Danh mục tài liệu học tập
HOT

Tải APP để nhận nhiều khóa học bổ trợ miễn phí

Zalo OA Hocmai

Hãy "Đăng ký" kênh để xem bài giảng HOCMAI

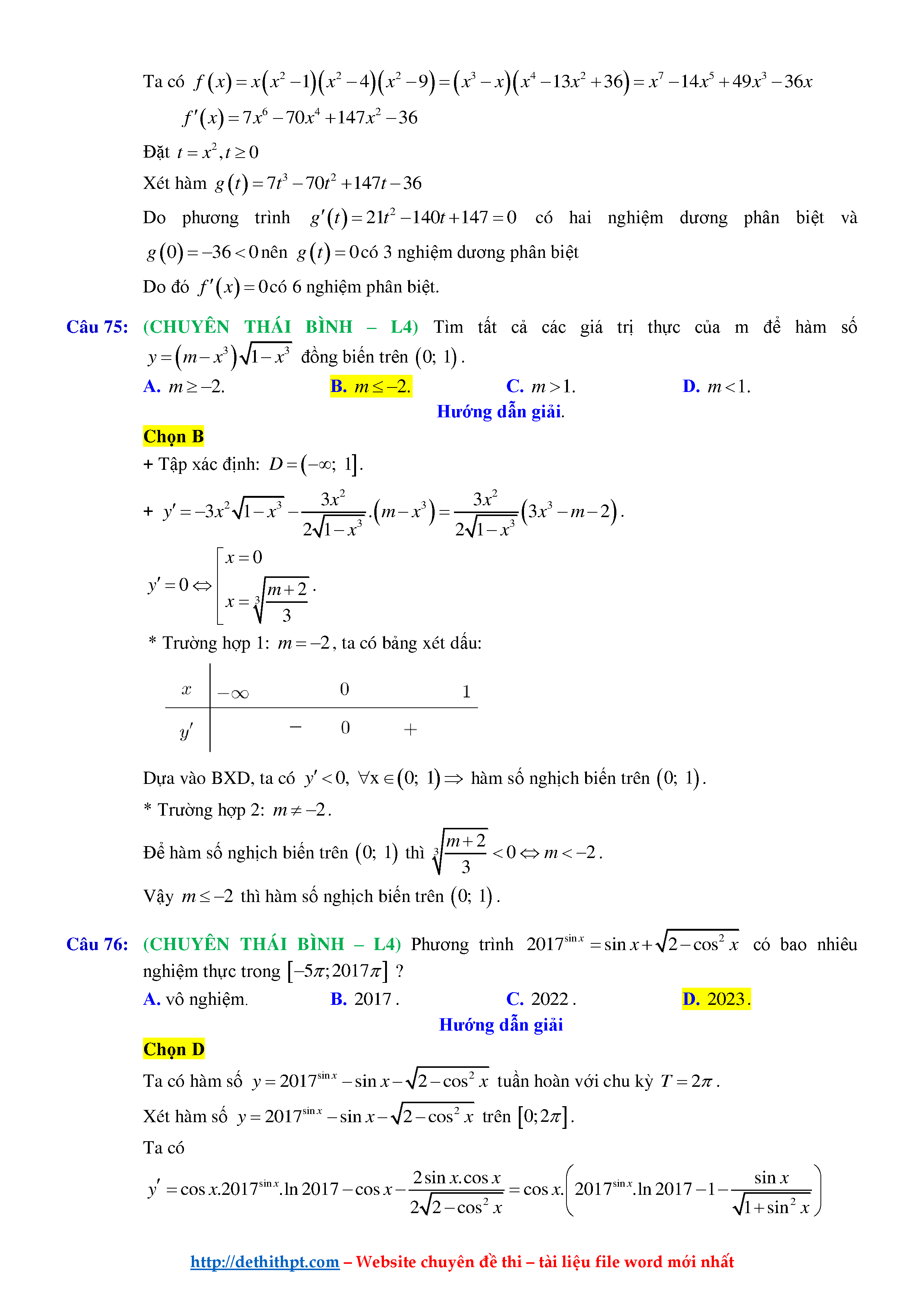
