Danh mục tài liệu học tập
HOT

Tải APP để nhận nhiều khóa học bổ trợ miễn phí

Zalo OA Hocmai

Hãy "Đăng ký" kênh để xem bài giảng HOCMAI

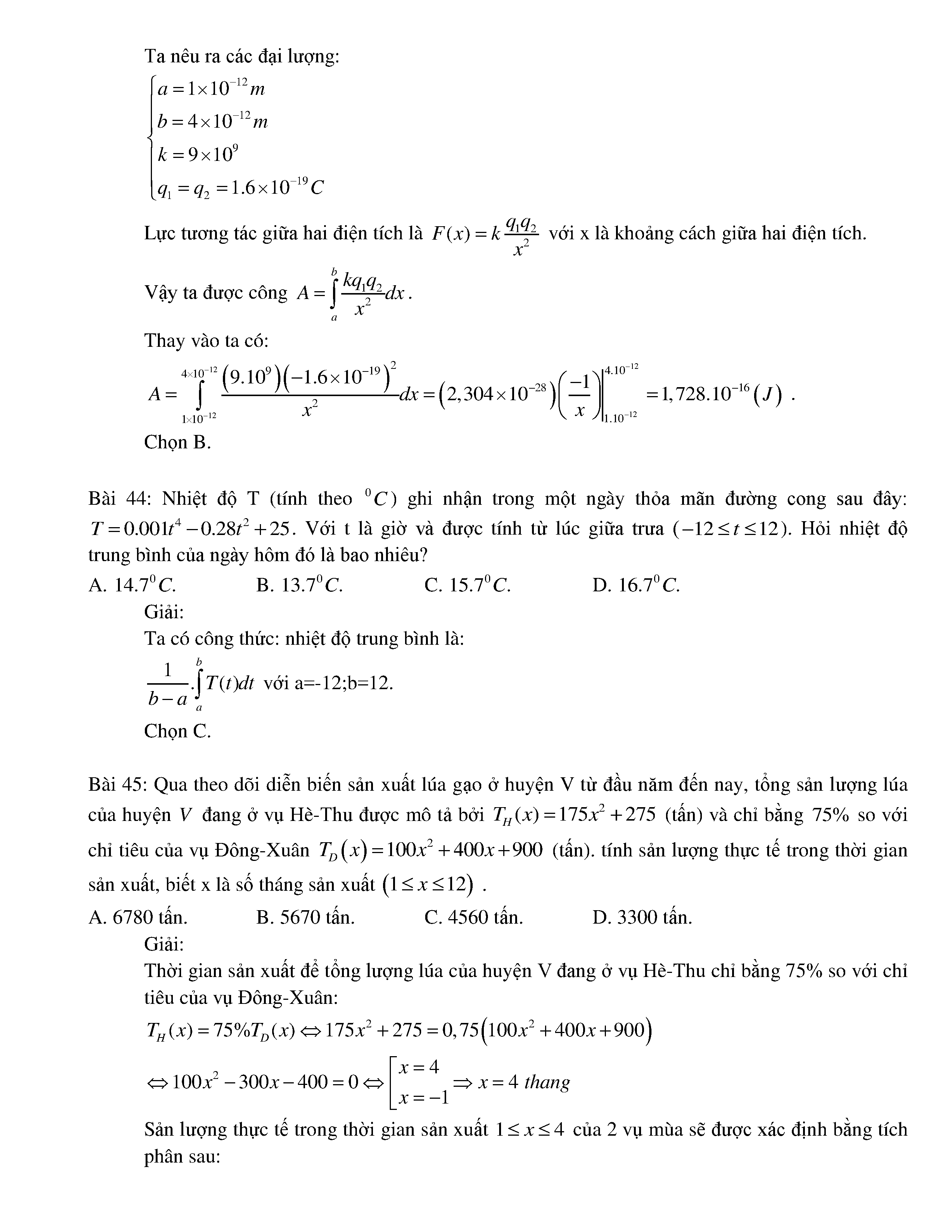
