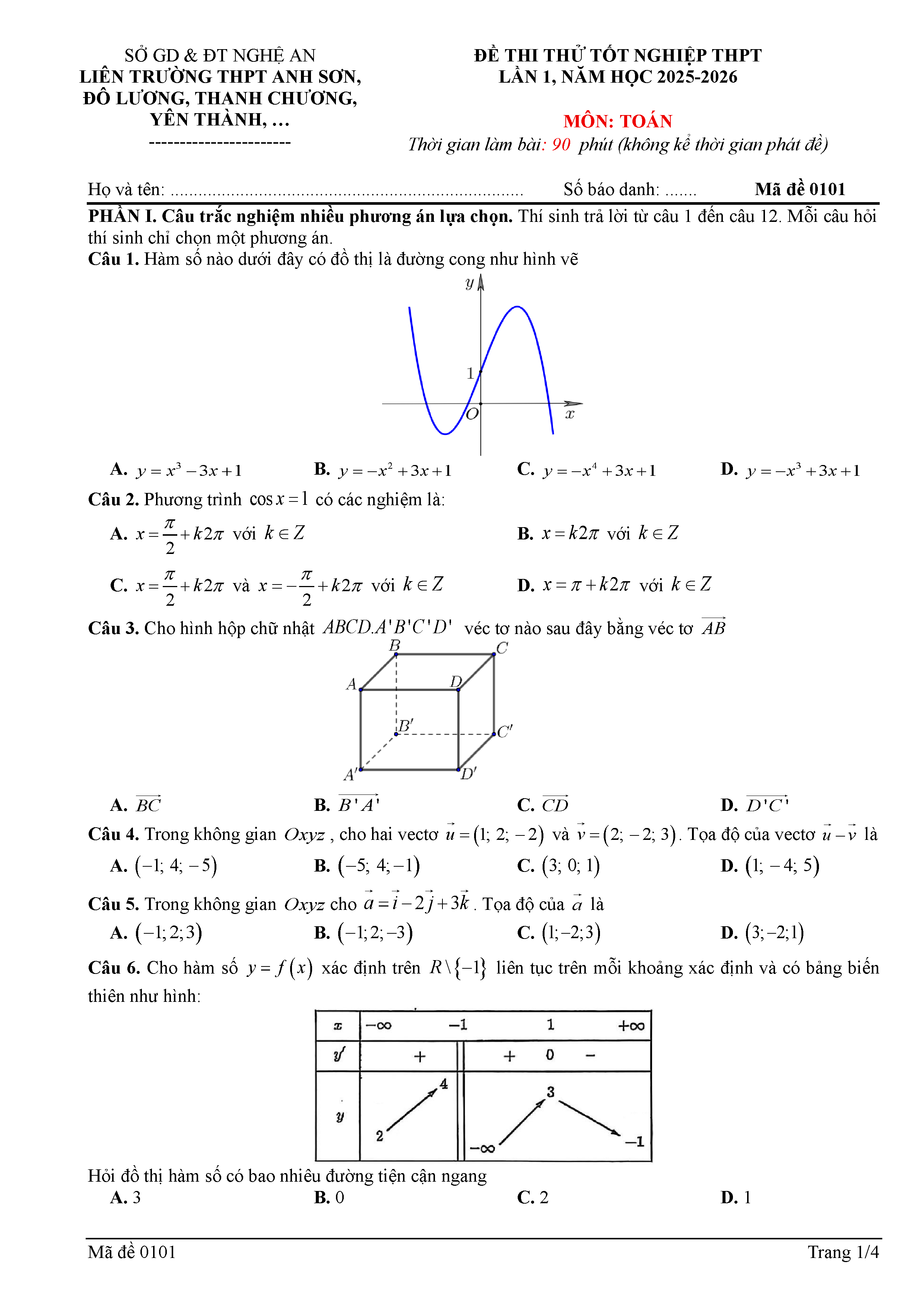
Danh mục tài liệu học tập
HOT

Tải APP để nhận nhiều khóa học bổ trợ miễn phí

Zalo OA Hocmai

Hãy "Đăng ký" kênh để xem bài giảng HOCMAI

Đề thi thử TN THPT 2026 môn Toán lần 1 liên trường THPT – Nghệ An kèm đáp án và lời giải chi tiết

  • Số trang: 16
  • Lượt đọc: 3006
  • Lượt tải: 39
  • Tác giả: Sưu tầm
  • 09:45 03/02/2026