Danh mục tài liệu học tập
HOT

Tải APP để nhận nhiều khóa học bổ trợ miễn phí

Zalo OA Hocmai

Hãy "Đăng ký" kênh để xem bài giảng HOCMAI

CHUYÊN ĐỀ TRẮC NGHIỆM TỔNG HỢP SỐ PHỨC

  • Số trang: 67
  • Lượt đọc: 2420
  • Lượt tải: 115
  • Tác giả: Sưu tầm
  • 10:22 04/12/2018
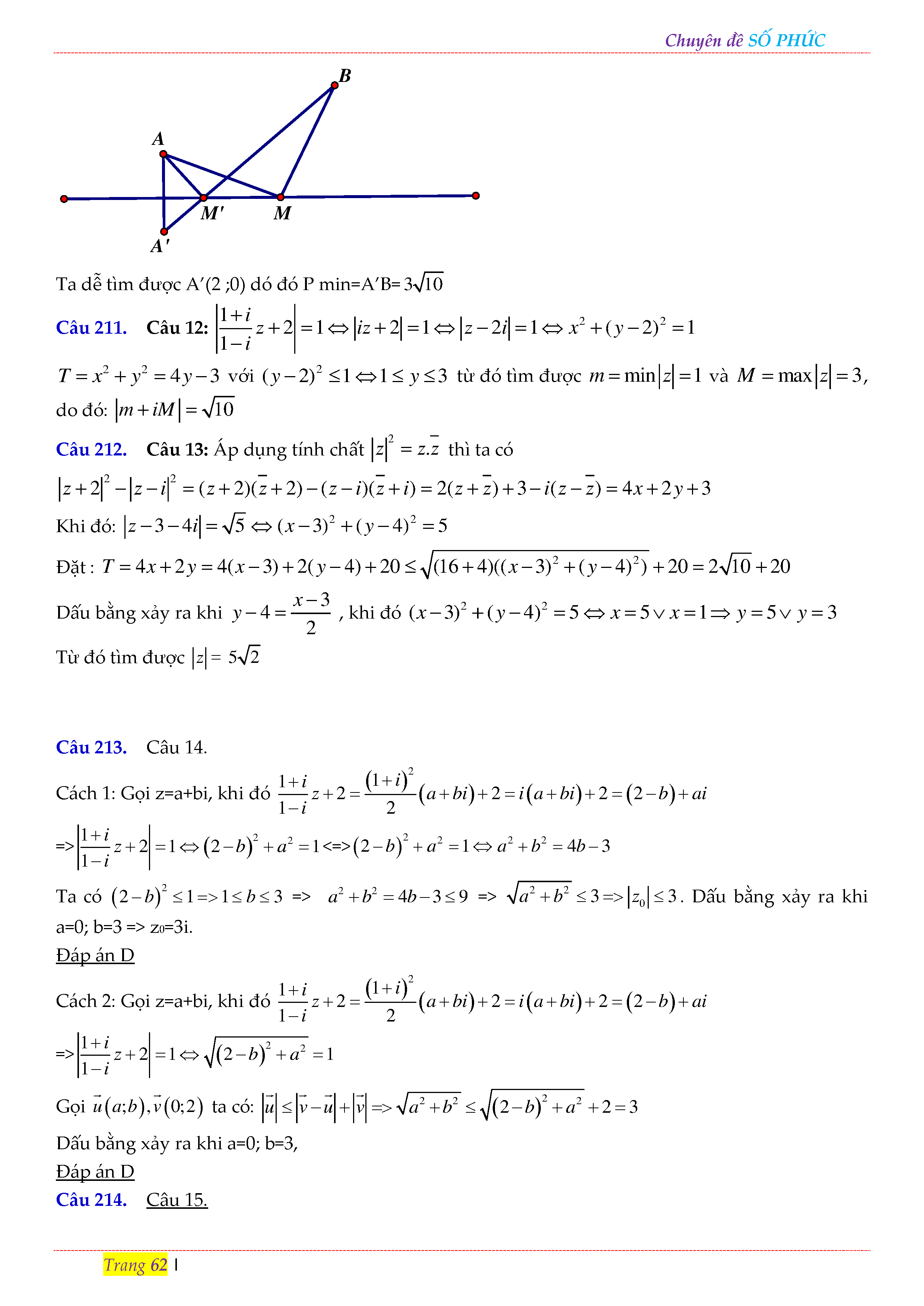
CHUYÊN ĐỀ TRẮC NGHIỆM TỔNG HỢP SỐ PHỨC