Tổng hợp toàn bộ lý thuyết Vật Lý 12 kèm theo đó là 265 câu hỏi trắc nghiệm ôn tập giúp các bạn học sinh có thể vừa học vừa thực hành một cách tốt nhất.
I. Dao động điều hòa
II. Con lắc lò xo
III. Con lắc đơn
IV. Dao động tắt dần và dao động cưỡng bức
V. Tổng hợp các loại dao động
I. Sóng cơ và sự truyền sóng cơ
II. Giao thoa sóng
III. Sóng dừng
IV. Sóng âm
I. Đại cương về dòng điện xoay chiều
II. Các loại mạch điện xoay chiều
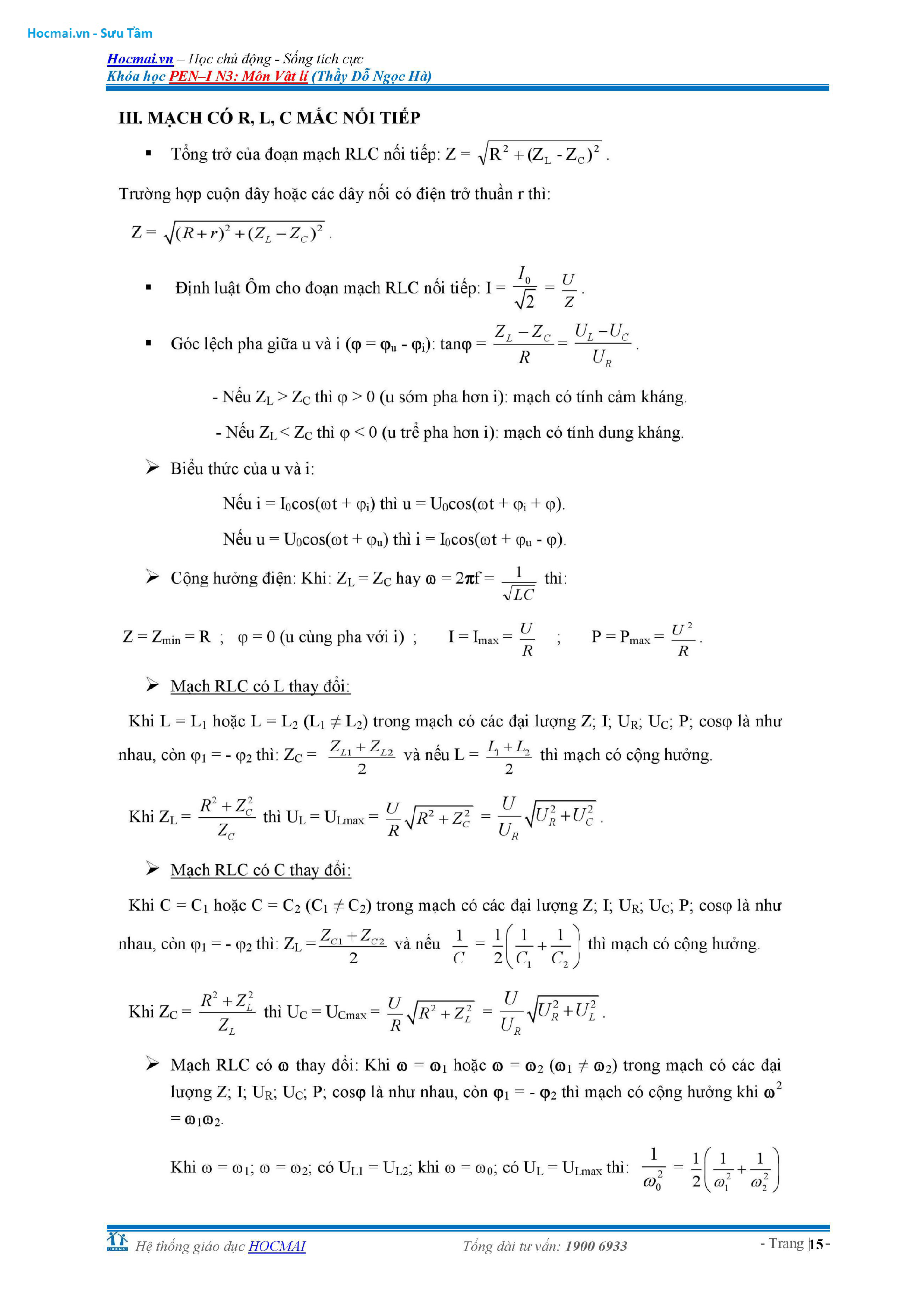
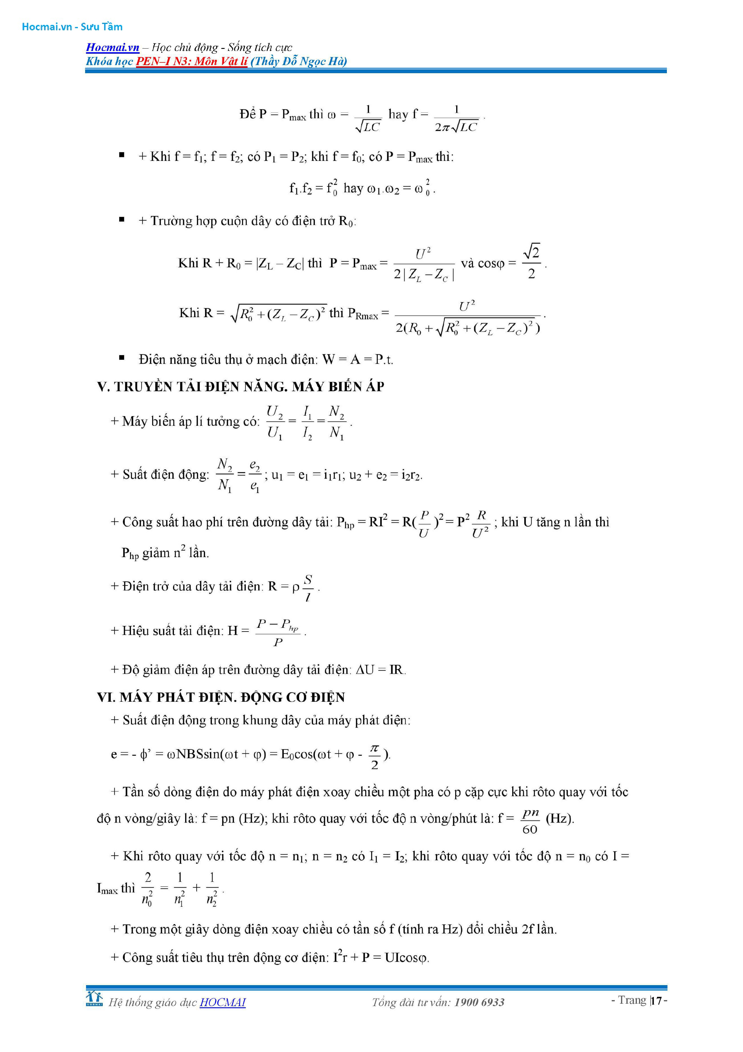
III. Mạch có R, L, C mắc nối tiếp
