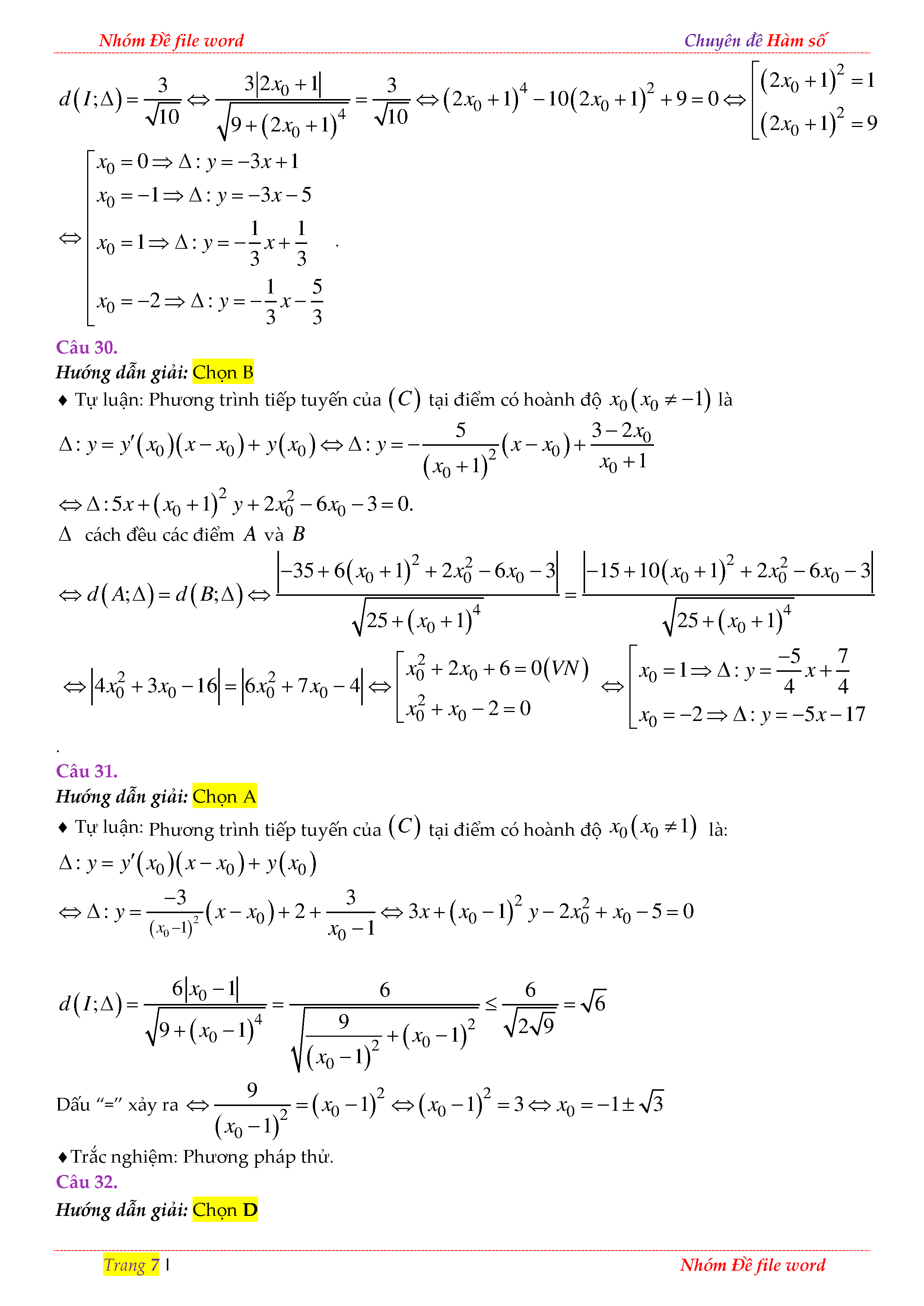
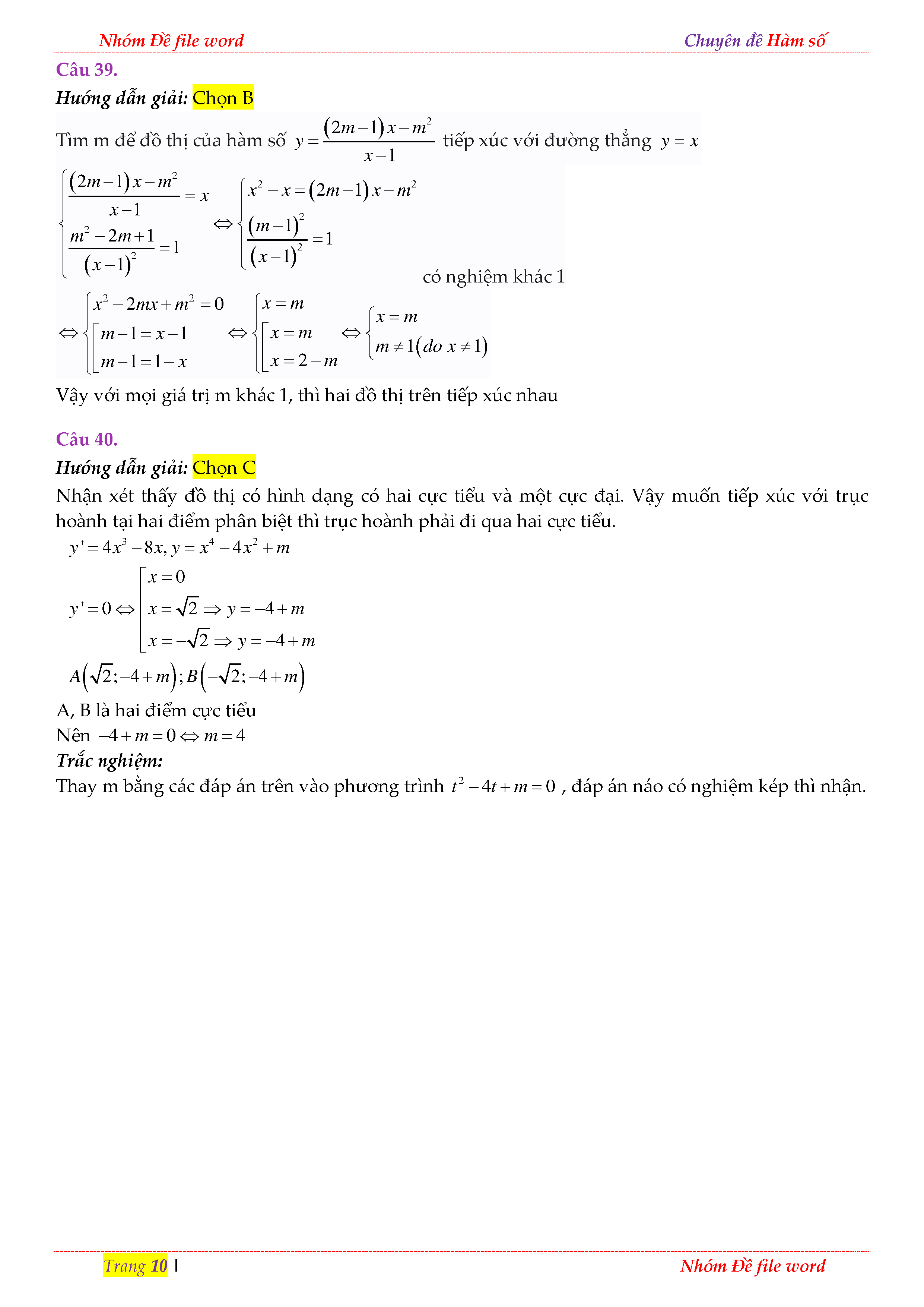
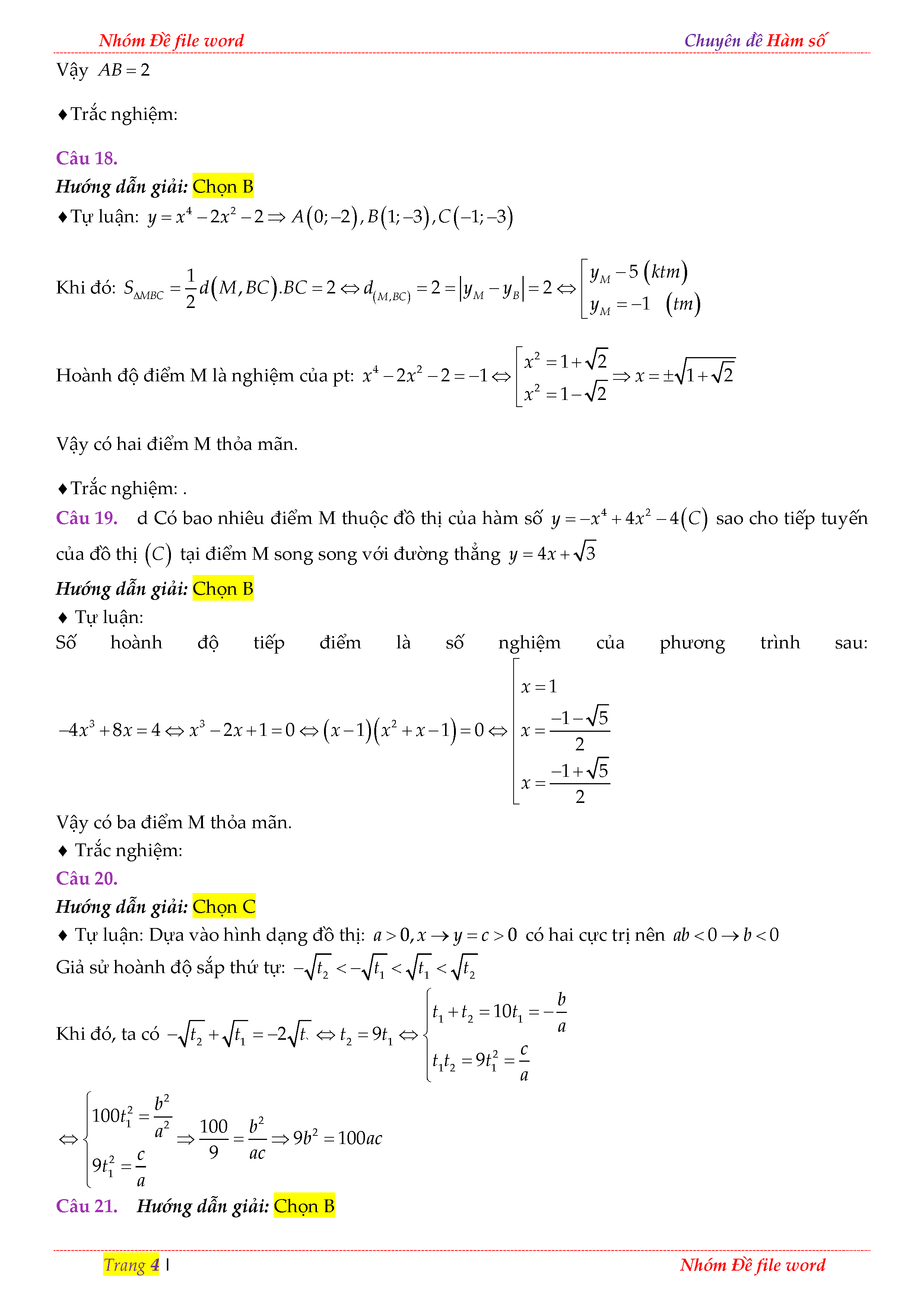
