Các khóa học
  • Đại học - Cao đẳng
    • Khóa học
    • Toán cao cấp
  • Bổ trợ Phương pháp - Kĩ năng
    • Kiến thức
    • Phương pháp kỹ năng
    • Tư duy thời đại số
    • Ngữ văn
    • Tiếng Việt
    • Toán
    • ICAN CONNECT
    • LẬP TRÌNH
    • Phương pháp học
    • Giáo dục giới tính
    • Gia sư 1:1
    • Đức dục - Trí dục
    • Kỹ năng dạy online
    • Tư duy thời đại số
  • Bồi dưỡng học sinh giỏi
    • Khóa học
    • Toán
  • LUYỆN THI ĐẠI HỌC
    • KHÓA HỌC
    • SÁCH
      NỀN TẢNG
    • Ngữ văn
    • Toán
    • Tiếng Anh
    • Vật lí
    • Hóa học
    • Sinh học
    • LUYỆN THI TỐT NGHIỆP THPT 2026
    • Ngữ văn
    • Toán
    • Tiếng Anh
    • Vật lí
    • Hóa học
    • Sinh học
    • Lịch sử
    • Địa lí
    • LUYỆN THI ĐGTD ĐHBKHN (TSA) 2026
    • Tư duy Toán học
    • Tư duy Đọc hiểu
    • Tư duy Khoa học
    • Tổ hợp môn
    • LUYỆN THI ĐGNL ĐHQGHN (HSA) 2026
    • Định tính
    • Định lượng
    • Tiếng Anh
    • Khoa học
    • Tổ hợp môn
    • LUYỆN THI ĐGNL ĐHQG-HCM (V-ACT) 2026
    • Toán học
    • Sử dụng Ngôn ngữ
    • Tư duy Khoa học
    • Tổ hợp môn
      SÁCH ĐÁNH GIÁ NĂNG LỰC
    • Tăng tốc luyện đề dành cho kỳ thi ĐGNL ĐHQG TP.HCM
      • Tổng ôn cấp tốc luyện thi ĐGNL ĐH Quốc gia Hà Nội
      • Định lượng và Định tính
        Khoa khọc
        Tiếng Anh
      SÁCH ÔN THI TỐT NGHIỆP THPT
    • Học giỏi toàn diện Toán - Lí - Hóa lớp 12 - Mục tiêu 9+
  • Lớp 10 - Lớp 11 - Lớp 12
    • Khóa học
    • Sách
    • Live class
      • LỚP 10
      • Ngữ văn
        Toán
        Tiếng Anh
        Vật lí
        Hóa học
        Sinh học
        Lịch sử
        Địa lí
      • LỚP 11
      • Ngữ văn
        Toán
        Tiếng Anh
        Vật lí
        Hóa học
        Sinh học
        Lịch sử
        Địa lí
      • Lớp 12
      • Ngữ văn
        Toán
        Tiếng Anh
        Vật lí
        Hóa học
        Sinh học
      • Sách bứt phá 9+ lớp 10
      • Toán
        Tiếng Anh
        Vật lí
        Hóa học
      • Sổ tay tra cứu lớp 10
      • Toán
        Tiếng Anh
        Vật lí
        Hóa học
      • Sách bứt phá 9+ lớp 11
      • Toán
        Tiếng Anh
        Vật lí
        Hóa học
      • Sổ tay tra cứu lớp 11
      • Toán
        Tiếng Anh
        Vật lí
        Hóa học
      • Lớp 10
      • Toán
      • Lớp 11
      • Toán
  • Luyện thi vào 10
    • Khóa học
    • Sách
      • TỔNG ÔN
      • Ngữ văn
        Toán
        Tiếng Anh
        Khoa học tự nhiên
        Lịch sử và Địa lí
      • LUYỆN ĐỀ
      • Ngữ văn
        Toán
        Tiếng Anh
    • Bứt phá 9+ điểm thi vào 10 môn Toán
    • Bứt phá 9+ điểm thi vào 10 môn Ngữ văn
  • Lớp 6 - Lớp 7 - Lớp 8 - Lớp 9
    • Khóa học
    • SÁCH
    • Live class
      • Lớp 6
      • Ngữ văn
        Toán
        Tiếng Anh
        Khoa học tự nhiên
        Lịch sử - Địa lí
        Tin học
      • Lớp 7
      • Ngữ văn
        Toán
        Tiếng Anh
        Khoa học tự nhiên
        Lịch sử - Địa lí
        Tin học
      • Lớp 8
      • Ngữ văn
        Toán
        Tiếng Anh
        Khoa học tự nhiên
        Lịch sử - Địa lí
      • Lớp 9
      • Ngữ văn
        Toán
        Tiếng Anh
        Khoa học tự nhiên
      • Bứt phá 9+
      • Ngữ văn 6
        Toán 6
        Tiếng Anh 6
        KHTN 6
      • 1001 Bài tập học tốt toàn diện môn Toán 7,8,9
    • Toán 7
    • Toán 8
    • Toán 9
      • Lớp 6
      • Ngữ văn
        Toán
      • Lớp 7
      • Ngữ văn
        Toán
      • Lớp 8
      • Ngữ văn
        Toán
      • Lớp 9
      • Ngữ văn
        Toán
  • Luyện thi vào 6
    • Khóa học
    • Sách
      • TỔNG ÔN
      • Tiếng Việt
        Toán
        Tiếng Anh
      • LUYỆN ĐỀ
      • Tiếng Việt
        Toán
        Tiếng Anh
      • Sách chinh phục đề thi vào 6
      • Tiếng Việt
        Toán
        Tiếng Anh
  • Lớp 1 - Lớp 2 - Lớp 3 - Lớp 4 - Lớp 5
    • Khóa học
    • Live class
      • Lớp 1
      • Tiếng Việt
        Toán
      • Lớp 2
      • Tiếng Việt
        Toán
      • Lớp 3
      • Tiếng Việt
        Toán
        Tiếng Anh
      • Lớp 4
      • Tiếng Anh
      • Lớp 5
      • Tiếng Việt
        Toán
        Tiếng Anh
      • Lớp 4
      • Tiếng Việt
        Toán
      • Lớp 5
      • Tiếng Việt
        Toán
  • Tiền tiểu học
    • Khóa học
    • Tiền tiểu học
Hocmai.vn
  • Đăng nhập
  • Đăng ký
  • Đăng nhập
  • Đăng ký

