Danh mục tài liệu học tập
HOT

Tải APP để nhận nhiều khóa học bổ trợ miễn phí

Zalo OA Hocmai

Hãy "Đăng ký" kênh để xem bài giảng HOCMAI

Phân dạng và bài tập trắc nghiệm chuyên đề Hàm số

  • Số trang: 47
  • Lượt đọc: 4772
  • Lượt tải: 228
  • Tác giả: Sưu tầm
  • 08:37 24/08/2018
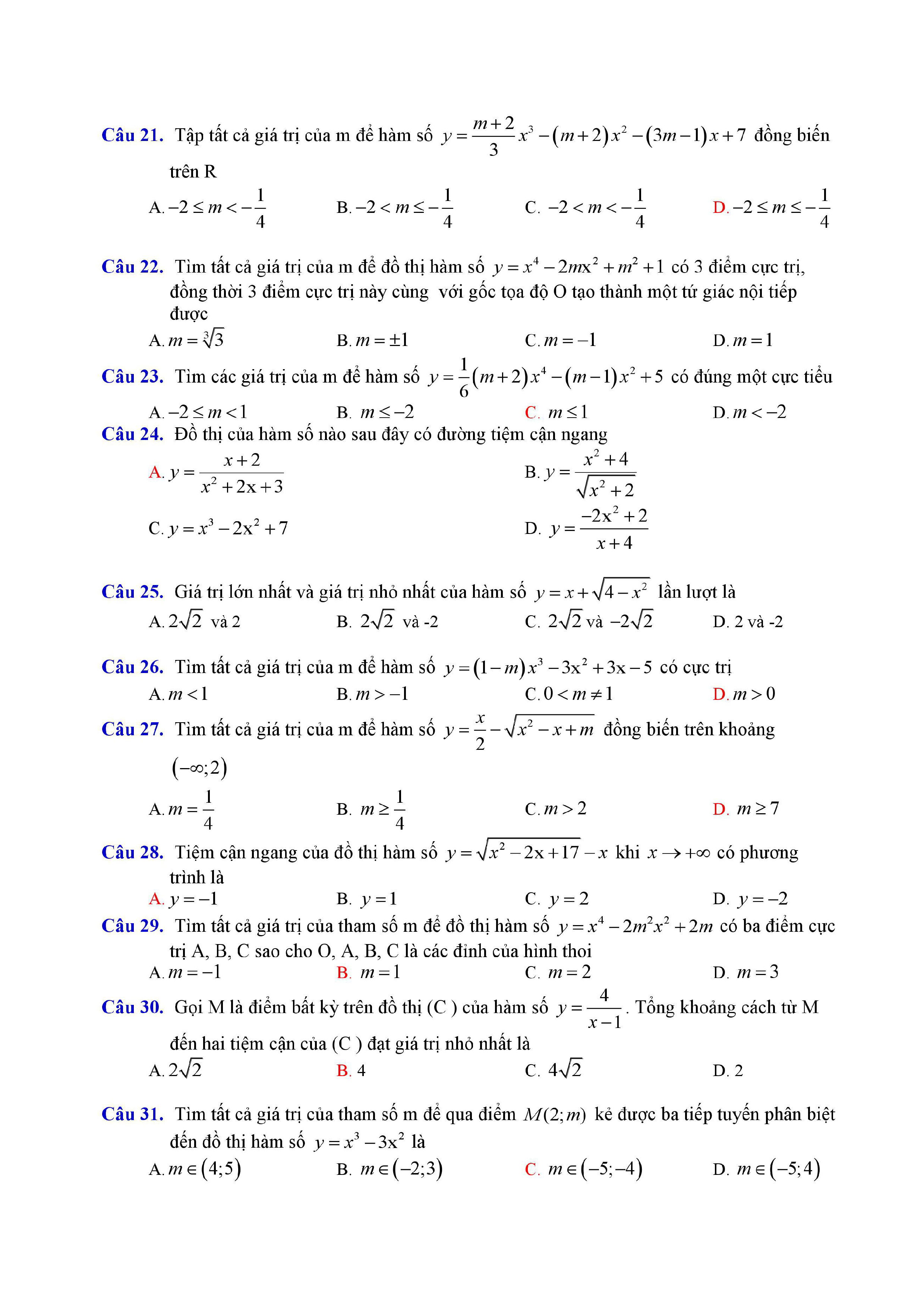
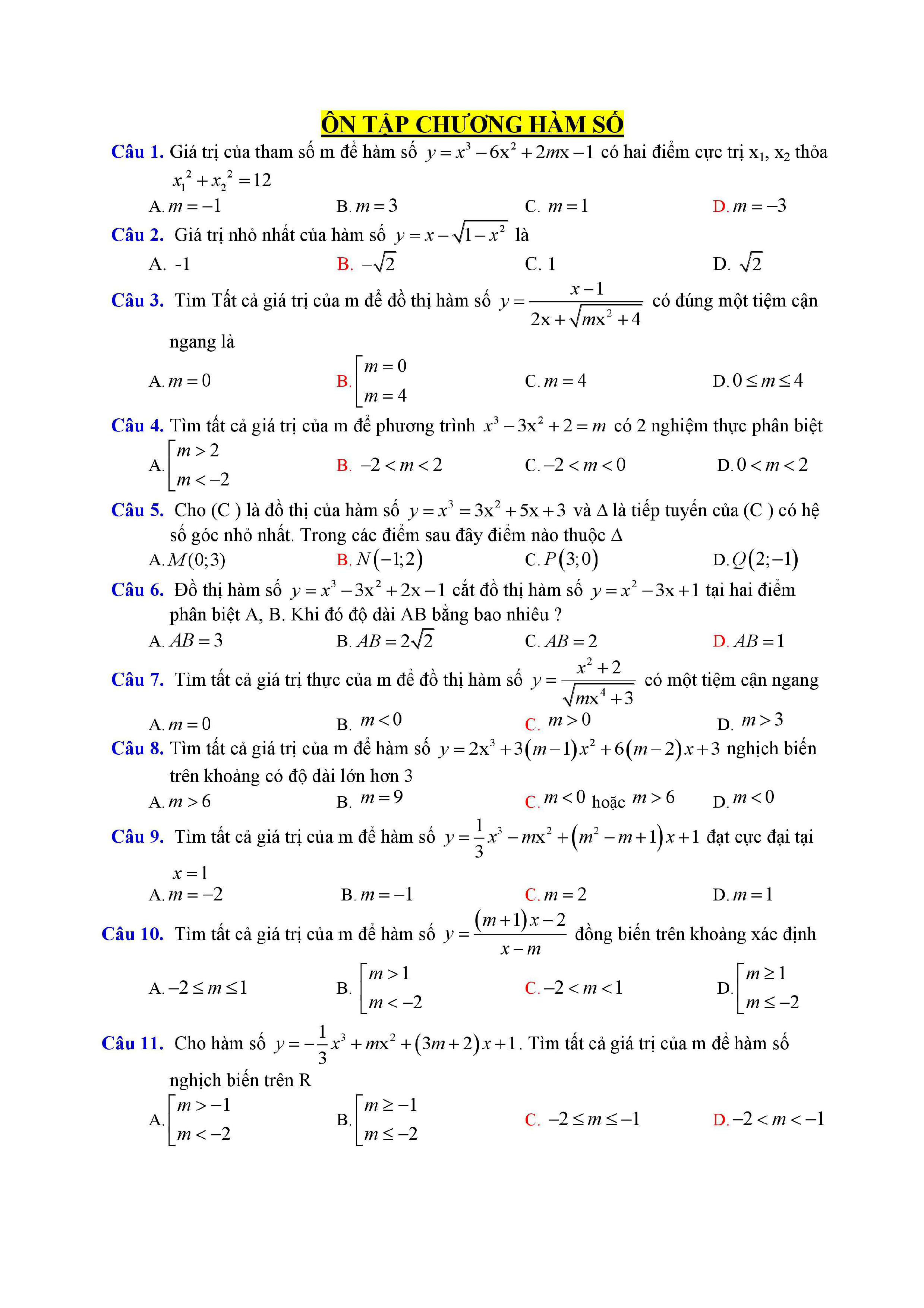