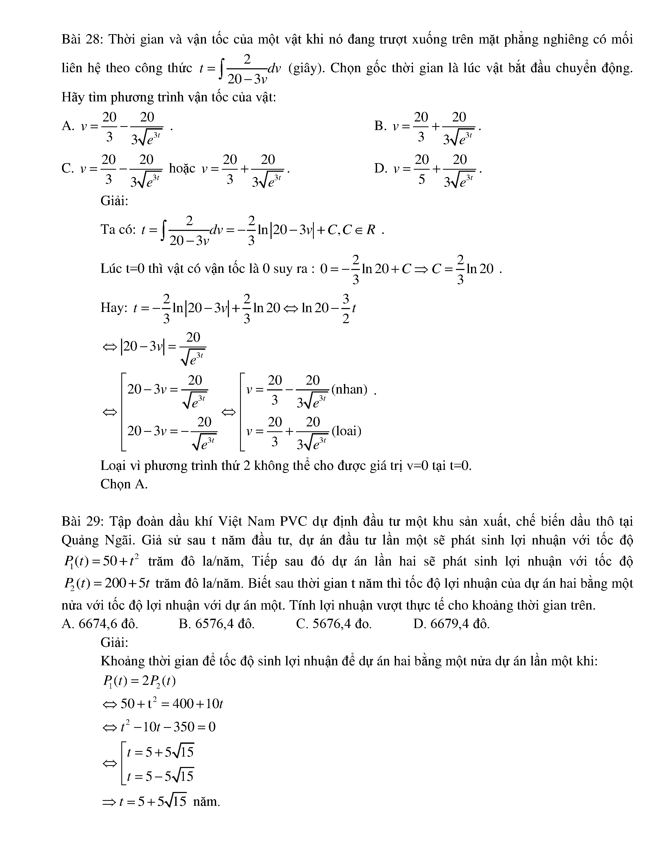
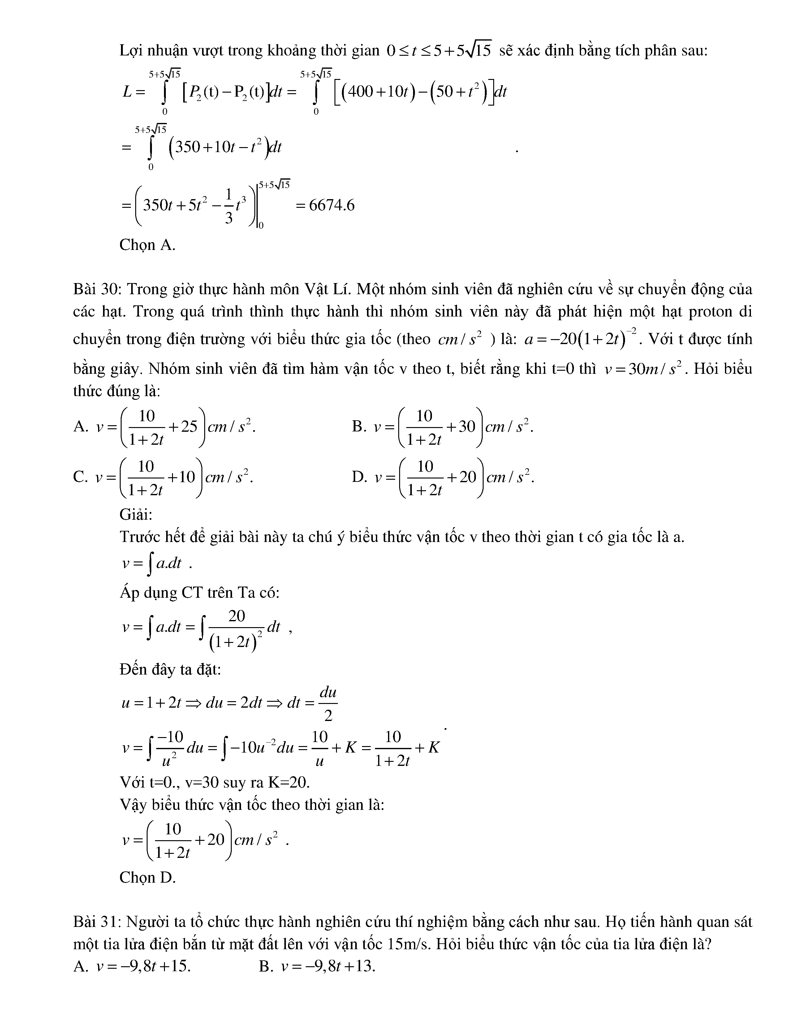
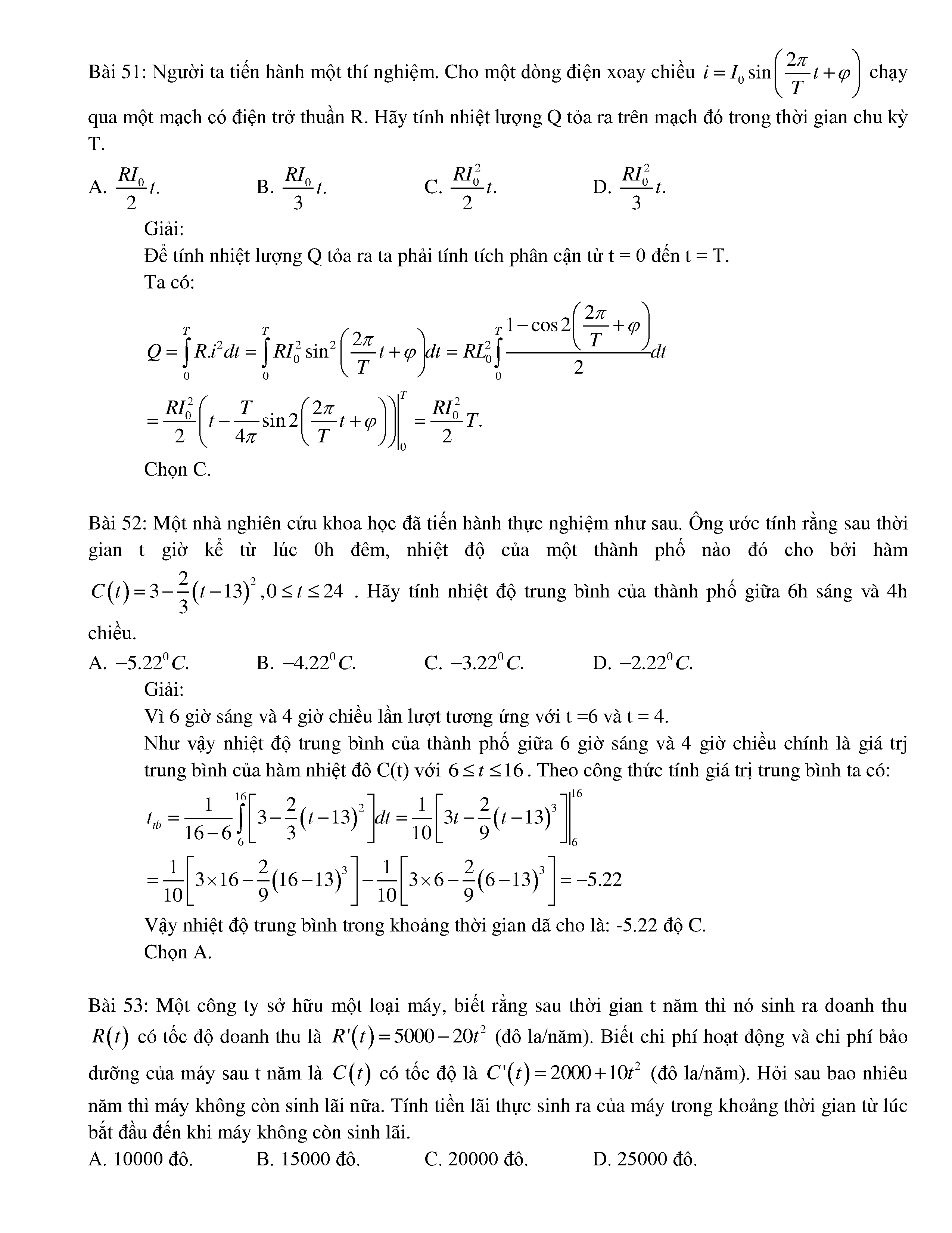
ỨNG DỤNG TÍCH PHÂN GIẢI BÀI TOÁN VẬT LÝ VÀ BÀI TOÁN THỰC TẾ.

  • Số trang: 28
  • Lượt đọc: 34010
  • Lượt tải: 323
  • Tác giả: Sưu tầm
  • 16:00 16/01/2019
ỨNG DỤNG TÍCH PHÂN GIẢI BÀI TOÁN VẬT LÝ VÀ BÀI TOÁN THỰC TẾ.