Học Mãi chia sẻ bộ tài liệu tóm tắt toàn bộ công thức Vật Lý 12 được biên soạn theo từng chuyên đề cụ thể theo đúng chương trình sách giáo khoa giúp các em học sinh dễ dàng trong việc hệ thống kiến thức học và ôn tập.
1. Dao động điều hòa
- Công thức tính li độ, vận tốc và gia tốc
2. Con lắc lò xo
- Phương trình dao động con lắc lò xo
- Công thức tính thế năng
- Công thức tính cơ năng
- Công thức tính lực đàn hồi của lò xo
- Công thức lò xo ghép nối tiếng
- Công thức lò xo ghép song song
3. Con lắc đơn
- Phương trình dao động
- Tần số góc và chu kỳ
- Công thức tính động năng, thế năng, cơ năng con lắc đơn
4. Tổng hợp dao động
- Tổng hợp 2 dao động điều hòa cùng phương cùng tần số
5. Sóng cơ học
- Liên hệ giữa bước sóng, vận tốc, chu kỳ và tần số sóng
- Phương trình sóng tại điểm bất kỳ trên phương truyền sóng cách một khoảng x.
- Khoảng cách giữa 2 nút và 2 bụng liền kề
- Khoảng cách giữa nút và bụng liên kề
- Khoảng cách giữa n nút sóng liên tiếp
1. Dòng điện xoay chiều
- Cảm kháng của cuộn dây
- Dung kháng của tụ điện
- Tổng trở của đoạn mạch RLC
- Định luật Ôm
- Các giá trị hiệu dụng
- Công thức tính công suất, hệ số công suất
- Công thức tính điện năng tiêu thụ của mạch điện
2. Dao động và sóng điện từ
- Công suất tính chu kỳ, tần số, tần số góc của mạch dao động
- Điện tích của 2 bản tụ
- Công thức tính cường độ dòng điện trong mạch