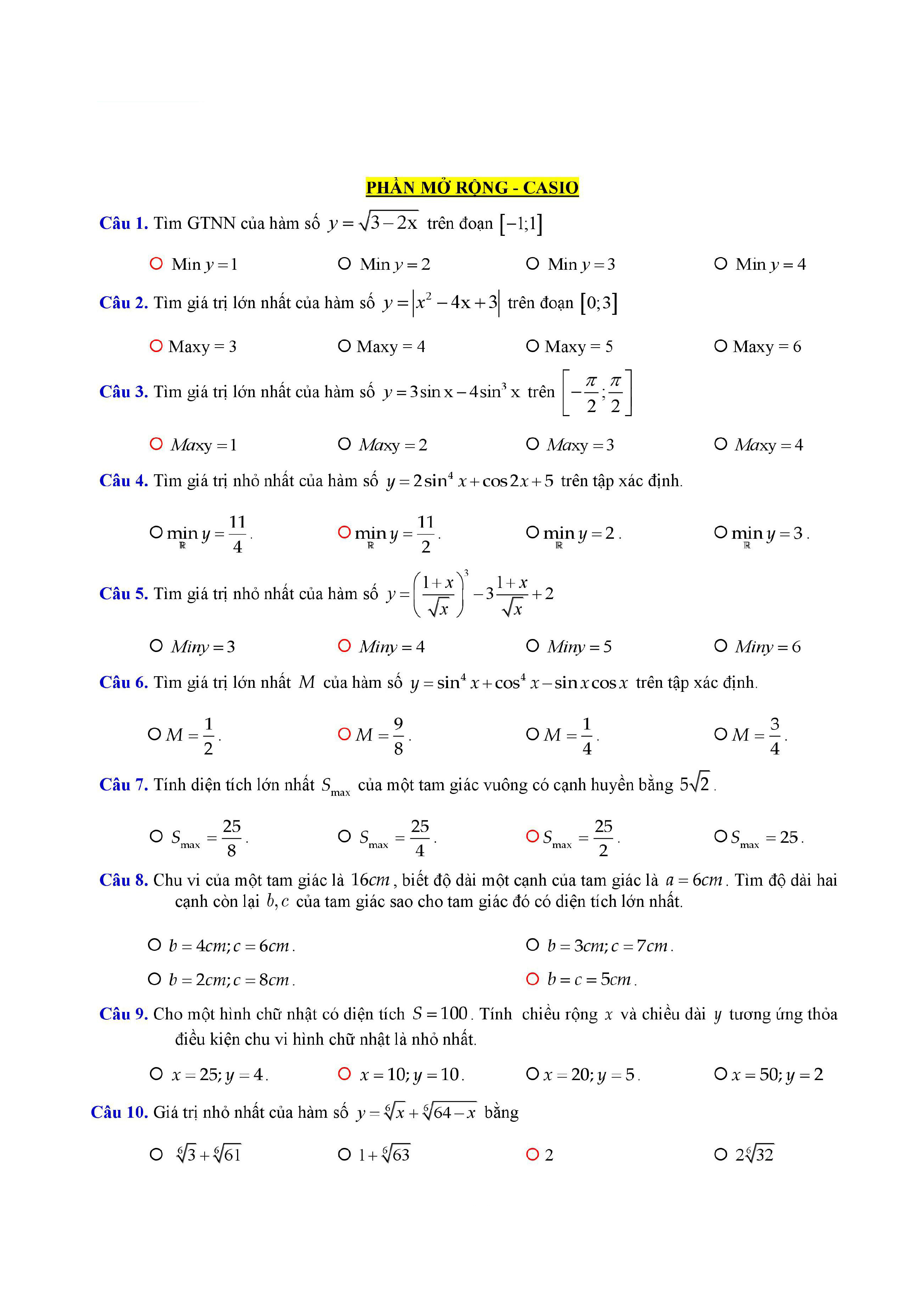
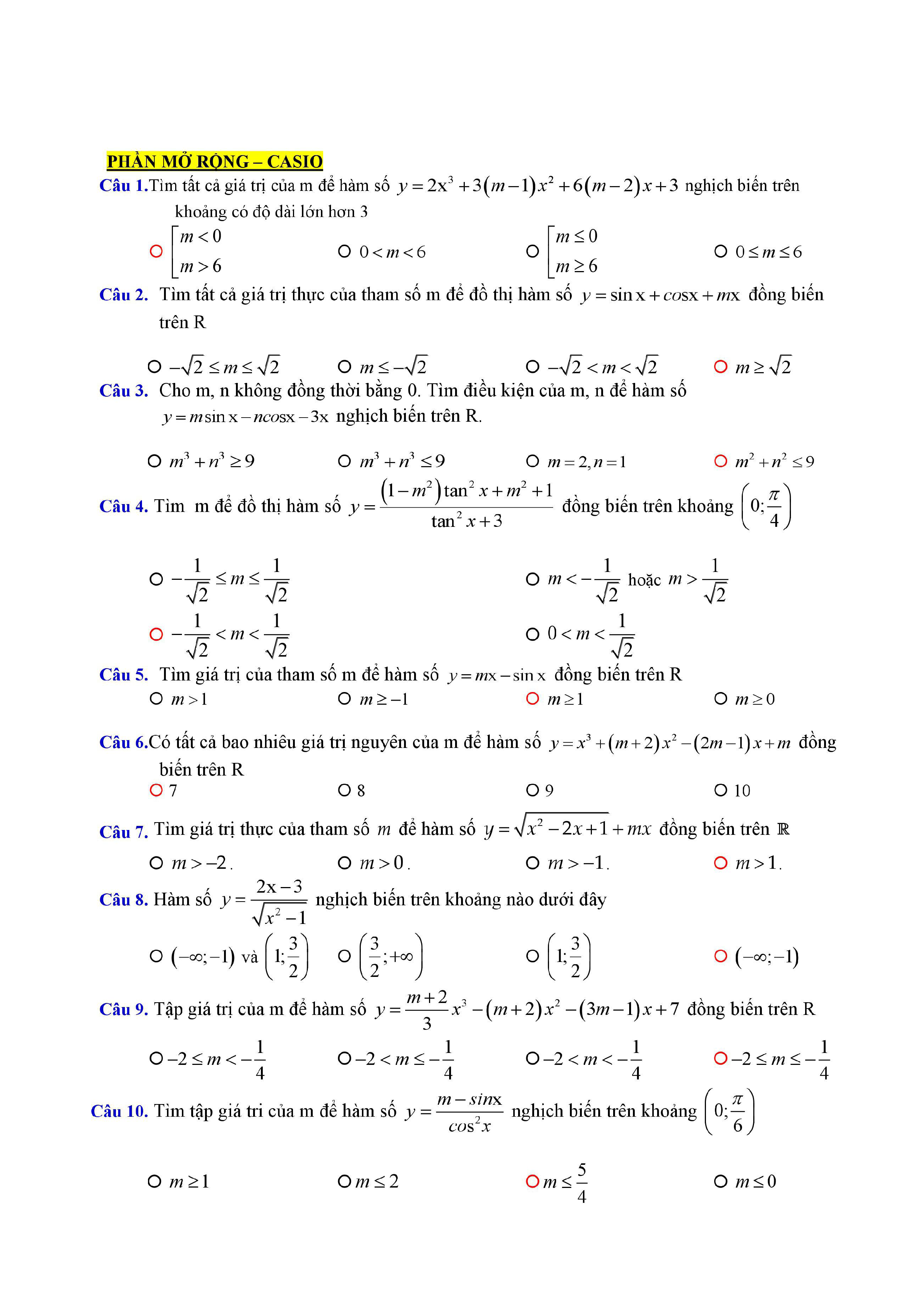
PHÂN DẠNG VÀ BÀI TẬP TRẮC NGHIỆM CHUYÊN ĐỀ HÀM SỐ