Danh mục tài liệu học tập
HOT

Tải APP để nhận nhiều khóa học bổ trợ miễn phí

Zalo OA Hocmai

Hãy "Đăng ký" kênh để xem bài giảng HOCMAI

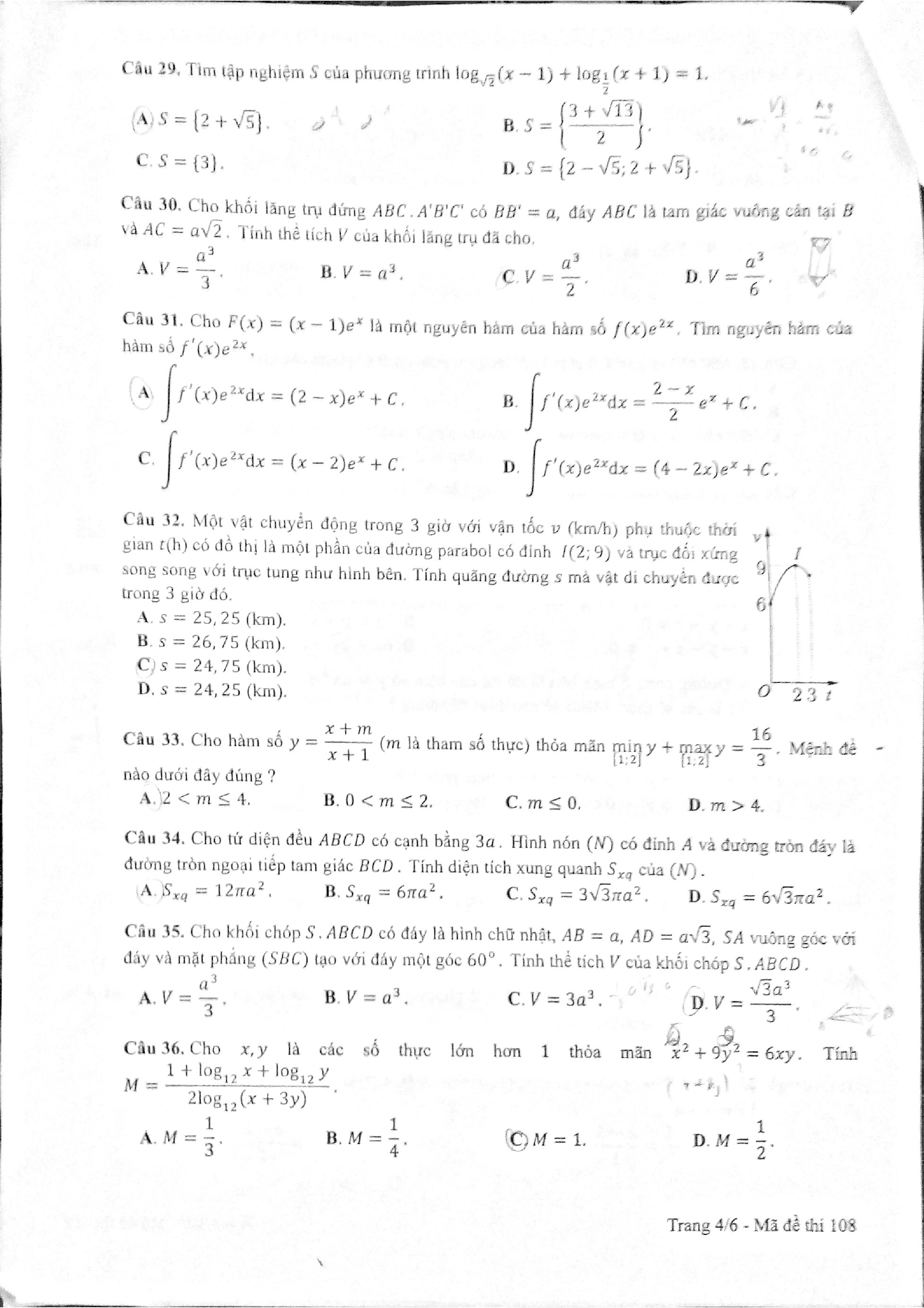
Đề thi THPT quốc gia môn Toán năm 2017 - mã đề 108

  • Số trang: 6
  • Lượt đọc: 779
  • Lượt tải: 19
  • Tác giả: Sưu tầm
  • 09:53 18/02/2019
Đề thi THPT quốc gia môn Toán năm 2017 - mã đề 108