- Hiệu điện thế trong 2 bản tụ
- Năng lượng điện từ, điện trường
- Vị trí vân sáng, vân tối và khoảng tối
- Giao thoa với ánh sáng trắng
- Năng lượng của Photon ánh sáng
- Công thức Anhxtanh, giới hạn quang điện, hiệu điện thế hãm
- Công suất nguồn sáng, cường độ dòng điện bão hòa
- Lực Lo-ren-xơ, lực hướng tâm
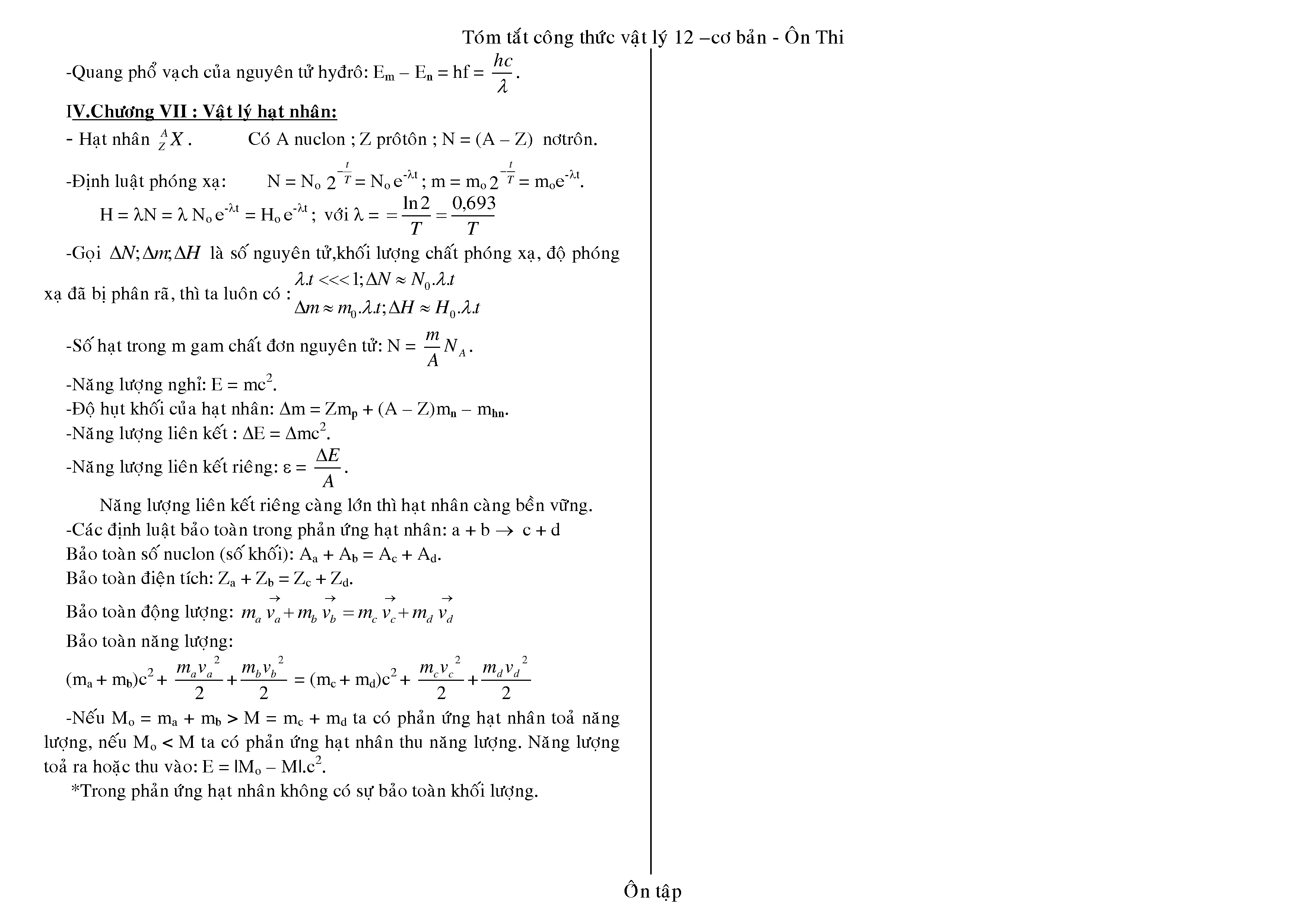
- Quang phổ vạch của nguyên tử Hidro
- Định luật phòng xạ
- Công thức tính số hạt trong m gam chất đơn nguyên tử
- Năng lượng nghỉ
- Độ hụt khối của hạt nhân
- Năng lượng liên kết
- Năng lượng liên kết riêng
- Định luật bảo toàn trong phản ứng hạt nhân
Tài liệu tham khảo thêm:
Cơ quan chủ quản: Công ty Cổ phần Đầu tư và Dịch vụ Giáo dục
MST: 0102183602 do Sở kế hoạch và Đầu tư thành phố Hà Nội cấp ngày 13 tháng 03 năm 2007
Địa chỉ:
- Văn phòng Hà Nội: Tầng 4, Tòa nhà 25T2, Đường Nguyễn Thị Thập, Phường Trung Hoà, Quận Cầu Giấy, Hà Nội.
- Văn phòng TP.HCM: Lầu 3, 51-53 Võ Văn Tần, phường Võ Thị Sáu, quận 3, Tp. Hồ Chí Minh.
Hotline: 19006933 – Email: hotro@hocmai.vn
Chịu trách nhiệm nội dung: Phạm Giang Linh
Giấy phép cung cấp dịch vụ mạng xã hội trực tuyến số 597/GP-BTTTT Bộ Thông tin và Truyền thông cấp ngày 30/12/2016.
- Ưu đãi 30% học phí PEN-I dành riêng cho bạn
- Thời gian: Chỉ đến hết 4/12/2015
Bạn đang đăng nhập. Vui lòng chờ trong giây lát.
Bạn cần ĐĂNG KÝ khóa học này để tham gia làm bài "Đánh giá năng lực"!