Đại học - Cao đẳng

  • Toán cao cấp
  • Tiếng Anh

Bổ trợ & bồi dưỡng HSG

  • Khóa học bổ trợ
    • Tư duy thời đại số
    • Ngữ văn
    • Tiếng Việt
    • Toán
    • Tiếng Anh ICAN CONNECT
    • Phương pháp - Kĩ năng
  • Bồi dưỡng Học sinh giỏi
    • Toán

Luyện thi đại học

  • Tốt nghiệp THPT
    • Ngữ văn
    • Toán
    • Tiếng Anh
    • Vật lí
    • Hóa học
    • Sinh học
    • Lịch sử
    • Địa lí
  • Đánh giá tư duy ĐHBK HN
    • Tư duy Khoa học
    • Tư duy Đọc hiểu
    • Tư duy Toán học
    • Tổ hợp môn
  • Đánh giá năng lực ĐHQG HN
    • Tổ hợp môn
    • Khoa học
    • Tiếng Anh
    • Định tính
    • Định lượng
  • Đánh giá năng lực ĐHQG TP.HCM
    • Toán học
    • Sử dụng Ngôn ngữ
    • Tư duy Khoa học
    • Tổ hợp môn

Trung học phổ thông

  • Lớp 12
    • Ngữ văn
    • Toán
    • Tiếng Anh
    • Vật lí
    • Hóa học
    • Sinh học
  • Lớp 11
    • Ngữ văn
    • Toán
    • Tiếng Anh
    • Vật lí
    • Hóa học
    • Sinh học
    • Lịch sử
    • Địa lí
  • Lớp 10
    • Ngữ văn
    • Toán
    • Tiếng Anh
    • Vật lí
    • Hóa học
    • Sinh học
    • Lịch sử
    • Địa lí

Luyện thi vào 10

  • Tổng ôn
    • Ngữ văn
    • Toán
    • Tiếng Anh
    • Khoa học tự nhiên
    • Lịch sử và Địa lí
  • Luyện đề
    • Ngữ văn
    • Toán
    • Tiếng Anh

