Danh mục tài liệu học tập
HOT

Tải APP để nhận nhiều khóa học bổ trợ miễn phí

Zalo OA Hocmai

Hãy "Đăng ký" kênh để xem bài giảng HOCMAI

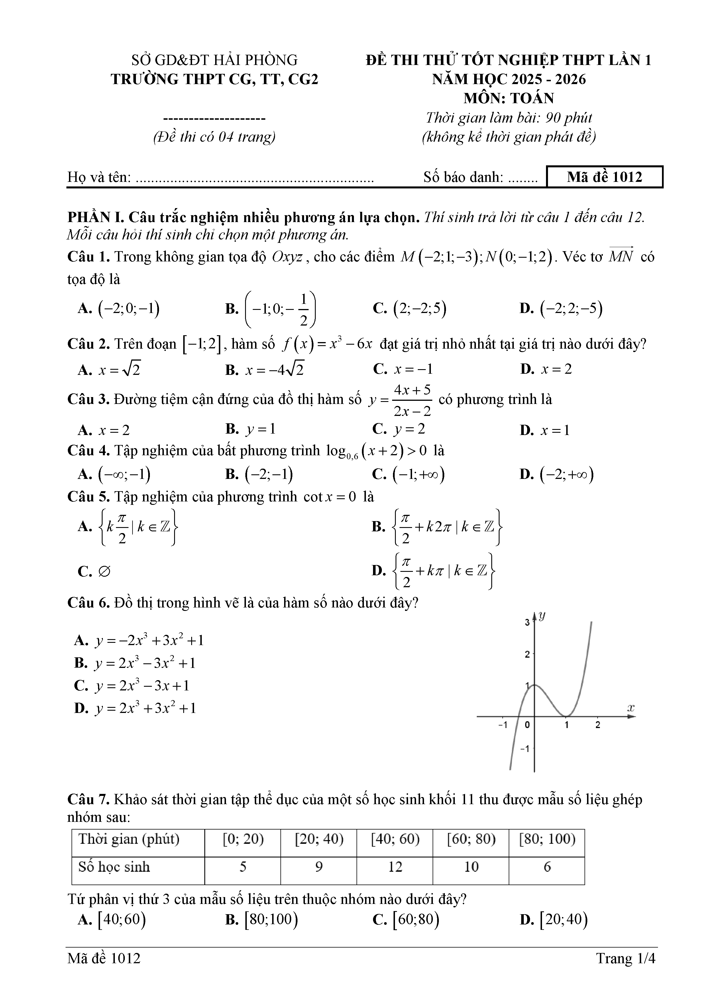
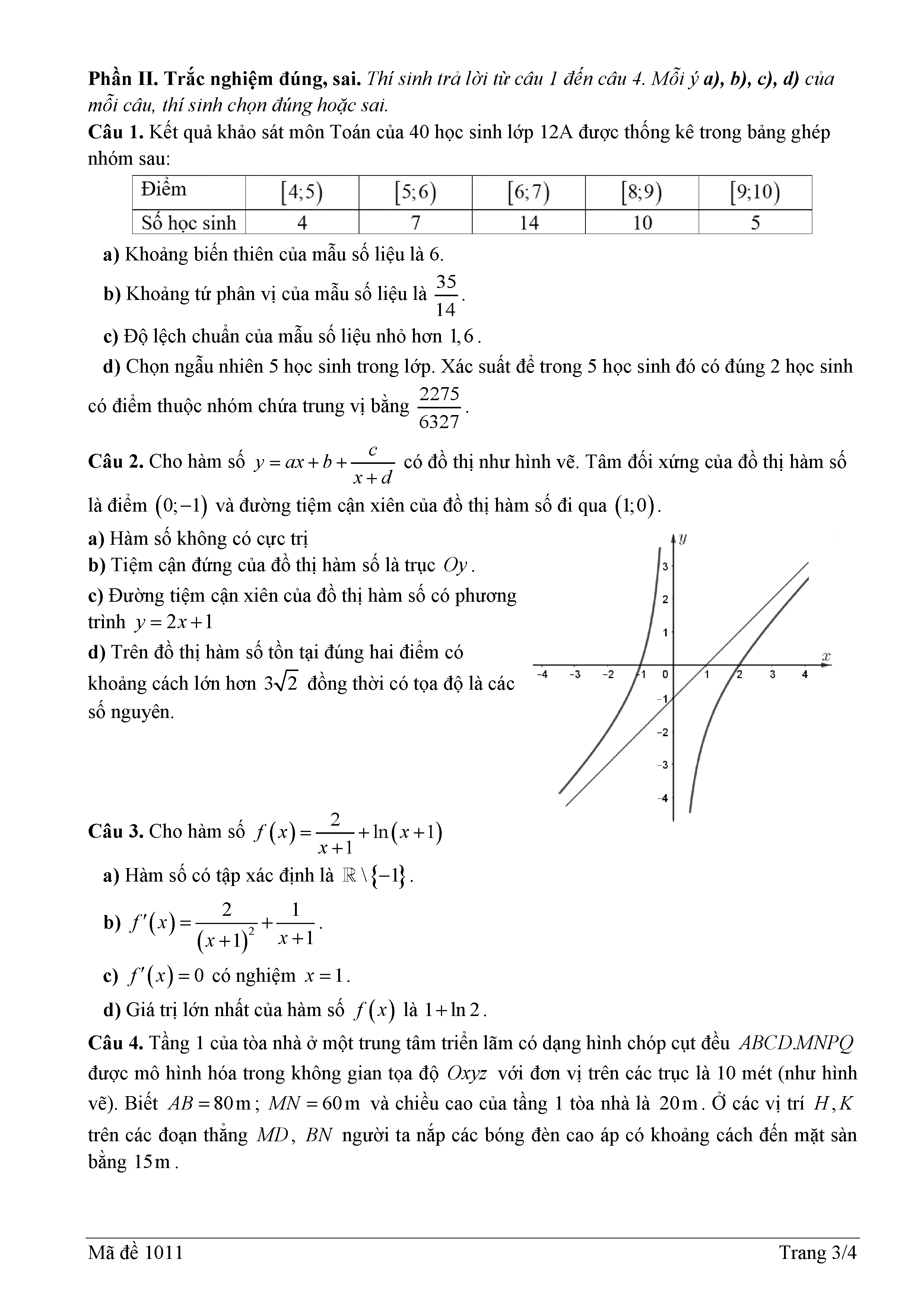
Đề thi thử TN THPT 2026 lần 1 môn Toán trường THPT CG-TT-CG2 – Hải Phòng kèm đáp án.

  • Số trang: 9
  • Lượt đọc: 1177
  • Lượt tải: 38
  • Tác giả: Sưu tầm
  • 10:18 19/01/2026