Học mãi chia sẻ bộ tài liệu công thức vật lí lớp 12 giúp các em học sinh có thể dễ dàng giải quyết mọi dạng bài một cách nhanh chóng, chính xác và tiết kiệm thời gian nhất. Đây là "sổ tay" không thể thiếu trong quá trình ôn thi đại học môn lý.
- Phương trình dao động
- Phương trình vận tốc
- Phương trình gia tốc
- Hệ thức độc lập
- Tần số góc
- Chu kì
- Tần số
- Phương trình dao động điều hòa
- Năng lượng dao động điều hòa
- Con lắc lò xo treo thẳng đứng
- Lực đàn hồi của lò xo ở li độ x
- Tần số góc
- Chu kì
- Tần số
- Phương trình dao động
- Vận tốc
- Năng lượng dao động
- Sóng do 1 nguồn
- Giao thoa sóng
- Sóng dừng
- Đại cương dòng điện xoay chiều
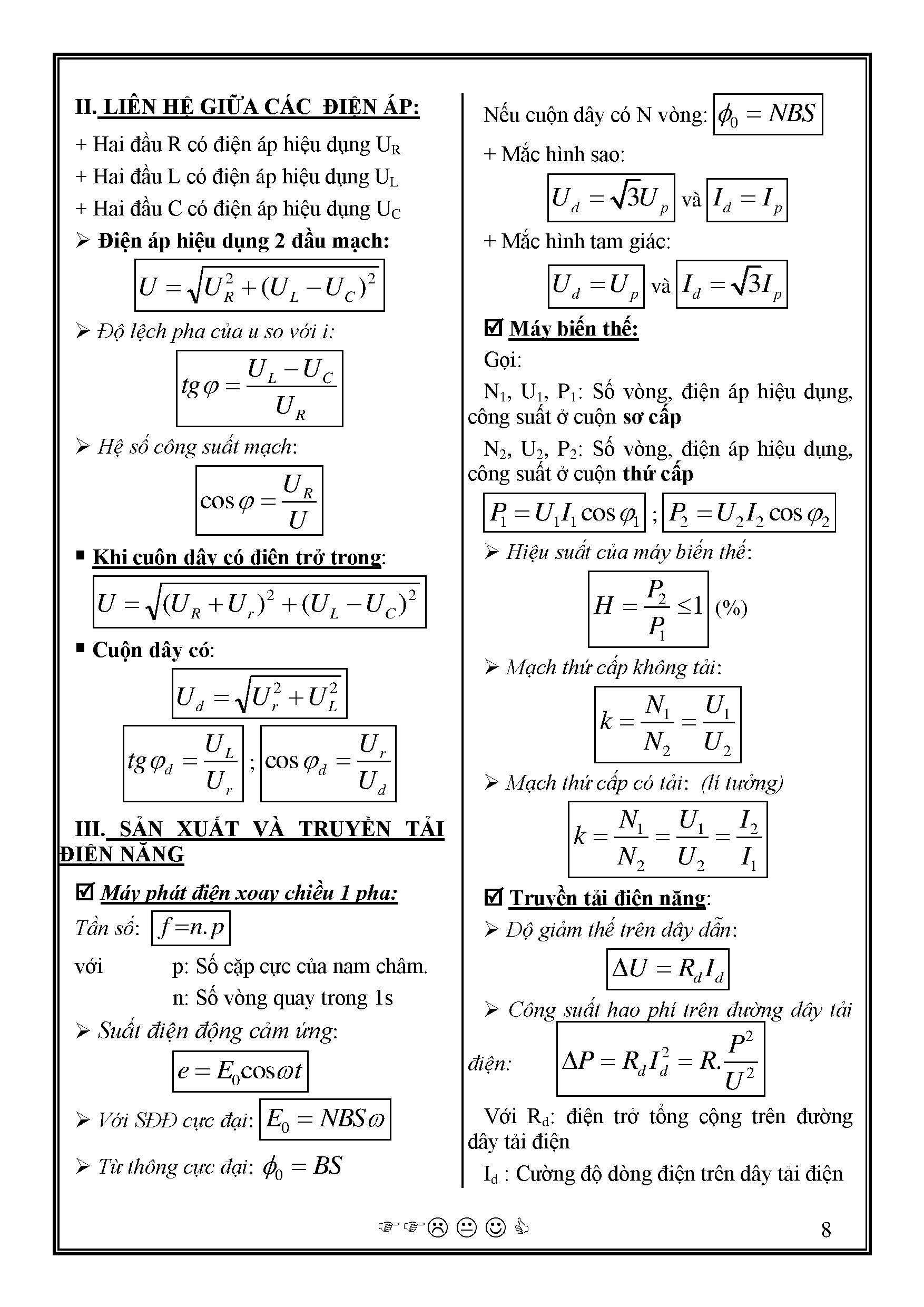
- Các công thức khi mạch điện: Chỉ có R, chỉ có C, chỉ có L
- Đoạn mạch R, L, C nối tiếng
- Đoạn mạch R, L, C cộng hưởng
- Công thức liên hệ giữa các điện áp
- Sản xuất và truyền tải điện năng
- Các công thức cơ bản
- Năng lượng mạch dao động
- Năng lượng điện từ
- Giao thoa với ánh sáng giao thoa
- Công thức khoảng cách giữa 2 vân x1 và x2
- Giao thoa với ánh sáng trắng
- Điều kiện để xảy ra hiện tượng quan điện
- Quang phổ nguyên tử Hidro
- Cấu tạo hạt nhân
- Phóng xạ
- Phản ứng hạt nhân
Đối với những em học sinh học đang gặp khó khăn trong việc tổng hợp và học các công thức Lí 12, các em học sinh có thể tham khảo khóa học: ôn tập lý 12
Cơ quan chủ quản: Công ty Cổ phần Đầu tư và Dịch vụ Giáo dục
MST: 0102183602 do Sở kế hoạch và Đầu tư thành phố Hà Nội cấp ngày 13 tháng 03 năm 2007
Địa chỉ:
- Văn phòng Hà Nội: Tầng 4, Tòa nhà 25T2, Đường Nguyễn Thị Thập, Phường Trung Hoà, Quận Cầu Giấy, Hà Nội.
- Văn phòng TP.HCM: Lầu 3, 51-53 Võ Văn Tần, phường Võ Thị Sáu, quận 3, Tp. Hồ Chí Minh.
Hotline: 19006933 – Email: hotro@hocmai.vn
Chịu trách nhiệm nội dung: Phạm Giang Linh
Giấy phép cung cấp dịch vụ mạng xã hội trực tuyến số 597/GP-BTTTT Bộ Thông tin và Truyền thông cấp ngày 30/12/2016.
- Ưu đãi 30% học phí PEN-I dành riêng cho bạn
- Thời gian: Chỉ đến hết 4/12/2015
Bạn đang đăng nhập. Vui lòng chờ trong giây lát.
Bạn cần ĐĂNG KÝ khóa học này để tham gia làm bài "Đánh giá năng lực"!