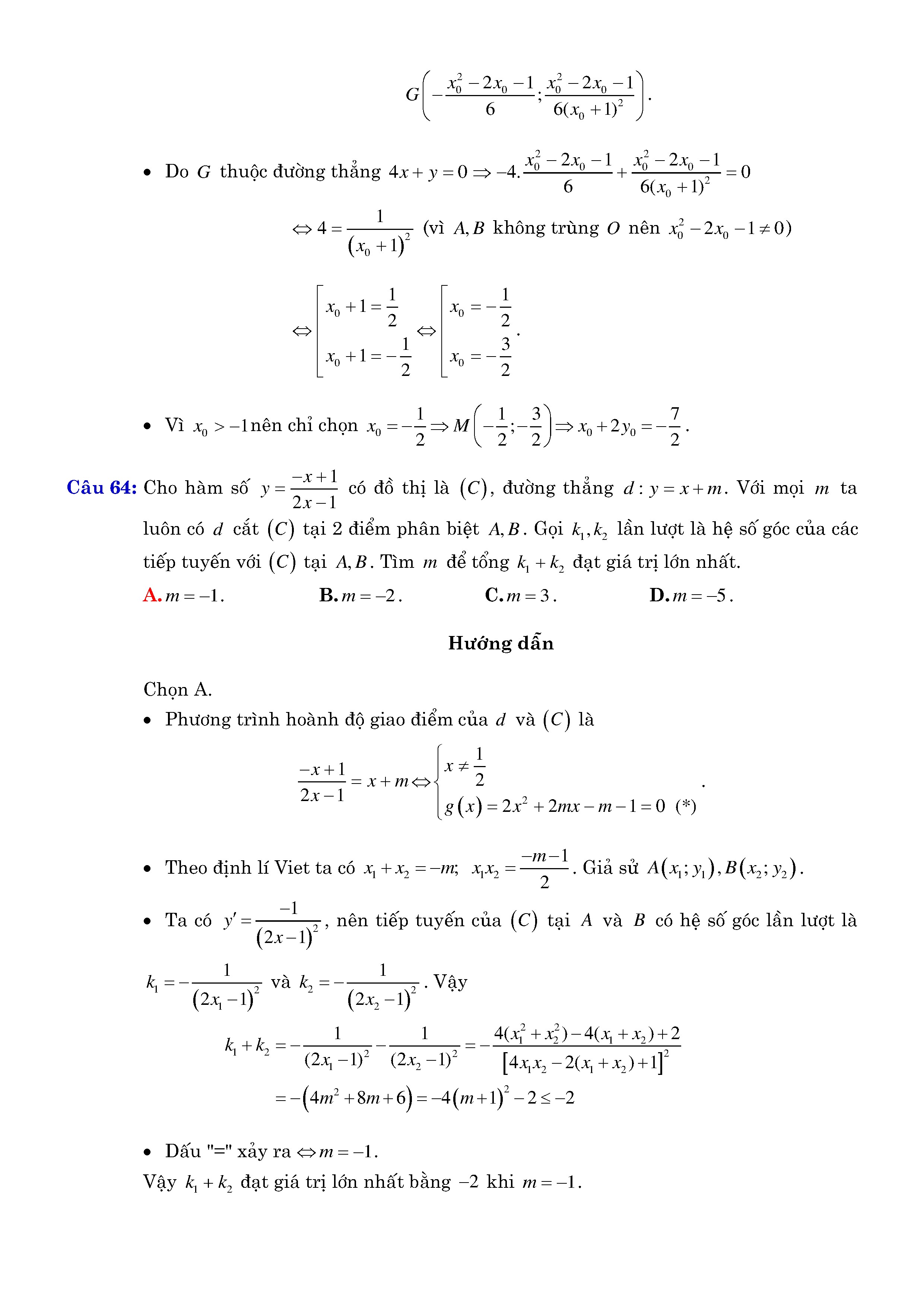
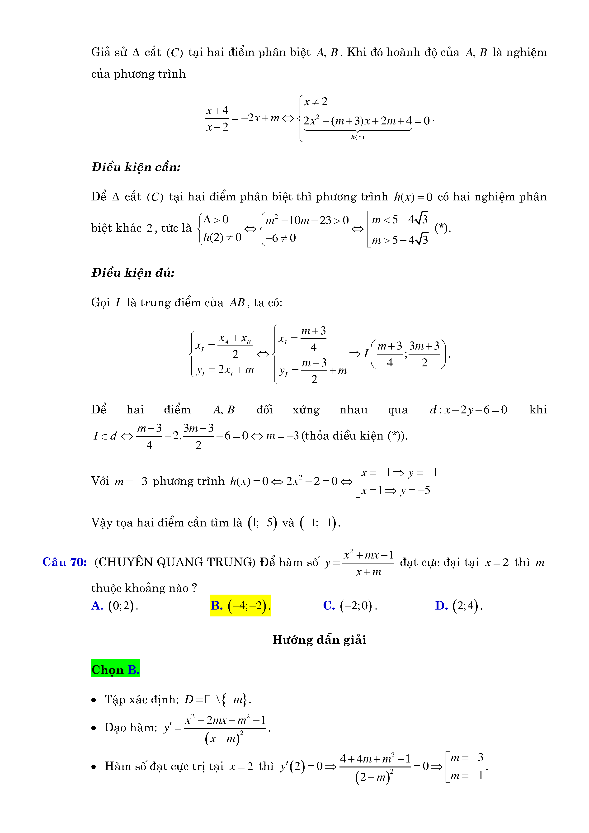
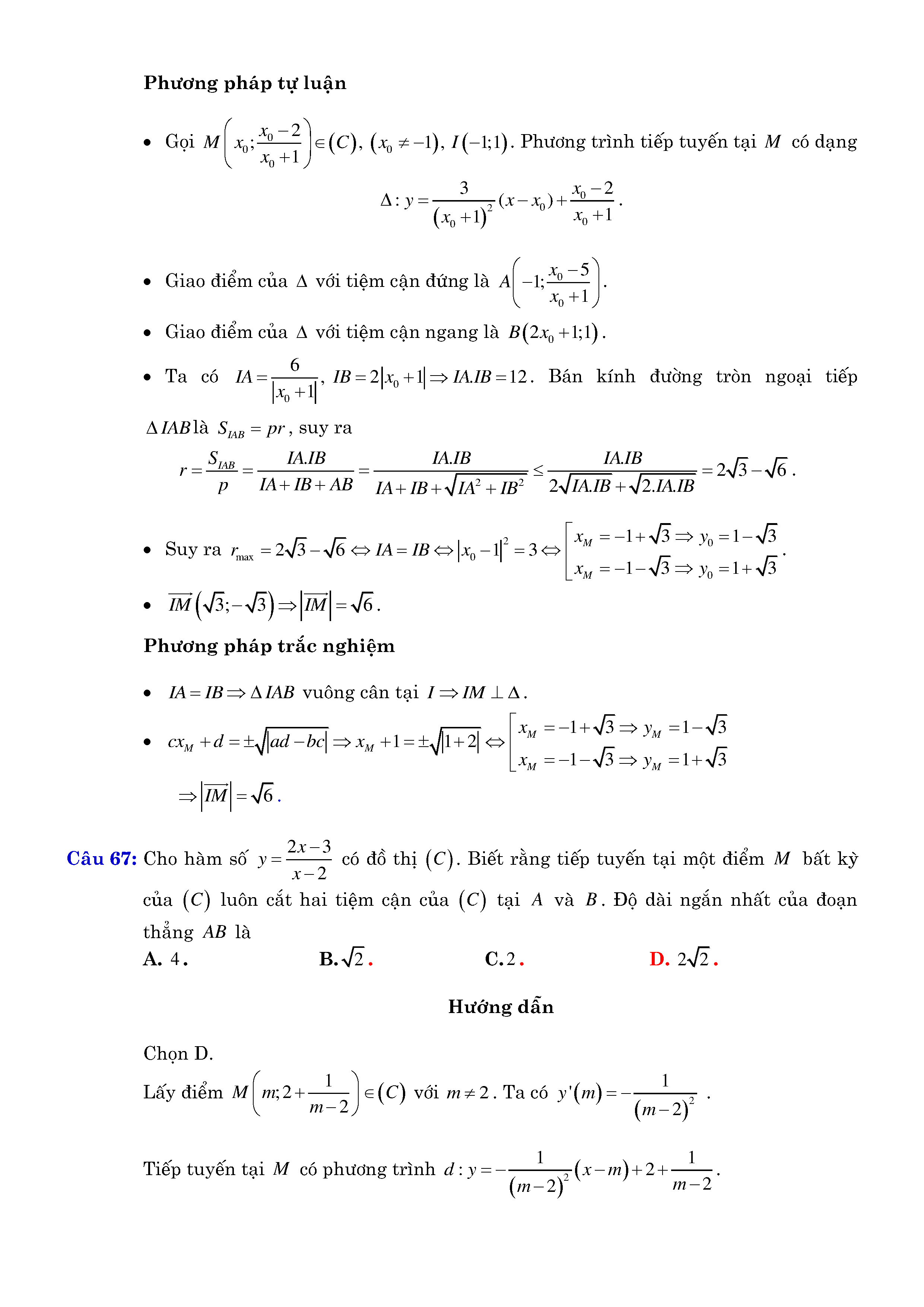
Bài tập vận dụng cao về Khảo sát hàm số & ứng dụng

  • Số trang: 50
  • Lượt đọc: 16381
  • Lượt tải: 412
  • Tác giả: Sưu tầm
  • 12:00 15/01/2019
Bài tập vận dụng cao về Khảo sát hàm số & ứng dụng