Học Mãi cung cấp tài liệu trọn bộ các công thức sinh học 12 giúp các em học sinh dễ dàng tổng hợp kiến thức một cách khoa học, ngắn gọn phục vụ quá trình ôn thi tốt nghiệp THPT môn Sinh học.
1. Tính số nucleotit của AND hoặc của gen
- Đối với mỗi mạch của gen
- Đối với cả 2 mạch
- Tổng số nu của ADN
- Tính số chu kỳ xoắn
- Tính khối lượng phân tử ADN
- Tính chiều dài của phân tử ADN
2. Tính số liên kết Hidro và liên kết hóa trị Đ-P
- Công thức tính số liên kết Hidro
- Công thức tính số liên kết hóa trị
1. Công thức tính số Nucleotit tự do cần dùng
- Tính số Nucleotit qua 1 lần tự nhân đôi
- Công thức tính số Nucleotit qua nhiều lần tự nhân đôi
2. Tính số liên kết Hidro, hóa trị Đ-P được hình thành hoặc bị phá vỡ
- Qua 1 đợt tự nhân đôi
- Qua nhiều đợt tự nhân đôi
3. Tính thời gian sao mã
Đăng ký ngay khóa học: Học tốt sinh học 12 để được các thầy cô tổng hợp kiến thức một cách khoa học, ngắn gọn và dễ hiểu nhất.
1. Công thức tính số Ribonucleotit của ARN
2. Công thức tính khối lượng ARN (mARN)
3. Công thức tính chiều dài và số liên kết hóa trị Đ-P của ARN
- Công thức tính chiều dài
- Công thức tính số liên kết hóa trị Đ-P
1. Công thức tính Ribonucleotit tự do cần dùng
- Công thức tính Ribonucleotit tự do cần dùng qua 1 lần sao mã
- Công thức tính Ribonucleotit tự do cần dùng qua nhiều lần sao mã
2. Tính số liên kết hidro và liên kết hóa trị Đ- P
- Qua 1 lần sao mã
- Qua nhiều lần sao mã
