Danh mục tài liệu học tập
HOT

Tải APP để nhận nhiều khóa học bổ trợ miễn phí

Zalo OA Hocmai

Hãy "Đăng ký" kênh để xem bài giảng HOCMAI

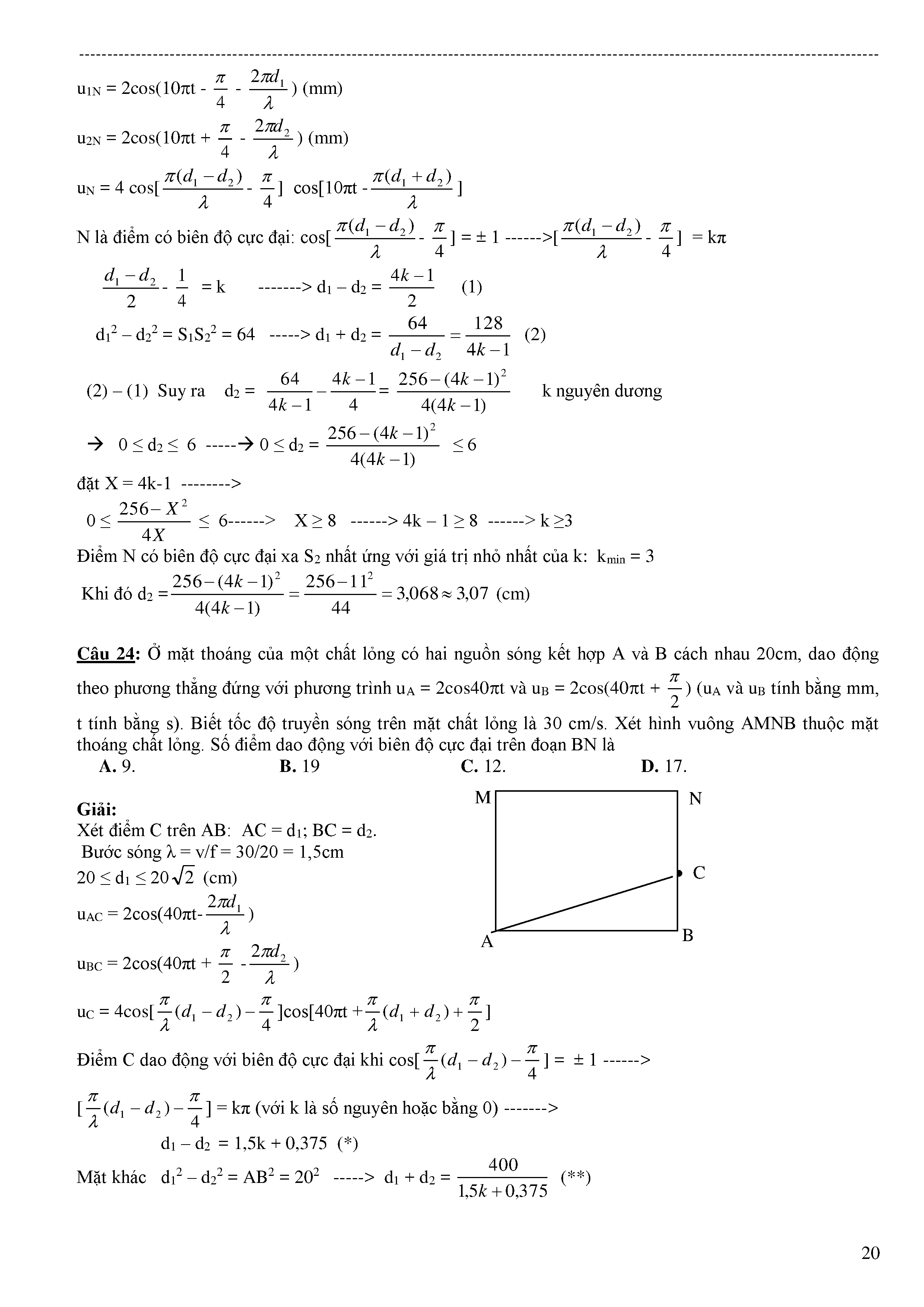
Tuyển tập các dạng bài tập hay và khó chương sóng cơ - có lời giải chi tiết

  • Số trang: 33
  • Lượt đọc: 15873
  • Lượt tải: 926
  • Tác giả: Sưu tầm
  • 19:21 24/02/2019