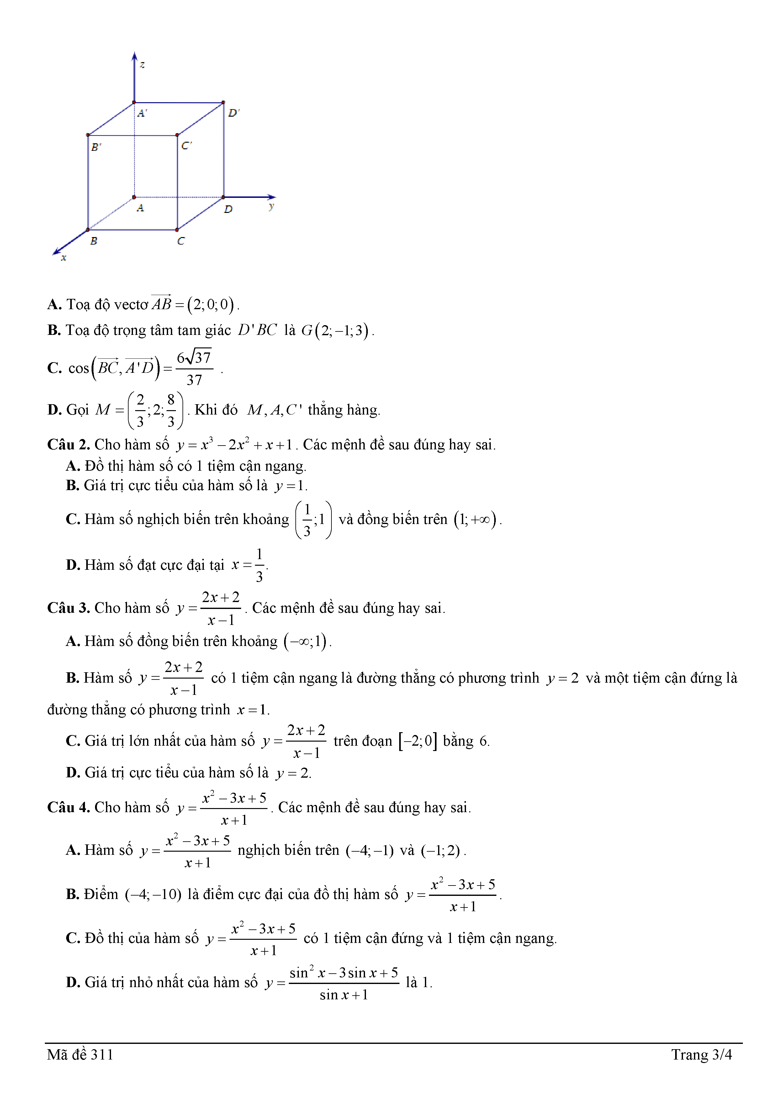
Danh mục tài liệu học tập
HOT

Tải APP để nhận nhiều khóa học bổ trợ miễn phí

Zalo OA Hocmai

Hãy "Đăng ký" kênh để xem bài giảng HOCMAI

Đề giữa học kỳ 1 Toán 12 năm 2025 – 2026 trường THPT Huỳnh Thúc Kháng – Nghệ An kèm đáp án

  • Số trang: 11
  • Lượt đọc: 2271
  • Lượt tải: 30
  • Tác giả: Sưu tầm
  • 16:16 08/11/2025