3. Công thức tính thời gian sao mã
- Tốc độ sao mã
- Thời gian sao mã
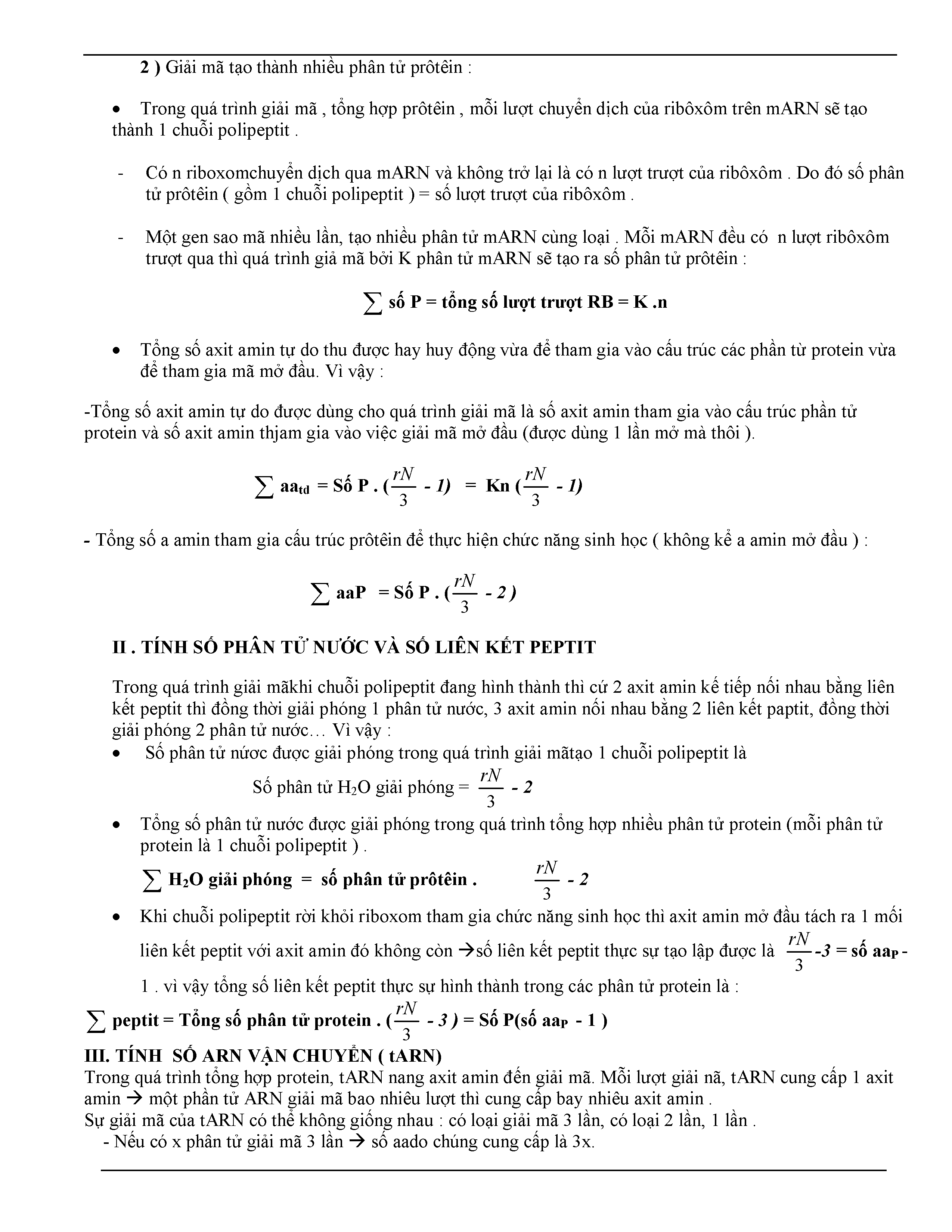
1. Tính số bộ ba mật mã - số axit amin
2. Số liên kết peptit
3. Tính số cách mã hóa của ARN và số cách sắp đặt A Amin trong chuỗi Polipeptit
1. Công thức tính số Axit Amin cần dùng
2. Công thức tính số phần tử nước và số liên kết Peptit
3. Tính số ARN vận chuyển
4. Sự dịch chuyển Riboxom trên ARN thông tin
5. Tính số Axit Amin tự do cần dùng đối với các Riboxom còn tiếp xúc với mARN
1. Lai giữa một cặp tính trạng
2. Lai giữa 2 cặp tính trạng
3 Di truyền liên kết
Các em học sinh đang trong giai đoạn cuối cấp có thể tham khảo khóa học: ôn sinh thi đại học
Cơ quan chủ quản: Công ty Cổ phần Đầu tư và Dịch vụ Giáo dục
MST: 0102183602 do Sở kế hoạch và Đầu tư thành phố Hà Nội cấp ngày 13 tháng 03 năm 2007
Địa chỉ:
- Văn phòng Hà Nội: Tầng 4, Tòa nhà 25T2, Đường Nguyễn Thị Thập, Phường Trung Hoà, Quận Cầu Giấy, Hà Nội.
- Văn phòng TP.HCM: Lầu 3, 51-53 Võ Văn Tần, phường Võ Thị Sáu, quận 3, Tp. Hồ Chí Minh.
Hotline: 19006933 – Email: hotro@hocmai.vn
Chịu trách nhiệm nội dung: Phạm Giang Linh
Giấy phép cung cấp dịch vụ mạng xã hội trực tuyến số 597/GP-BTTTT Bộ Thông tin và Truyền thông cấp ngày 30/12/2016.
- Ưu đãi 30% học phí PEN-I dành riêng cho bạn
- Thời gian: Chỉ đến hết 4/12/2015
Bạn đang đăng nhập. Vui lòng chờ trong giây lát.
Bạn cần ĐĂNG KÝ khóa học này để tham gia làm bài "Đánh giá năng lực"!