Danh mục tài liệu học tập
HOT

Tải APP để nhận nhiều khóa học bổ trợ miễn phí

Zalo OA Hocmai

Hãy "Đăng ký" kênh để xem bài giảng HOCMAI

Tổng hợp 52 đề THPT quốc gia 2018 có cấu trúc mới_ đề số 9 (có đáp án)

  • Số trang: 7
  • Lượt đọc: 513
  • Lượt tải: 19
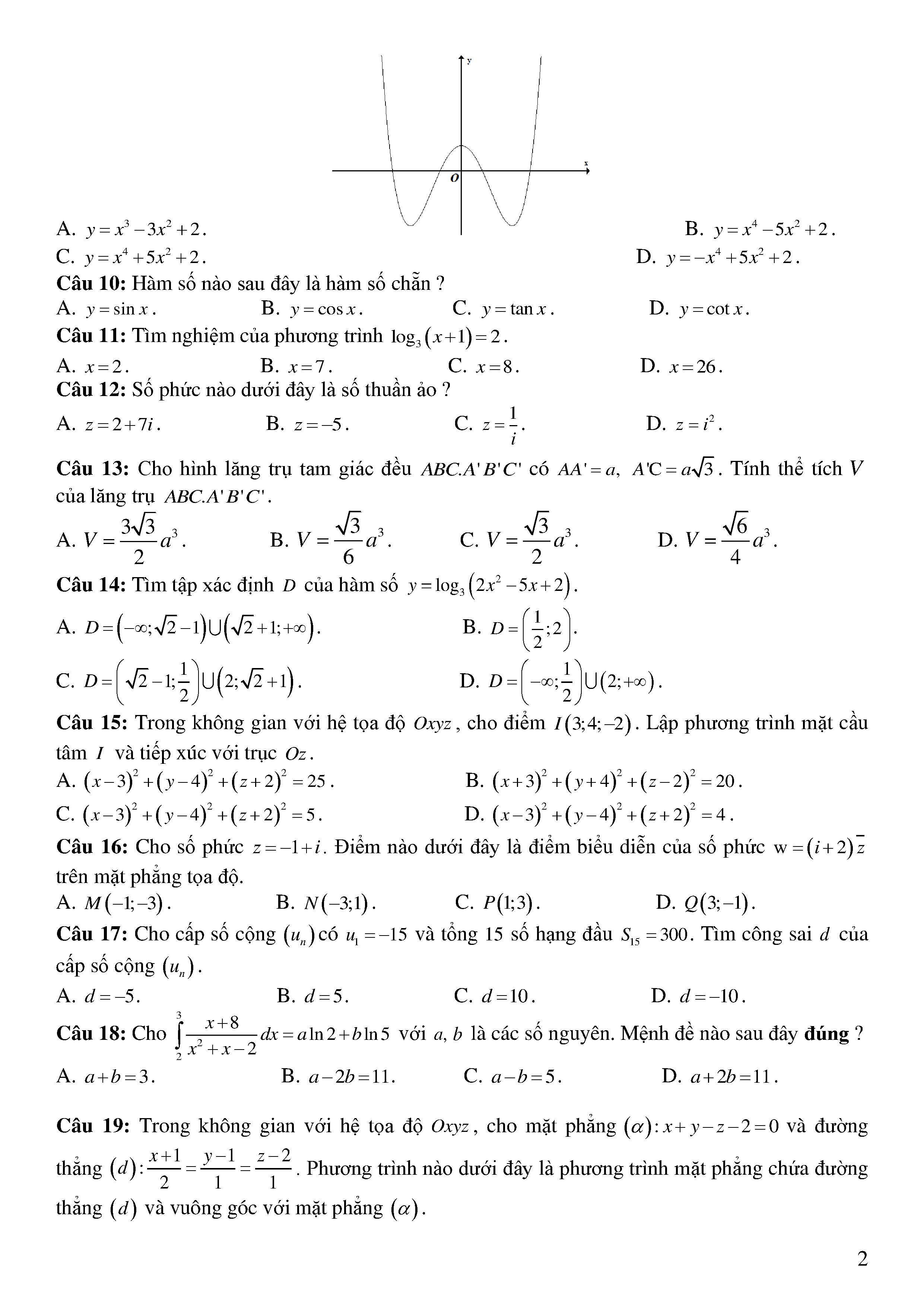
  • Tác giả: Sưu tầm
  • 11:00 15/01/2019
Tổng hợp 52 đề THPT quốc gia 2018 có cấu trúc mới_ đề số 8 (có đáp án)