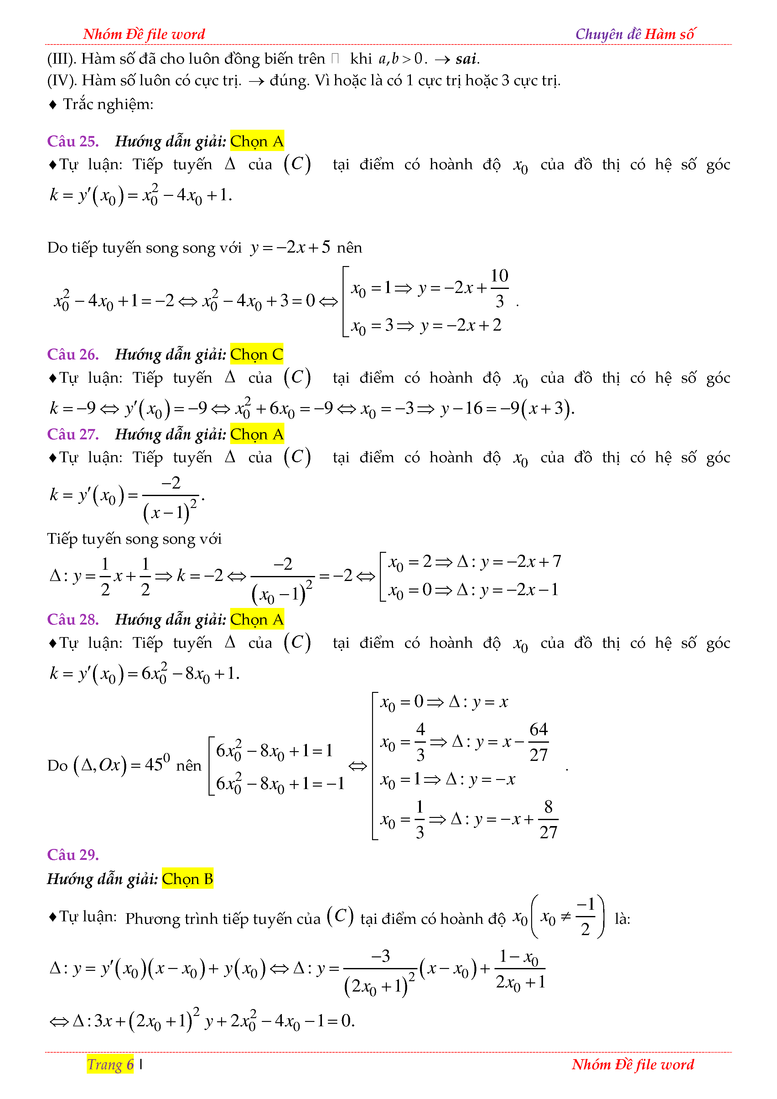
TRẮC NGHIỆM TÌM ĐIỂM THUỘC ĐỒ THỊ THỎA MÃN ĐIỀU KIỆN CHO TRƯỚC - LỜI GIẢI

  • Số trang: 10
  • Lượt đọc: 1799
  • Lượt tải: 99
  • Tác giả: Sưu tầm
  • 15:27 26/11/2018
TRẮC NGHIỆM TÌM ĐIỂM THUỘC ĐỒ THỊ THỎA MÃN ĐIỀU KIỆN CHO TRƯỚC - LỜI GIẢI