IV. Công suất của mạch điện xoay chiều
V. Truyền tải điện năng và biến áp
VI. Máy phát điện và động cơ điện
I. Mạch dao động
II. Điện từ trường, sóng điện từ, truyền thông
I. Tán sắc ánh sáng
II. Nhiễu xạ ánh sáng - Giao thoa ánh sáng
III. Quang phổ
IV. Tia hồng ngoại - Tia tử ngoại - Tia X
I. Hiện tượng quang điện - Thuyết lượng tử ánh sáng
II. Mẫu nguyên tử BO
I. Tính chất và cấu tạo hạt nhân
II. Năng lượng liên kết và phản ứng hạt nhân
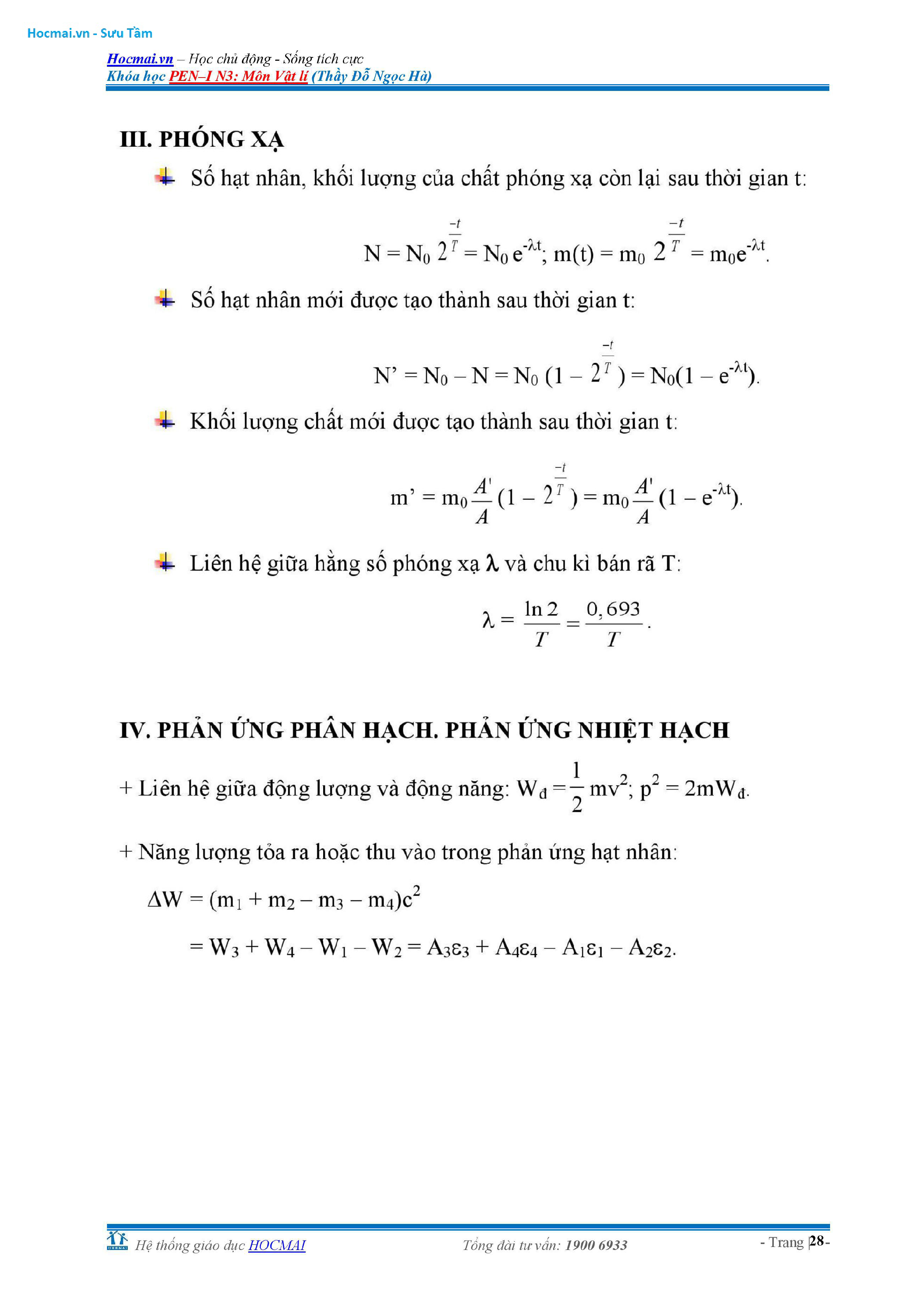
III. Phóng xạ
IV. Phản ứng phân hạch và phản ứng nhiệt hạch
Các em học sinh có thể tham khảo thêm khóa học: Ôn tập Vật Lí 12
Vật lý là một trong nhưng bộ môn có tính ứng dụng rất cao trong thức tế. Chính vì vậy, để có thể học một lượng kiến thức lớn như tổng hợp kiến thức Vật Lí 12 như đã liệt kê ở trên, các em học sinh nên có sự liên hệ với những sự vật xung quanh đời sống. Ví dụ, trong quá trình học về dao động điều hòa, các em có thể hình dung và liên tưởng tới quả lắc trong đồng hồ,... Điều này không chỉ giúp các em học được cách ứng dụng kiến thức vào cuộc sống mà còn giúp cho việc ghi nhớ được dễ dàng thông qua những ví dụng trực quan và sinh động nhất.
