Danh mục tài liệu học tập
HOT

Tải APP để nhận nhiều khóa học bổ trợ miễn phí

Zalo OA Hocmai

Hãy "Đăng ký" kênh để xem bài giảng HOCMAI

250 Câu trắc nghiệm hàm số có đáp án

  • Số trang: 54
  • Lượt đọc: 3854
  • Lượt tải: 328
  • Tác giả: Sưu tầm
  • 22:00 17/07/2018
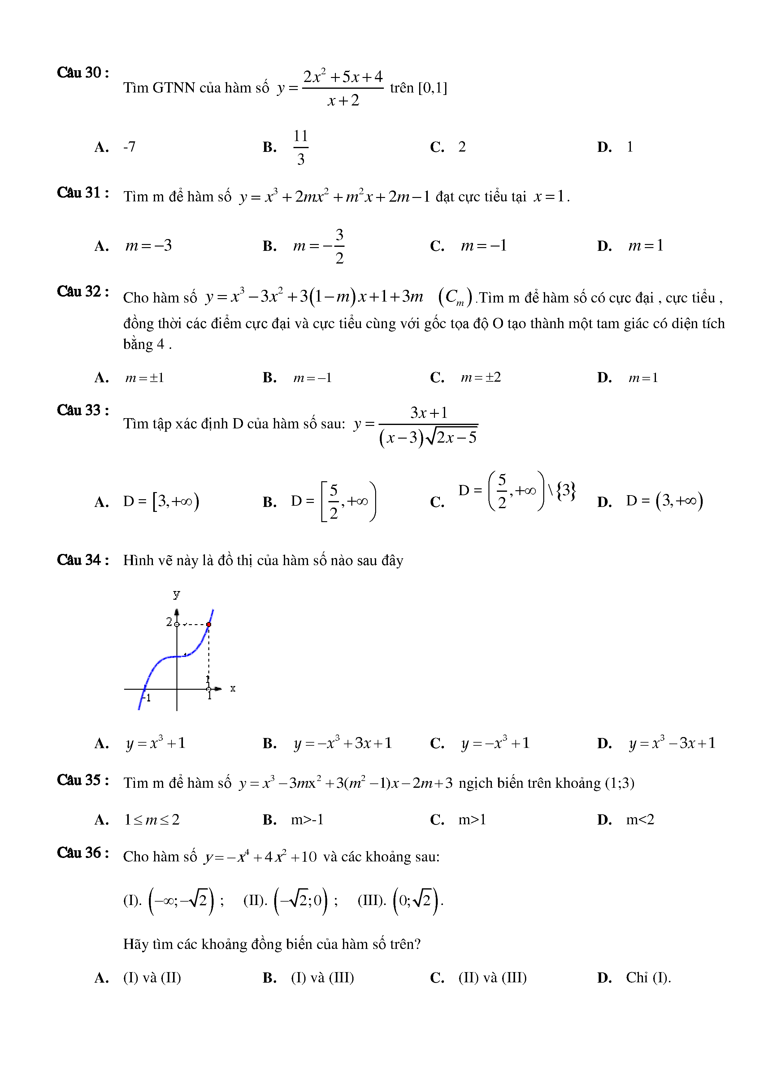
250 CÂU TRẮC NGHIỆM HÀM SỐ CÓ ĐÁP ÁN