Danh mục tài liệu học tập
HOT

Tải APP để nhận nhiều khóa học bổ trợ miễn phí

Zalo OA Hocmai

Hãy "Đăng ký" kênh để xem bài giảng HOCMAI

Bộ đề ôn thi học kì 1 môn Toán lớp 12 (có đáp án)

  • Số trang: 38
  • Lượt đọc: 28544
  • Lượt tải: 755
  • Tác giả: Sưu tầm
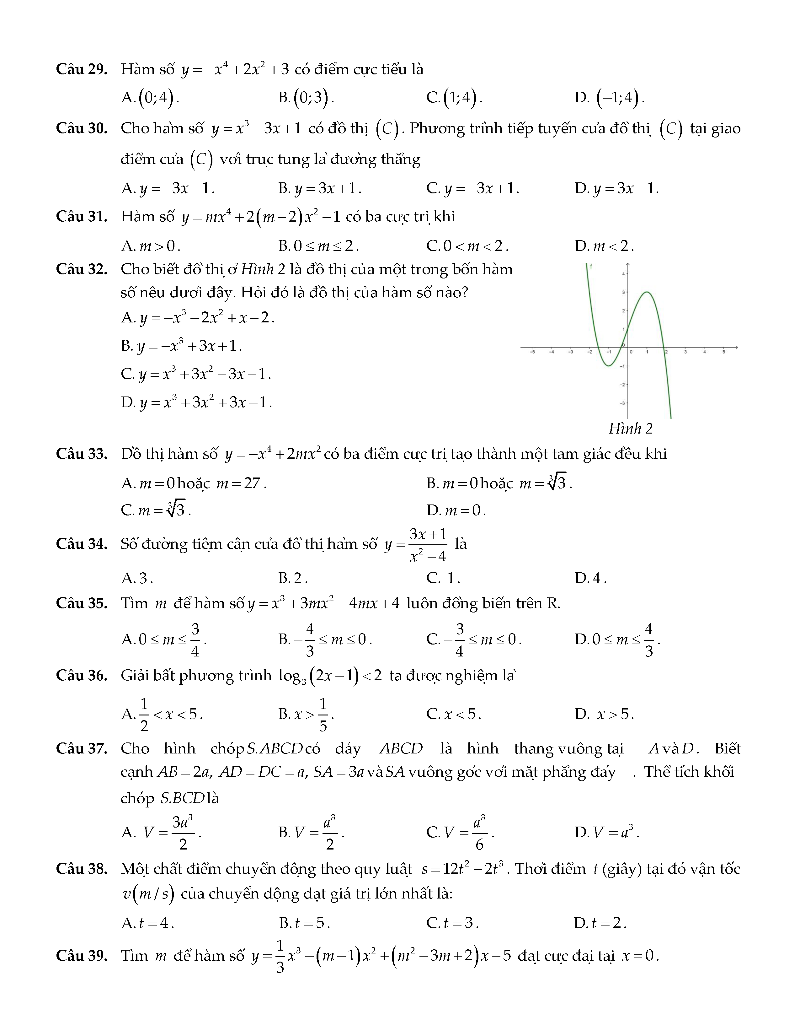
  • 17:00 26/11/2018