Trung học cơ sở

  • Lớp 9
    • Ngữ văn
    • Toán
    • Tiếng Anh
    • KHTN
  • Lớp 8
    • Ngữ văn
    • Toán
    • Tiếng Anh
    • KHTN
    • Lịch sử - Địa lí
  • Lớp 7
    • Ngữ văn
    • Toán
    • Tiếng Anh
    • KHTN
    • Lịch sử - Địa lí
    • Tin học
  • Lớp 6
    • Ngữ văn
    • Toán
    • Tiếng Anh
    • KHTN
    • Lịch sử - Địa lí
    • Tin học

Luyện thi vào 6

  • Tổng ôn
    • Tiếng Việt
    • Toán
    • Tiếng Anh
  • Luyện đề
    • Tiếng Việt
    • Toán
    • Tiếng Anh

Tiểu học

  • Lớp 5
    • Tiếng Việt
    • Toán
    • Tiếng Anh
  • Lớp 4
    • Tiếng Việt
    • Toán
    • Tiếng Anh
  • Lớp 3
    • Tiếng Việt
    • Toán
    • Tiếng Anh
  • Lớp 2
    • Tiếng Việt
    • Toán
  • Lớp 1
    • Tiếng Việt
    • Toán
  • Tiền tiểu học
  • Diễn đàn
  • Gia sư trực tuyến
  • Lý thuyết
  • Bài giảng miễn phí
  • Bài giảng khóa học 2025 - 2026
  • Giải bài SGK

Tiêu đề: Luyện tập trang 70 - Môn Toán - Lớp 9

  • Lý thuyết
  • Bài giảng miễn phí
  • Bài giảng khóa học 2025 - 2026
  • Giải bài SGK

LÝ THUYẾT

BÀI GIẢNG MIỄN PHÍ

BÀI GIẢNG KHÓA HỌC 2025 - 2026

BÀI GIẢI SÁCH GIÁO KHOA

Bài 5 trang 69 Toán 9 Tập 1 - Bài giải sgk

Bài 5 trang 69 Toán 9 Tập 1

Chi tiết
Bài 6 trang 69 Toán 9 Tập 1 - Bài giải sgk

Bài 6 trang 69 Toán 9 Tập 1

Chi tiết
Bài 7 trang 69 Toán 9 Tập 1 - Bài giải sgk

Bài 7 trang 69 Toán 9 Tập 1

Chi tiết
Bài 8 trang 70 Toán 9 Tập 1 - Bài giải sgk

Bài 8 trang 70 Toán 9 Tập 1

Chi tiết
Bài 9 trang 70 Toán 9 Tập 1 - Bài giải sgk

Bài 9 trang 70 Toán 9 Tập 1

Chi tiết

TRAO ĐỔI BÀI

HOCMAI

BÀI GIẢI SGK 2025 - 2026

Bài 5 trang 69 Toán 9 Tập 1

Bài 5 (trang 69 SGK Toán 9 Tập 1): Trong tam giác vuông với các cạnh góc vuông có độ dài 3 và 4, kẻ đường cao ứng với cạnh huyền. Hãy tính đường cao này và độ dài các đoạn thẳng mà nó định ra trên cạnh huyền.

Lời giải:

Để học tốt Toán 9 | Giải bài tập Toán 9

ΔABC vuông tại A có AB = 3, AC = 4 và đường cao AH như trên hình.

Theo định lí Pitago ta có:

Để học tốt Toán 9 | Giải bài tập Toán 9

Mặt khác, AB2 = BH.BC (định lí 1)

Để học tốt Toán 9 | Giải bài tập Toán 9

Theo định lí 3 ta có: AH.BC = AB.AC

Để học tốt Toán 9 | Giải bài tập Toán 9

BÀI GIẢI LIÊN QUAN

Bài 6 trang 69 Toán 9 Tập 1

Bài 7 trang 69 Toán 9 Tập 1

Bài 8 trang 70 Toán 9 Tập 1

Bài 9 trang 70 Toán 9 Tập 1

HOCMAI

BÀI GIẢI SGK 2025 - 2026

Bài 6 trang 69 Toán 9 Tập 1

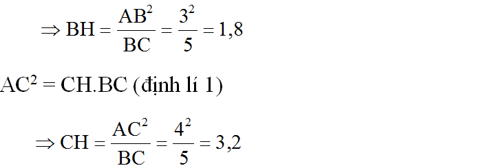
Bài 6 (trang 69 SGK Toán 9 Tập 1): Đường cao của một tam giác vuông chia cạnh huyền thành hai đoạn thẳng có độ dài là 1 và 2. Hãy tính các cạnh góc vuông của tam giác này.

