Danh mục tài liệu học tập
HOT

Tải APP để nhận nhiều khóa học bổ trợ miễn phí

Zalo OA Hocmai

Hãy "Đăng ký" kênh để xem bài giảng HOCMAI

Bài Toán vận dụng cao về Khối tròn xoay

  • Số trang: 35
  • Lượt đọc: 7103
  • Lượt tải: 115
  • Tác giả: Sưu tầm
  • 11:46 15/01/2019
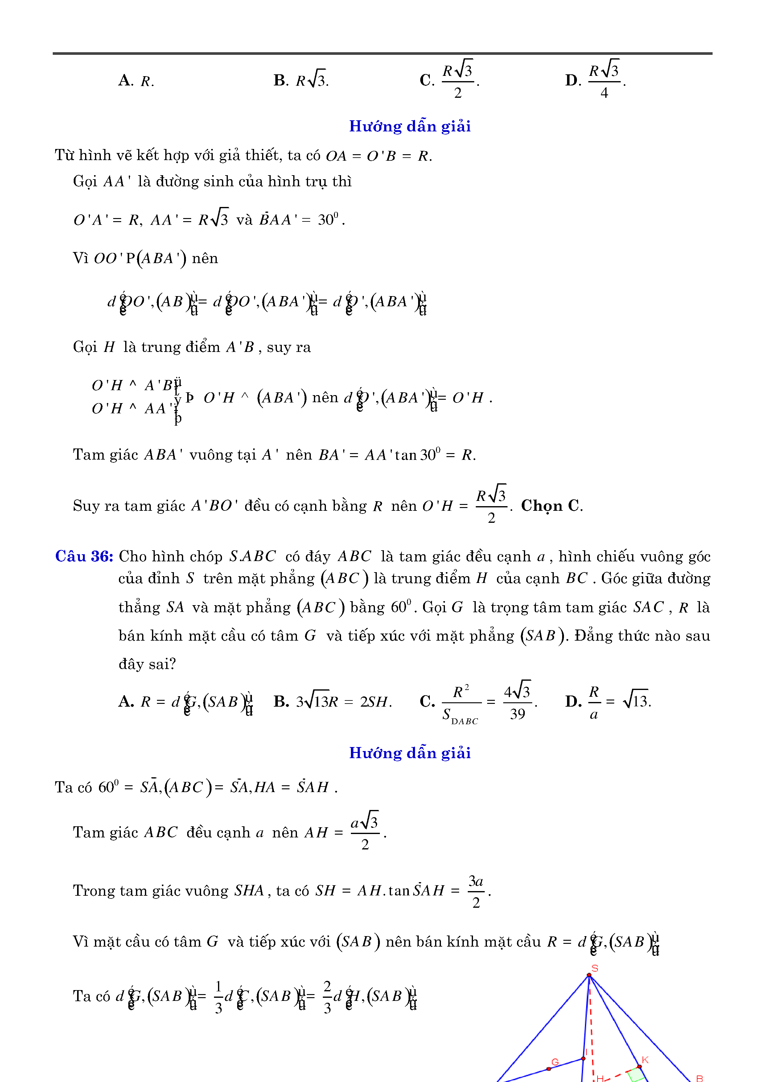
Bài Toán vận dụng cao về Khối tròn xoay