Bên cạnh đó, một số phương pháp giúp các em có thể dễ dàng trong việc học và luyện tập kiến thức như:
1. Chú ý lắng nghe những kiến thức của thầy cô trên lớp, sau đó về nhà dành thời gian để ôn tập lại các kiến thức đã học.
2. Học theo nhóm từ 3-5 bạn. Việc học nhóm sẽ giúp bạn có thêm động lực học cũng như bổ sung kiến thức cho nhau một cách dễ dàng và hiệu quả nhất.
3. Bên cạnh luyện tập thông qua hệ thống bài tập, các em học snh nên tự đưa ra những ví dụ thực tiễn về lý thuyết, để việc học các công thức và tính chất được sinh động và dễ nhớ hơn.
4. Chăm chỉ làm các dạng bài tập, bên cạnh đó, tập thói quen giải bài tập lần lượt theo các bước sau:
- Đọc kỹ đề bài và các thông tin được cung cấp và câu hỏi
- Tóm tắt đề bài: các đại lượng được cung cấp, mối liên hệ giữa các đại lượng trong đề bài và câu hỏi, điều kiện của bài tập.
- Phán đoán và suy nghĩ những công thức sẽ sử dụng để giải bài tập từ thông tin đề bài
- Kết hợp công thức và thông tin đề bài ra để tìm đáp án
- Thay số và tính toán
- Lưu ý các đại lượng
Bên cạnh đó, để nâng cao kỹ năng và kiến thức một cách tốt nhất, các em học sinh có thể tham khảo thêm khóa học tổng hợp: Lý thuyết Vật Lí 12 ôn thi đại học
Học Mãi xin chia sẻ cho các em học sinh tài liệu tổng hợp kiến thức Vật Lý 12.
Tìm hiểu thêm:
Cơ quan chủ quản: Công ty Cổ phần Đầu tư và Dịch vụ Giáo dục
MST: 0102183602 do Sở kế hoạch và Đầu tư thành phố Hà Nội cấp ngày 13 tháng 03 năm 2007
Địa chỉ:
- Văn phòng Hà Nội: Tầng 4, Tòa nhà 25T2, Đường Nguyễn Thị Thập, Phường Trung Hoà, Quận Cầu Giấy, Hà Nội.
- Văn phòng TP.HCM: Lầu 3, 51-53 Võ Văn Tần, phường Võ Thị Sáu, quận 3, Tp. Hồ Chí Minh.
Hotline: 19006933 – Email: hotro@hocmai.vn
Chịu trách nhiệm nội dung: Phạm Giang Linh
Giấy phép cung cấp dịch vụ mạng xã hội trực tuyến số 597/GP-BTTTT Bộ Thông tin và Truyền thông cấp ngày 30/12/2016.
- Ưu đãi 30% học phí PEN-I dành riêng cho bạn
- Thời gian: Chỉ đến hết 4/12/2015
Bạn đang đăng nhập. Vui lòng chờ trong giây lát.
Bạn cần ĐĂNG KÝ khóa học này để tham gia làm bài "Đánh giá năng lực"!