Lời giải:

Để học tốt Toán 9 | Giải bài tập Toán 9

ΔABC vuông tại A và đường cao AH như trên hình.

BC = BH + HC = 1 + 2 = 3

Theo định lí 1: AB2 = BH.BC = 1.3 = 3

=> AB = √3

Theo định lí 1: AC2 = HC.BC = 2.3 = 6

=> AC = √6

Vậy độ dài các cạnh góc vuông của tam giác lần lượt là √3 và √6.

BÀI GIẢI LIÊN QUAN

Bài 5 trang 69 Toán 9 Tập 1

Bài 7 trang 69 Toán 9 Tập 1

Bài 8 trang 70 Toán 9 Tập 1

Bài 9 trang 70 Toán 9 Tập 1

HOCMAI

BÀI GIẢI SGK 2025 - 2026

Bài 7 trang 69 Toán 9 Tập 1

Bài 7 (trang 69-70 SGK Toán 9 Tập 1): Người ta đưa ra hai cách vẽ đoạn trung bình nhân x của hai đoạn thẳng a, b (tức là x2 = ab) như trong hai hình sau:

Dựa vào các hệ thức (1) và (2), hãy chứng minh các cách vẽ trên là đúng.

Gợi ý: Nếu một tam giác có đường trung tuyến ứng với một cạnh bằng nữa cạnh đó thì tam giác ấy là tam giác vuông.

Để học tốt Toán 9 | Giải bài tập Toán 9

Lời giải:

- Cách 1: (h.8)

Để học tốt Toán 9 | Giải bài tập Toán 9

Theo cách dựng, ΔABC có đường trung tuyến AO bằng một nửa cạnh BC, do đó ΔABC vuông tại D.

Vì vậy AH2 = BH.CH hay x2 = ab

Đây chính là hệ thức (2) hay cách vẽ trên là đúng.

- Cách 2: (h.9)

Để học tốt Toán 9 | Giải bài tập Toán 9

Theo cách dựng, ΔDEF có đường trung tuyến DO bằng một nửa cạnh EF, do đó ΔDEF vuông tại D.

Vậy DE2 = EI.EF hay x2 = a.b

Đây chính là hệ thức (1) hay cách vẽ trên là đúng.

BÀI GIẢI LIÊN QUAN

Bài 5 trang 69 Toán 9 Tập 1

Bài 6 trang 69 Toán 9 Tập 1

Bài 8 trang 70 Toán 9 Tập 1

Bài 9 trang 70 Toán 9 Tập 1

HOCMAI

BÀI GIẢI SGK 2025 - 2026

Bài 8 trang 70 Toán 9 Tập 1

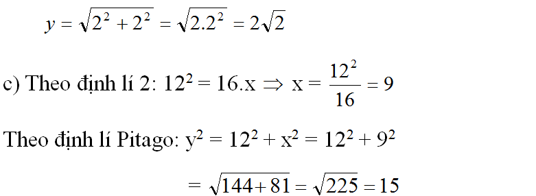
Bài 8 (trang 70 SGK Toán 9 Tập 1): Tìm x và y trong mỗi hình sau:

Để học tốt Toán 9 | Giải bài tập Toán 9

Lời giải:

a) Theo định lí 2 ta có:

    x2 = 4.9 = 36 => x = 6

b) Vì đường cao chia cạnh huyền thành hai nửa bằng nhau nên nó đồng thời là đường trung tuyến. Mà trong tam giác vuông, đường tuyến bằng nửa cạnh huyền nên nên x = 2.

Theo định lí Pitago ta có:

Để học tốt Toán 9 | Giải bài tập Toán 9

BÀI GIẢI LIÊN QUAN

Bài 5 trang 69 Toán 9 Tập 1

Bài 6 trang 69 Toán 9 Tập 1

Bài 7 trang 69 Toán 9 Tập 1

Bài 9 trang 70 Toán 9 Tập 1

HOCMAI

BÀI GIẢI SGK 2025 - 2026

Bài 9 trang 70 Toán 9 Tập 1

Bài 9 (trang 70 SGK Toán 9 Tập 1): Cho hình vuông ABCD. Gọi I là một điểm nằm giữa A và B. Tia DI và tia CB cắt nhau ở K. Kẻ đường thẳng qua D, vuông góc với DI. Đường thẳng này cắt đường thẳng BC tại L. Chứng minh rằng:

a) Tam giác DIL là một tam giác cân

b) Tổng

Để học tốt Toán 9 | Giải bài tập Toán 9

không đổi khi I thay đổi trên cạnh AB.

