Danh mục tài liệu học tập
HOT

Tải APP để nhận nhiều khóa học bổ trợ miễn phí

Zalo OA Hocmai

Hãy "Đăng ký" kênh để xem bài giảng HOCMAI

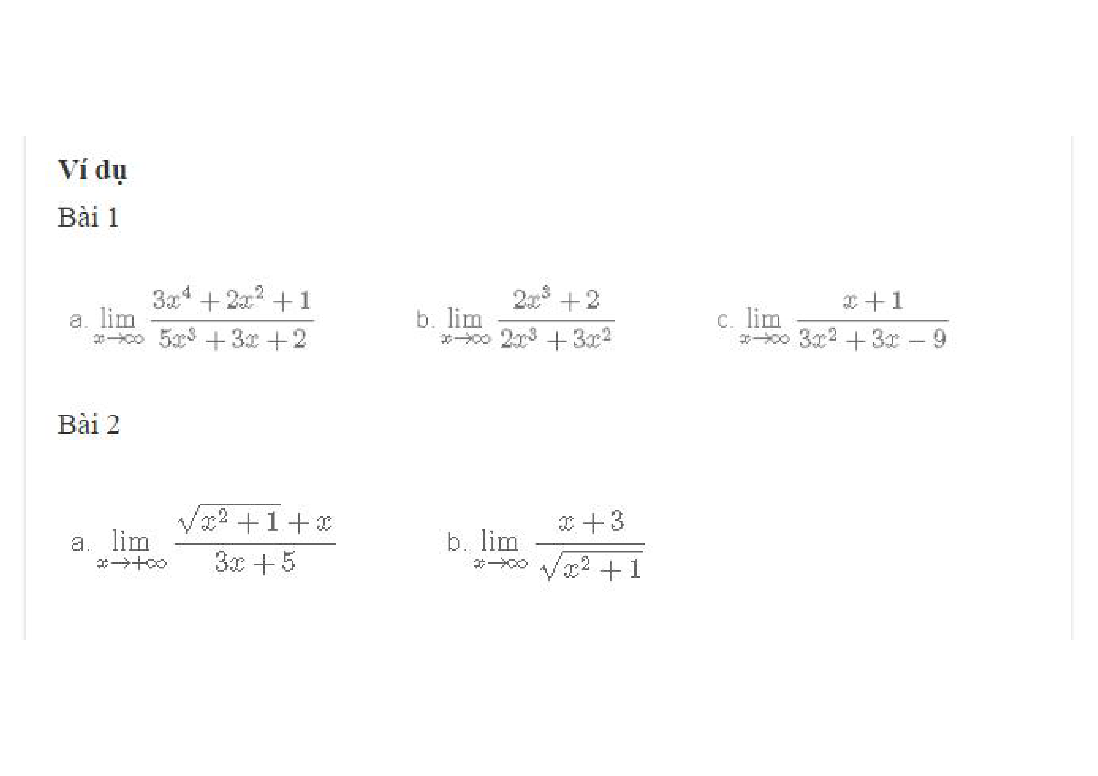
Hướng dẫn giải bài tập giới hạn hàm số lớp 11

  • Số trang: 10
  • Lượt đọc: 192974
  • Lượt tải: 1875
  • Tác giả: HOCMAI
  • 14:08 10/01/2017
Hướng dẫn giải bài tập giới hạn hàm số lớp 11