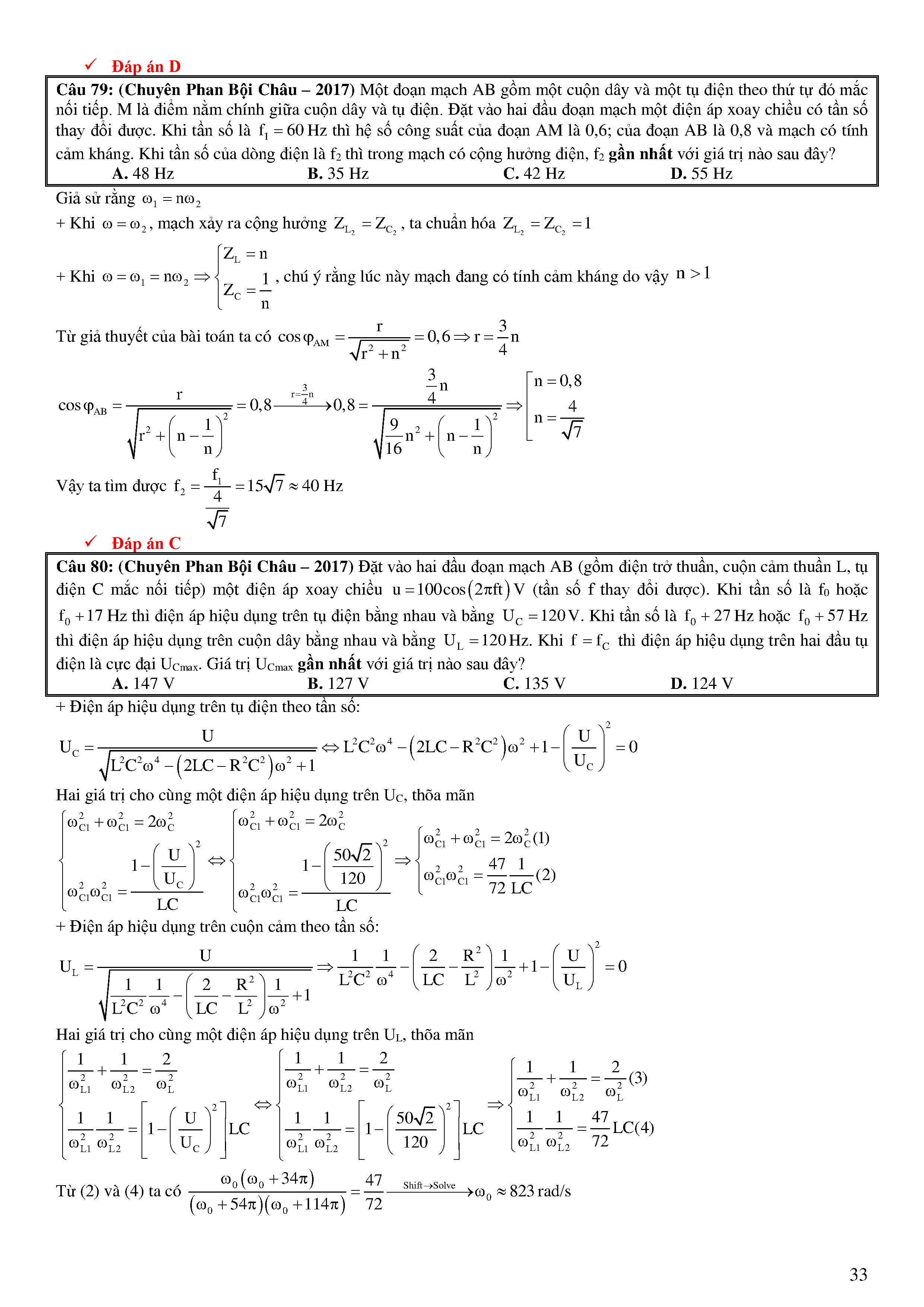
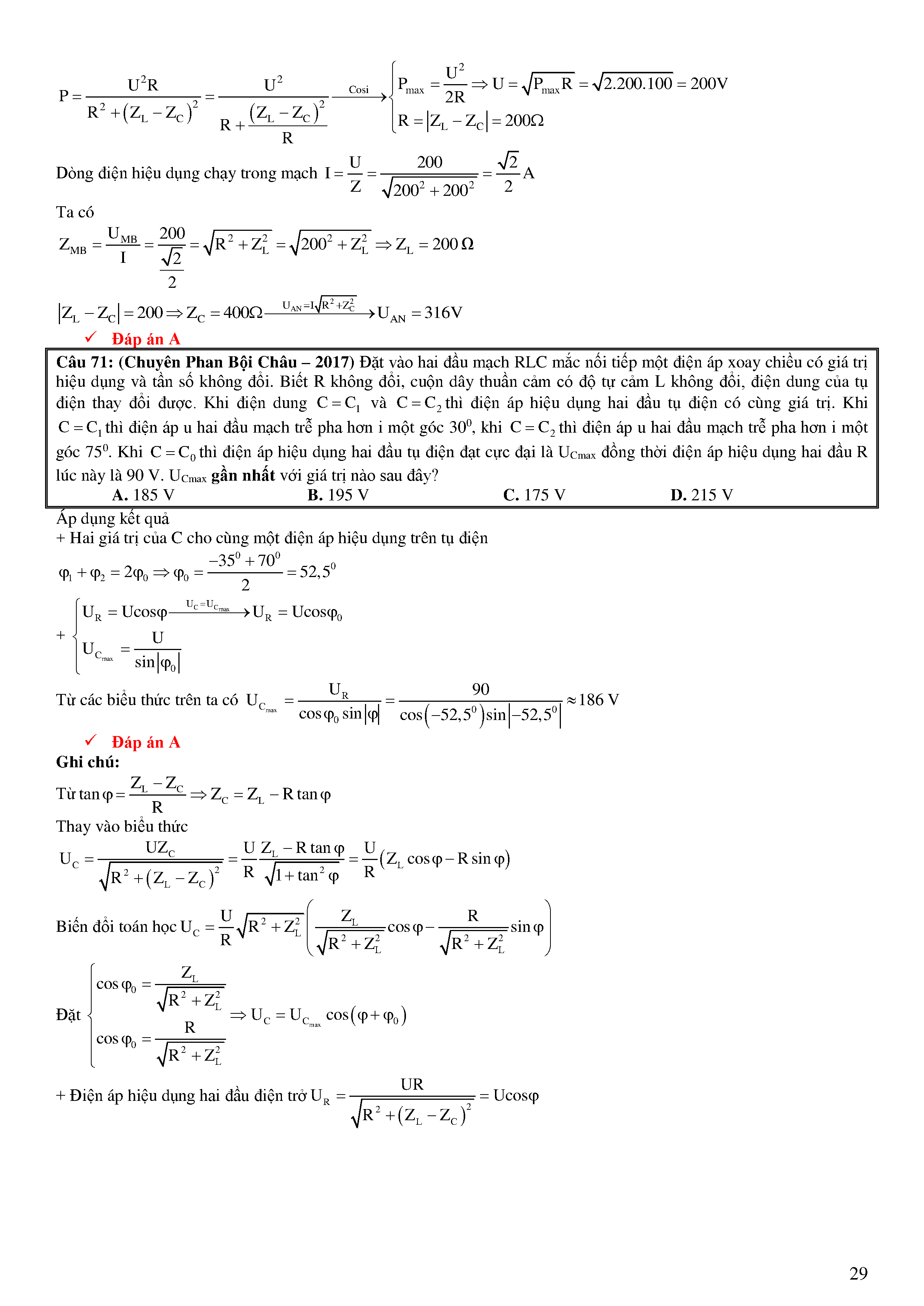
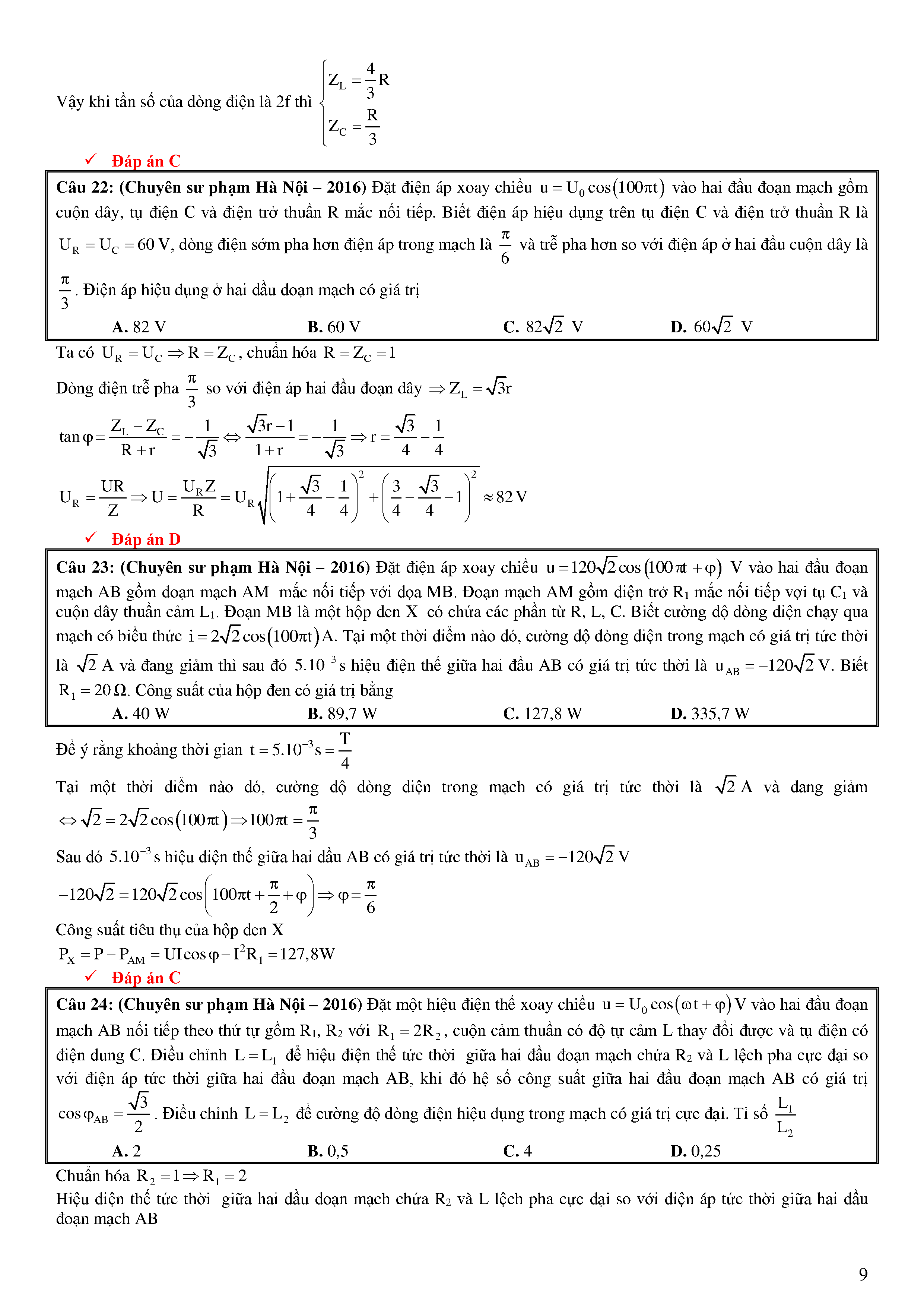
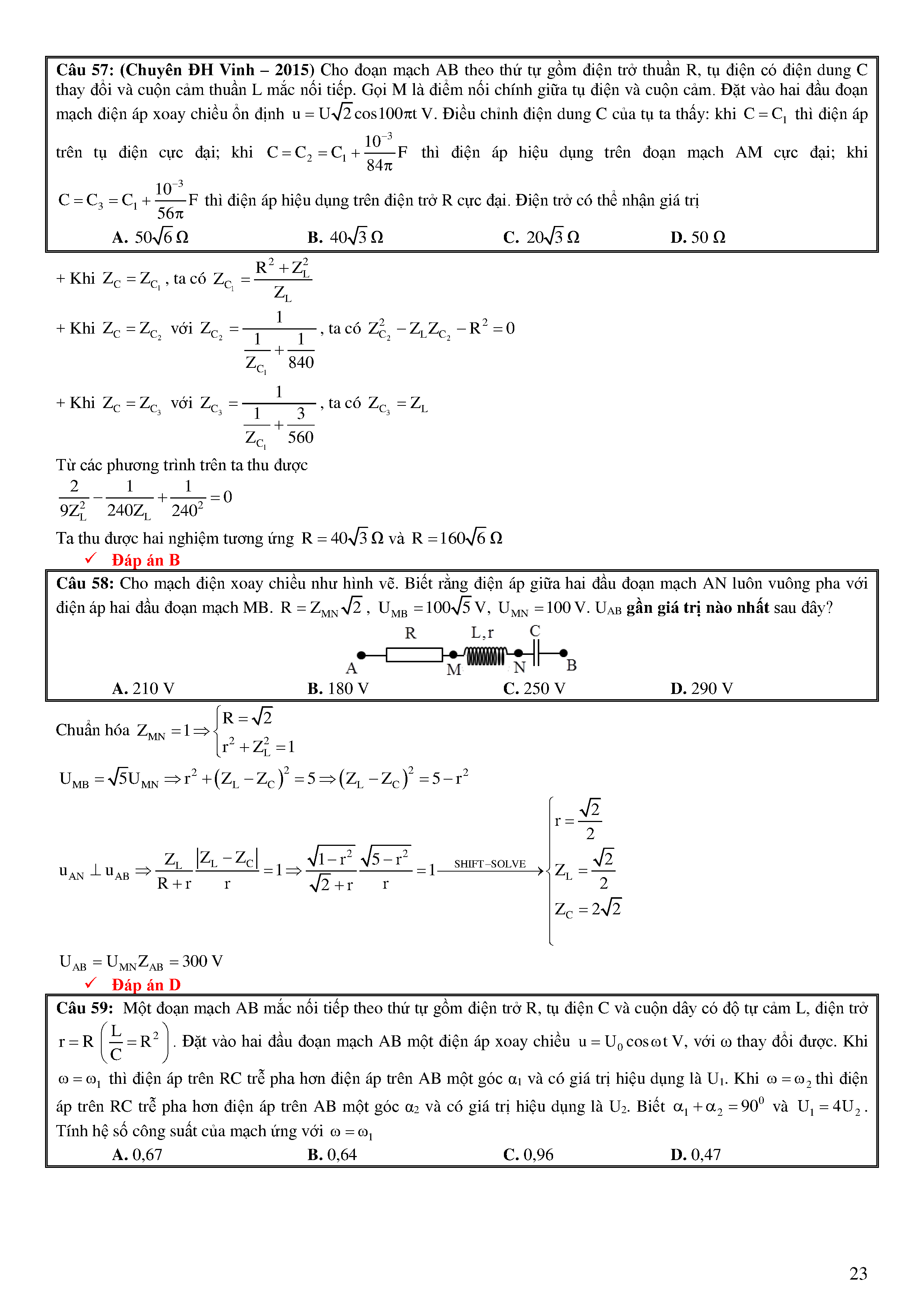
Học Mãi chia sẻ bài tập nâng cao dòng điện xoay chiều, giúp các bạn học sinh có thể tập trung rèn luyện kỹ năng và tăng phản xạ làm các dạng bài khó, các dạng bài "thang điểm 9,10" trong bài thi. Bên cạnh đó, bộ câu hỏi còn giúp các em học sinh ôn tập lại các lý thuyết lý 12 ôn thi đại học một cách tốt nhất khi phải vận dụng và kết hợp các kiến thức đã học để có thể đưa ra phương án giải bài tập.
