Danh mục tài liệu học tập
HOT

Tải APP để nhận nhiều khóa học bổ trợ miễn phí

Zalo OA Hocmai

Hãy "Đăng ký" kênh để xem bài giảng HOCMAI

VDC đồ thị hàm số - có hướng dẫn giải chi tiết

  • Số trang: 48
  • Lượt đọc: 5693
  • Lượt tải: 204
  • Tác giả: Sưu tầm
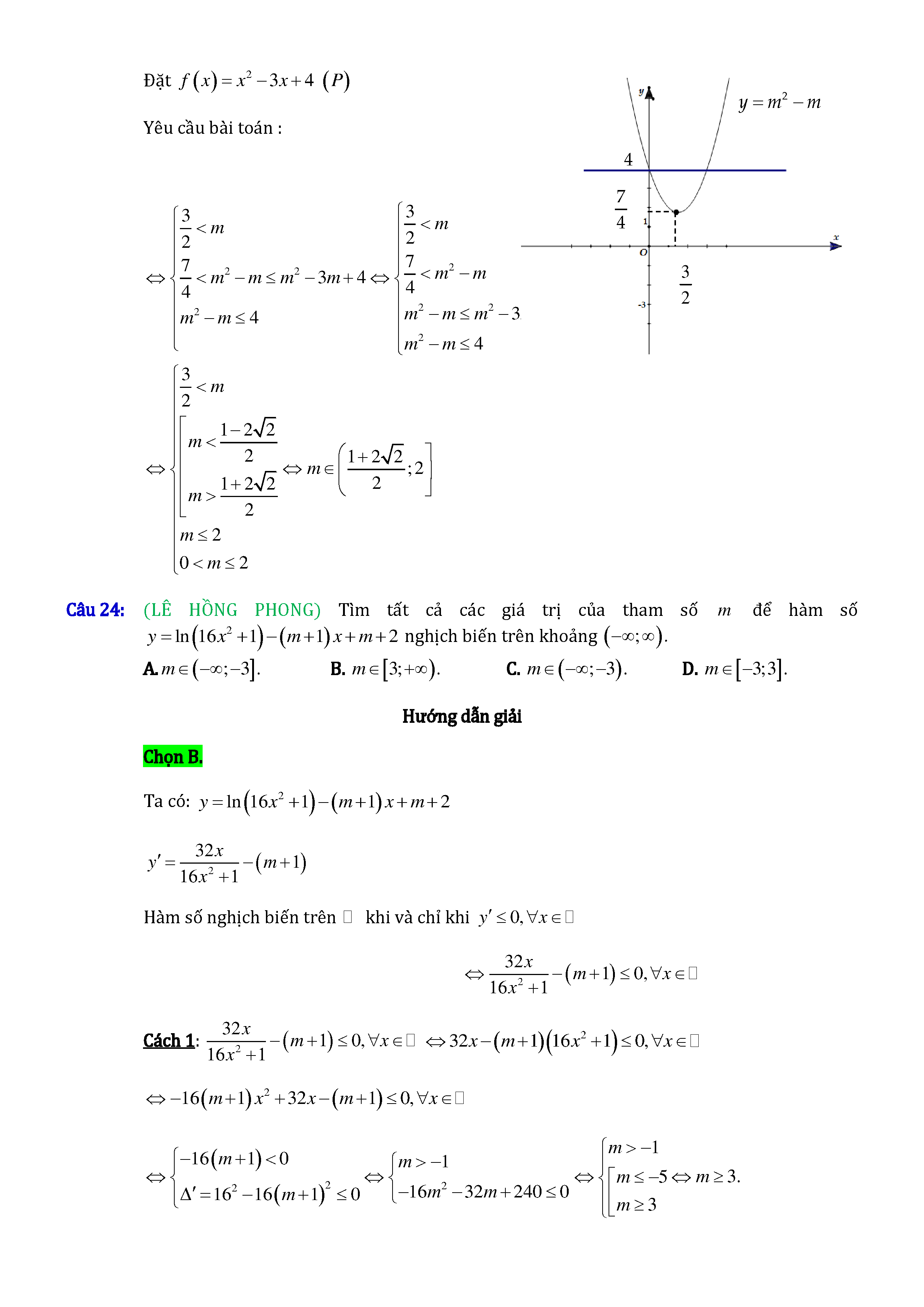
  • 21:59 07/12/2018