Danh mục tài liệu học tập
HOT

Tải APP để nhận nhiều khóa học bổ trợ miễn phí

Zalo OA Hocmai

Hãy "Đăng ký" kênh để xem bài giảng HOCMAI

Đề KSCL Toán 12 lần 2 năm 2025 – 2026 trường THPT chuyên KHTN – Hà Nội kèm đáp án

  • Số trang: 17
  • Lượt đọc: 4222
  • Lượt tải: 51
  • Tác giả: Sưu tầm
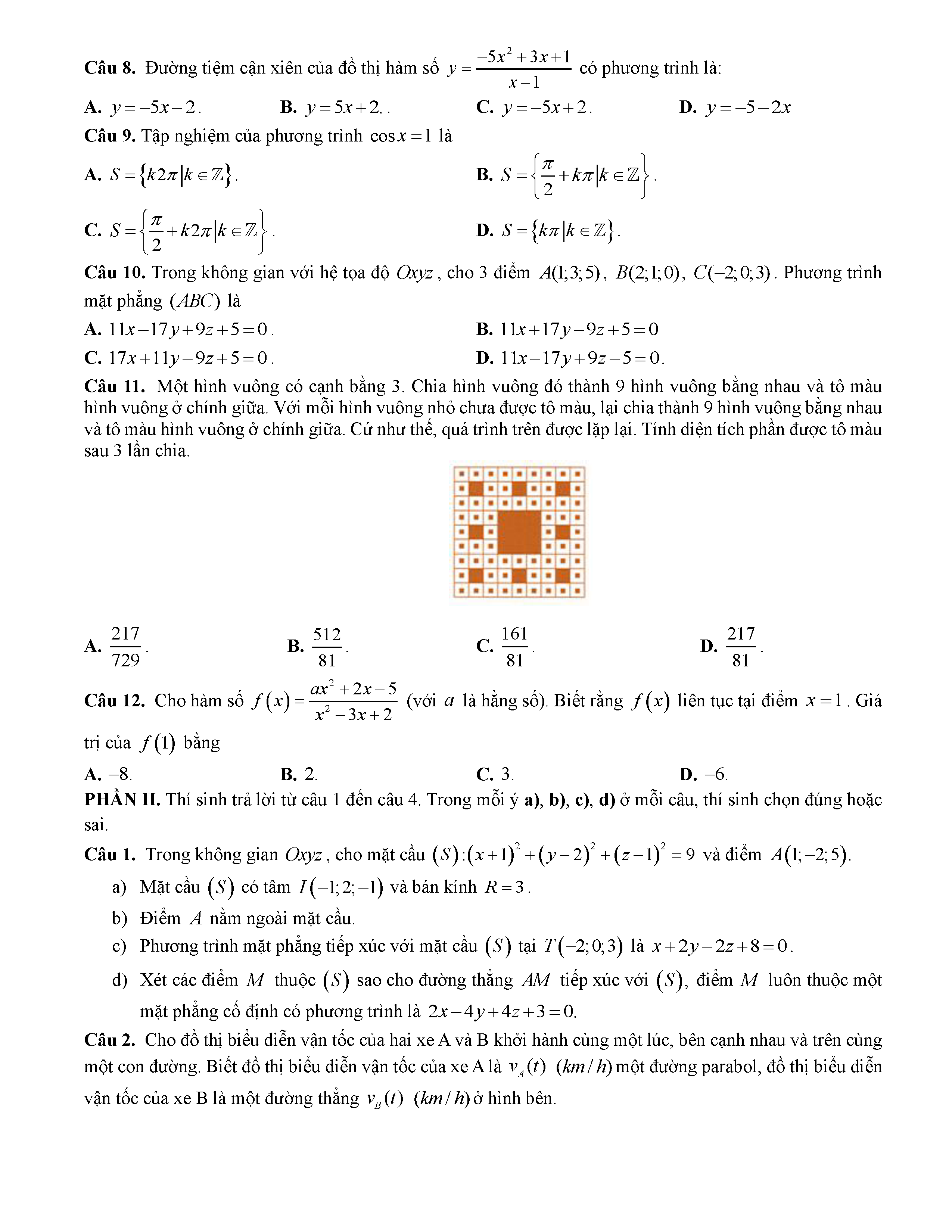
  • 21:46 21/03/2026