Các câu hỏi bài tập dòng điện xoay chiều nâng cao được Học Mãi chia sẻ đều được sưu tầm từ các đề thi của các trường chuyên trên cả nước các năm như: Trường Chuyên Lê Quý Đôn, trường Chuyên Sư Phạm Hà Nội, Chuyên KHTN Hà Nội, Chuyên ĐH Vinh,.... kèm theo lời giải chi tiết giúp các em học sinh trau dồi nhiều kỹ năng và phương hướng làm bài khác nhau sao cho hiệu quả và tiết kiệm thời gian nhất.
Ngoài ra, đối với các em học sinh đang gặp khó khăn trong việc ôn tập lý thuyết và các dạng bài tập, các em có thể tham khảo thêm khóa học:
+ Khóa học tổng hợp kiến thức Ôn tập Lý 12: Tại đây
+ Khóa học tập trung ôn thi đại học môn Lý: Tại đây
Một số bài viết các em có thể tham khảo thêm:
Đại cương về dòng điện xoay chiều
Bài tập cơ bản về dòng điện xoay chiều
240 câu hỏi tinh túy chương sóng cơ
Cơ quan chủ quản: Công ty Cổ phần Đầu tư và Dịch vụ Giáo dục
MST: 0102183602 do Sở kế hoạch và Đầu tư thành phố Hà Nội cấp ngày 13 tháng 03 năm 2007
Địa chỉ:
- Văn phòng Hà Nội: Tầng 4, Tòa nhà 25T2, Đường Nguyễn Thị Thập, Phường Trung Hoà, Quận Cầu Giấy, Hà Nội.
- Văn phòng TP.HCM: Lầu 3, 51-53 Võ Văn Tần, phường Võ Thị Sáu, quận 3, Tp. Hồ Chí Minh.
Hotline: 19006933 – Email: hotro@hocmai.vn
Chịu trách nhiệm nội dung: Phạm Giang Linh
Giấy phép cung cấp dịch vụ mạng xã hội trực tuyến số 597/GP-BTTTT Bộ Thông tin và Truyền thông cấp ngày 30/12/2016.
- Ưu đãi 30% học phí PEN-I dành riêng cho bạn
- Thời gian: Chỉ đến hết 4/12/2015
Bạn đang đăng nhập. Vui lòng chờ trong giây lát.
Bạn cần ĐĂNG KÝ khóa học này để tham gia làm bài "Đánh giá năng lực"!