Lời giải:

Để học tốt Toán 9 | Giải bài tập Toán 9

a) Xét hai tam giác vuông ADI và CDL có:

AD = CD (cạnh hình vuông)

Để học tốt Toán 9 | Giải bài tập Toán 9

Nên ΔADI = ΔCDL (cạnh góc cuông và góc nhọn)

Suy ra DI = DL hay ΔDIL cân. (đpcm)

b) Trong tam giác DKL vuông tại D với đường cao DC. Theo định lí 4, ta có:

Để học tốt Toán 9 | Giải bài tập Toán 9

không đổi khi I thay đổi trên cạnh AB. (đpcm)

BÀI GIẢI LIÊN QUAN

Bài 5 trang 69 Toán 9 Tập 1

Bài 6 trang 69 Toán 9 Tập 1

Bài 7 trang 69 Toán 9 Tập 1

Bài 8 trang 70 Toán 9 Tập 1

VỀ HOCMAI

  • Giới thiệu
  • Giáo viên nổi tiếng
  • Hệ thống trung tâm HOCMAI
  • Học sinh tiêu biểu
  • Điều khoản chính sách
  • Quy chế hoạt động
  • Tuyển dụng

DỊCH VỤ

  • Thư viện
  • Ôn luyện
  • Diễn đàn HOCMAI
  • Speakup - Tiếng Anh 1 kèm 1 Online
  • ICANTECH - Đào tạo Công nghệ & Lập trình

HỖ TRỢ KHÁCH HÀNG

  • Trung tâm hỗ trợ
  • Email: hotro@hocmai.vn
  • Đường dây nóng: 1900 6933

DÀNH CHO ĐỐI TÁC

  • Email: info@hocmai.vn
  • Tel: +84 (24) 3519-0591
  • Fax: +84 (24) 3519-0587

TẢI ỨNG DỤNG HOCMAI

TẢI ỨNG DỤNG HOCMAI

Cơ quan chủ quản: Công ty Cổ phần Đầu tư và Dịch vụ Giáo dục
MST: 0102183602 do Sở kế hoạch và Đầu tư thành phố Hà Nội cấp ngày 13 tháng 03 năm 2007
Địa chỉ:
- Văn phòng Hà Nội: Tầng 4, Tòa nhà 25T2, Đường Nguyễn Thị Thập, Phường Trung Hoà, Quận Cầu Giấy, Hà Nội.
- Văn phòng TP.HCM: Lầu 3, 51-53 Võ Văn Tần, phường Võ Thị Sáu, quận 3, Tp. Hồ Chí Minh.
Hotline: 19006933 – Email: hotro@hocmai.vn
Chịu trách nhiệm nội dung: Phạm Giang Linh

Giấy phép cung cấp dịch vụ mạng xã hội trực tuyến số 597/GP-BTTTT Bộ Thông tin và Truyền thông cấp ngày 30/12/2016.

Xác nhận

Vui lòng xác nhận sử dụng giao diện cũ của Hocmai.vn

Thông báo

Đã có lỗi xảy ra trong quá trình xem video bài giảng. Vui lòng thử lại sau 17h00phút

đăng nhập

  • Đăng ký
  • Quên mật khẩu?

Tham gia group khóa học "20h tán đổ môn Hóa"

Group "Chinh phục điểm cao môn Hoá" chỉ dành cho học sinh đã đăng kí khoá học và là nơi để Bạn thực hành, trao đổi bài tập trong khoá học với thầy Lê Đăng Khương. Bạn cần làm theo 2 bước sau để tham gia group:

Bước 1: Kết bạn với tài khoản HS Hocmai

Bước 2: Gửi Tin nhắn tới tài khoản HS Hocmai với nội dung:

Em đã đăng kí khoá PEN-C/PEN-I thầy Lê Đăng Khương, tài khoản đăng kí khoá học của em là....

Đặt chỗ PEN-I giảm 30% học phí

- Ưu đãi 30% học phí PEN-I dành riêng cho bạn

- Thời gian: Chỉ đến hết 4/12/2015

Đặt chỗ ngay

Thông báo

Bạn đang đăng nhập. Vui lòng chờ trong giây lát.

Hocmai

Bạn cần ĐĂNG KÝ khóa học này để tham gia làm bài "Đánh giá năng lực"!

Đăng ký ngay